Презентация, доклад на тему Химия в быту. Красители

Красители - химические соединения, используемые для придания окраски различным материалам, например текстилю, бумаге, мехам, волосам, коже и древесине.

Слайд 1


Слайд 2Красители - химические соединения, используемые для придания окраски различным материалам, например

текстилю, бумаге, мехам, волосам, коже и древесине.
Красители - химические соединения, используемые для придания окраски различным материалам, например текстилю, бумаге, мехам, волосам, коже и

Слайд 3Первые синтетические красители получены в 1856 независимо польским химиком Я. Натансоном

(фуксин) и английским химиком У. Г. Перкином (мовеин), а в 1857 начато промышленное производство мовеина.

В 1869 синтезирован ализарин (немецкие химиками К. Гребе и К. Т. Либерманом) и вскоре большое число др. синтетических К., превосходящих по качеству природные. К началу 20 в. синтетические красители почти полностью вытеснили натуральные.
Синтез красителей стал возможным после открытия Н. Н. Зининым общего метода получения ароматических аминов (см. Зинина реакция).
К началу 70-х гг. число красителей, выпускавшихся промышленностью всего мира, превышало 9000 и ежегодно растет.
Мировое производство красителей свыше 600 тыс. тонн в год.
Первые синтетические красители получены в 1856 независимо польским химиком Я. Натансоном (фуксин) и английским химиком У. Г.

Слайд 4Крашение
Окраска - первейшее соображение, возникающее у потребителя при выборе ткани или

другого изделия. Глаз человека способен обнаружить малые различия в окраске ткани, поэтому производитель ткани должен обеспечить равномерность (ровноту) ее окраски. Как правило, свойство равномерности гораздо важнее для окраски, чем для любого другого вида химической отделки.
КрашениеОкраска - первейшее соображение, возникающее у потребителя при выборе ткани или другого изделия. Глаз человека способен обнаружить

Слайд 5Цветность красителя
Цветность красителей, то есть способность избирательно поглощать видимые лучи света,

связана с их химическим строением: наличием достаточно протяжённой системы сопряжённых двойных связей, часто включающей гетероатомы.
На окрашиваемом материале (субстрате) красители удерживаются благодаря образованию химических связей с субстратом: ковалентных (в случае активных красителей) или ионных (для кислотных красителей), а также силами адсорбции и водородной связи (прямые красители); Для удержания красителей на окрашиваемом материале применяют также связующие (если красители входят в состав лаков, эмалей, красок) или плёнки полимера.
Цветность красителяЦветность красителей, то есть способность избирательно поглощать видимые лучи света, связана с их химическим строением: наличием

Слайд 6Разновидности

Разновидности

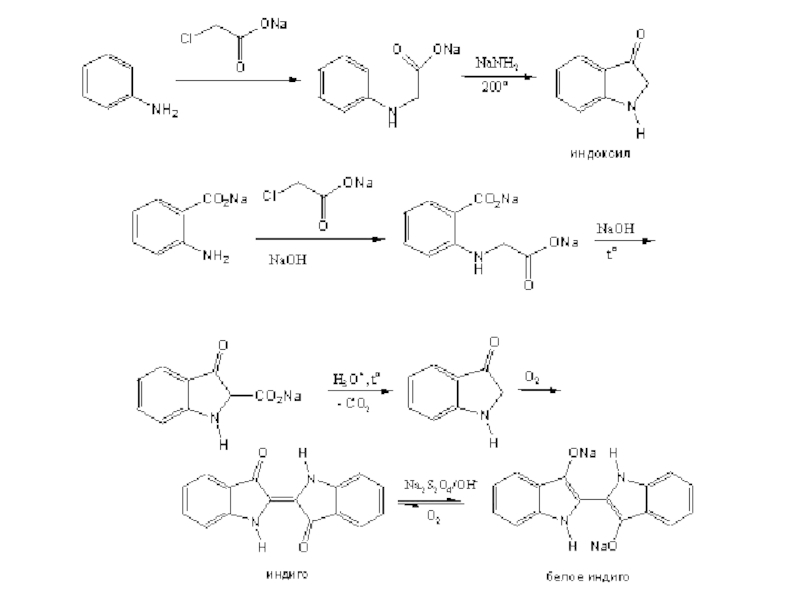
Слайд 7Индиго и индигоидные красители.
Индиго – один из древнейших красителей, который

получали из растительного сырья – тропического растения Indigofera, в соке которого содержится индикан – гликозид индоксила. Индоксил окисляется кислородом воздуха с образованием синего нерастворимого в воде красителя – индиго. Для крашения ткани индиго восстанавливают, например, дитионитом натрия в щелочной среде, в белое индиго, соли которого (например, натриевые) растворимы в воде. После этого ткань вываривают в полученном растворе и дают белому индиго окислиться на воздухе. В результате образуется краситель великолепного синего цвета, который прочно ложится на ткань.
Индиго и индигоидные красители. Индиго – один из древнейших красителей, который получали из растительного сырья – тропического

Слайд 9Бензантроновые красители
Это группа кубовых красителей, получаемых на основе бензантрона.
Молекула бензантрона

(I) состоит из четырёх конденсированных шестичленных колец. Сам бензантрон не обладает красящими свойствами. Б. к. получают конденсацией двух молекул бензантрона с отщеплением четырёх атомов водорода и образованием двух углерод-углеродных связей. В зависимости от условий конденсации получают виолантрон (II) или изовиолантрон (III).
Оба вещества вместе с их разнообразными производными — кубовые красители, отличающиеся очень высокой прочностью, разнообразием и яркостью тонов окраски; некоторые из них применяют также как прочные пигменты.
Бензантроновые красители Это группа кубовых красителей, получаемых на основе бензантрона.Молекула бензантрона (I) состоит из четырёх конденсированных шестичленных

Слайд 11ПРИМЕНЕНИЕ КРАСИТЕЛЕЙ
Помимо окраски различных материалов, красители применяют в:
цветной и черно-белой

кинематографии и фотографии
аналитической химии
в медицине в качестве средств диагностики
при биохимических исследованиях
в жидкостных лазерах
в различных физических приборах в качестве элементов, обладающих фотопроводимостью и некоторыми другими свойствами

ПРИМЕНЕНИЕ КРАСИТЕЛЕЙ Помимо окраски различных материалов, красители применяют в:цветной и черно-белой кинематографии и фотографии аналитической химии в

Что такое shareslide.ru?

Это сайт презентаций, где можно хранить и обмениваться своими презентациями, докладами, проектами, шаблонами в формате PowerPoint с другими пользователями. Мы помогаем школьникам, студентам, учителям, преподавателям хранить и обмениваться учебными материалами.


Для правообладателей

Яндекс.Метрика

Обратная связь

Email: Нажмите что бы посмотреть