Презентация, доклад по химии Алкины

Содержание

Все познается в сравнении

Слайд 1Химия ФР-101-1 Жумабаева Карлыгаш Амангельдыевна преподаватель химии

Химия  ФР-101-1  Жумабаева Карлыгаш Амангельдыевна  преподаватель химии

Слайд 2Все познается в сравнении

Все познается в сравнении

Слайд 3Непредельные углеводороды
Алкены Алкадиены




CnH2n
CnH2n-2
Алкины
CnH2n-2

Непредельные углеводородыАлкены  АлкадиеныCnH2nCnH2n-2АлкиныCnH2n-2

Слайд 4Гомологический ряд алкенов

Гомологический ряд алкенов

Слайд 5Гомологический ряд алкадиенов

Гомологический ряд алкадиенов

Слайд 6Номенклатура
Пропен-1

Бутен-1

Пентен-2



НоменклатураПропен-1Бутен-1Пентен-2

Слайд 7СН3-СН=СН-СН3
СН2=СН-СН2-СН3
CH2=C-CH3
СН3
Изомерия

СН3-СН=СН-СН3СН2=СН-СН2-СН3CH2=C-CH3СН3Изомерия

Слайд 8Химические свойства
CH2=CH2+H2 Pt CH3-CH3

CH2=CH2+H2O CH3-CH2OH

CH2=CH2+Br2

СH2Br- СH2Br




Химические свойстваCH2=CH2+H2  Pt  CH3-CH3 CH2=CH2+H2O    CH3-CH2OHCH2=CH2+Br2     СH2Br- СH2Br

Слайд 9nCH2=CH2 p,t (-CH2-CH2-)n
этилен
полиэтилен
Реакция полимеризации

nCH2=CH2 p,t (-CH2-CH2-)nэтиленполиэтиленРеакция полимеризации

Слайд 10Н


CH2 - CH2 CH2= CH2+H2
Н



Получение алкенов
Реакция

дегидрирования
Н CH2 - CH2     CH2= CH2+H2НПолучение алкеновРеакция дегидрирования

Слайд 111) 1 2 3


CH=C-CH3
2) 1 2 3 4
CH3-CH2-C=CH

3) 1 2 3 4 5
CH=C-CH2-CH2-CH3

1)  1     2  3      CH=C-CH32)

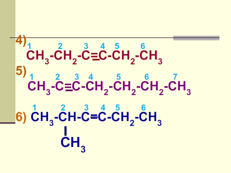
Слайд 124)1 2

3 4 5 6
CH3-CH2-C=C-CH2-CH3
5) 1 2 3 4 5 6 7
CH3-C=C-CH2-CH2-CH2-CH3
1 2 3 4 5 6
6) CH3-CH-C=C-CH2-CH3

CH3


4)1      2     3   4  5

Слайд 13ω(C)=nAr(c)/Mr(вещества)
Почему алкены горят светящим пламенем,а алкины коптящим?
Ответ подтвердите расчетом массовой

доли углерода в молекулах этих веществ на примере бутена и бутина
ω(C)=nAr(c)/Mr(вещества) Почему алкены горят светящим пламенем,а алкины коптящим?Ответ подтвердите расчетом массовой доли углерода в молекулах этих веществ

Слайд 14CH=CH+HCL CH2=CH

CL
ацетилен винилхлорид

Эйген Бауман 1872г


Получение винилхлорида

CH=CH+HCL   CH2=CH

Слайд 15nCH2=CH кат.,t (-CH2-CH-)n
CL

CL
винилхлорид поливинилхлорид



Получение поливинилхлорида

nCH2=CH кат.,t (-CH2-CH-)n        CL

Слайд 16Все познается в сравнении

Все познается в сравнении

Слайд 17Сегодня на уроке вы узнаете:
Характеристика тройной связи.
Изомерия и номенклатура алкинов.
Физические свойства.
Получение

алкинов.
Свойства алкинов.
Применение алкинов.


Сегодня на уроке вы узнаете:Характеристика тройной связи.Изомерия и номенклатура алкинов.Физические свойства.Получение алкинов.Свойства алкинов.Применение алкинов.

Слайд 18Понятие об алкинах
Алкины – углеводороды, содержащие в молекуле одну тройную связь

между атомами углерода, а качественный и количественный состав выражается общей формулой

СnН2n - 2, где n ≥ 2.

Алкины относятся к непредельным углеводородам, так как их молекулы содержат меньшее число атомов водорода, чем насыщенные.

Понятие об алкинахАлкины – углеводороды, содержащие в молекуле одну тройную связь между атомами углерода, а качественный и

Слайд 19Характеристика тройной связи
Вид гибридизации – sp
Валентный угол

– 180
Длина связи С = С – 0,12 нм
Строение ─ линейное
Вид связи – ковалентная полярная

Характеристика  тройной связиВид гибридизации –     spВалентный угол –

Слайд 20Схема образования sp -гибридных орбиталей

Схема образования  sp -гибридных орбиталей

Слайд 21Гомологический ряд алкинов
C2H2
C3H4
C4H6
C5H8
C6H10
C7H12

Этин
Пропин
Бутин
Пентин
Гексин
Гептин

Гомологический  ряд алкинов  C2H2	C3H4	C4H6	C5H8	C6H10	C7H12Этин   ПропинБутинПентинГексинГептин

Слайд 22Изомерия алкинов
Структурная изомерия

1. Изомерия положения тройной связи (начиная с С4Н6):
СН

≡С−СН2−СН3 СН3−С≡С−СН3
бутин-1 бутин-2

2. Изомерия углеродного скелета (начиная с С5Н8):
СН ≡С−СН2−СН2−СН3 СН ≡С−СН−СН3

СН3
пентин-1 3-метилбутин-1

3. Межклассовая изомерия с алкадиенами и циклоалкенами, (начиная с С4Н8):
СН = СН
СН ≡С–СН2–СН3 СН2=СН–СН=СН2 ⏐ ⏐
СН2 –СН2
бутин-1 бутадиен-1,3 циклобутен
Изомерия алкинов Структурная изомерия1. Изомерия положения тройной связи (начиная с С4Н6):СН ≡С−СН2−СН3

Слайд 23Выполните упражнение:
Назовите вещество.
Составьте к нему три изомера разных видов изомерии. Назовите

изомеры.
Выполните упражнение:Назовите вещество.Составьте к нему три изомера разных видов изомерии. Назовите изомеры.

Слайд 24Физические свойства
Температуры кипения и плавления алкинов, так же как и алкенов,

закономерно повышаются при увеличении молекулярной массы соединений.
Алкины имеют специфический запах. Они лучше растворяются в воде, чем алканы и алкены. С2-С4 – газы, С5-С16 – жидкости, С17 – твердые вещества.
Физические свойстваТемпературы кипения и плавления алкинов, так же как и алкенов, закономерно повышаются при увеличении молекулярной массы

Слайд 25Реакции присоединения
1. Галогенирование
Обесцвечивание бромной воды является качественной реакцией на

все непредельные углеводороды
Реакции присоединения1. Галогенирование  Обесцвечивание бромной воды является качественной реакцией на все непредельные углеводороды

Слайд 262. Гидрогалогенирование.
3. Гидрирование.
4. Гидратация.


2. Гидрогалогенирование.3. Гидрирование.4. Гидратация.

Слайд 27Горение ацетилена
При сгорании (полном окислении) ацетилена выделяется большое количества тепла:
HC≡CH +

2О2 ⎯→ 2СО2 + Н2О + Q

Горение ацетиленаПри сгорании (полном окислении) ацетилена выделяется большое количества тепла:HC≡CH + 2О2 ⎯→ 2СО2 + Н2О +

Слайд 28Реакция полимеризации
1. Димеризация под действием водного раствора CuCl и NH4Cl:

НC≡CH + НC≡CH ⎯→ Н2C=CH−C≡CH
(винилацетилен)
2. Тримеризация ацетилена над активированным углем приводит к образованию бензола (реакция Зелинского):
С, 600 °С
3НC≡CH ⎯⎯→ С6H6 (бензол)

Реакция полимеризации1. Димеризация под действием водного раствора CuCl и NH4Cl:     НC≡CH + НC≡CH

Слайд 29Алкины. Поливинилхлорид и его применение

Алкины. Поливинилхлорид и его применение

Слайд 30Применение алкинов

Применение алкинов

Слайд 31Интегративно-модульная карточка

Интегративно-модульная карточка

Слайд 32Способы утилизации изделий из поливинилхлорида
Минусы:
Сжигают (CO,CH2O, HCL)
Закапывают
(токсические продукты)
Бросают в

водоемы
(гибель животных).

Плюсы:
Специальные добавки

Переработка



Способы утилизации изделий из поливинилхлорида Минусы:Сжигают (CO,CH2O, HCL)Закапывают (токсические продукты)Бросают в водоемы (гибель животных).	  Плюсы:Специальные добавки

Слайд 33Итоги урока: РЕФЛЕКСИЯ
Чем понравился урок?
Что было интересного на уроке?
На уроке я

работал (а) ... .
Итоги урока: РЕФЛЕКСИЯЧем понравился урок?Что было интересного на уроке?На уроке я работал (а) ... .

Слайд 34Задание на дом:
Свойства алкинов
Предельные и непредельные углеводороды.
Написать формулы соединений:
А) 2,3

диметил пентин
Б) 3-пропил, 5 гексилгептин
Реакция гидрирования алкинов.
Задание на дом: Свойства алкиновПредельные и непредельные углеводороды.Написать формулы соединений:А) 2,3 диметил пентинБ) 3-пропил, 5 гексилгептинРеакция гидрирования

Что такое shareslide.ru?

Это сайт презентаций, где можно хранить и обмениваться своими презентациями, докладами, проектами, шаблонами в формате PowerPoint с другими пользователями. Мы помогаем школьникам, студентам, учителям, преподавателям хранить и обмениваться учебными материалами.


Для правообладателей

Яндекс.Метрика

Обратная связь

Email: Нажмите что бы посмотреть