Презентация, доклад по теме Решение задач по Теме Равномерное движение по окружности для учащихся 9 класса

Содержание

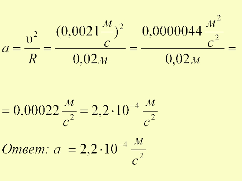
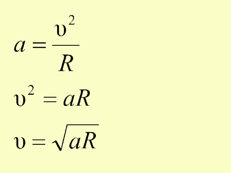
Определите ускорение конца секундной стрелки часов, если он находится на расстоянии R = 2 см от центра вращения. Длина окружности радиуса R определяется по формуле: ℓ= 2R=23,14R=6,28RУпражнение 18(2), стр. 73

Слайд 1Упражнение 18(1), стр. 73

При работе стиральной машины в режиме сушки поверхность

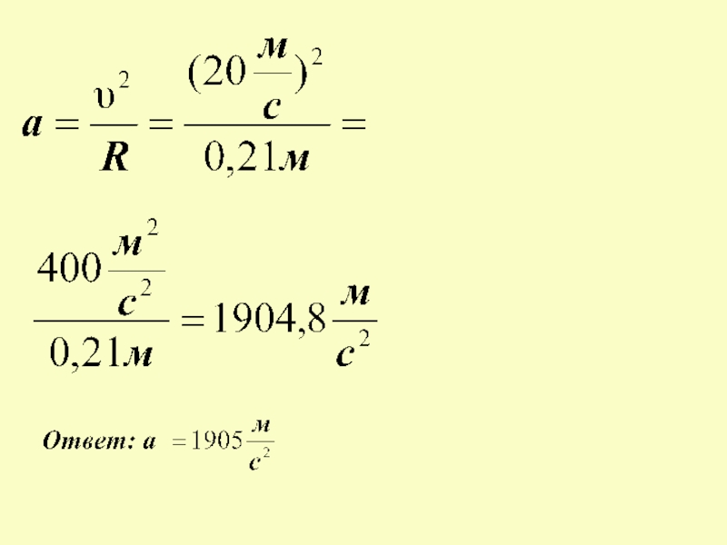
ее барабана, находящаяся на расстоянии 21 см от оси вращения, движется вокруг этой оси со скоростью 20 м/с. Определите ускорение, с которым движутся точки поверхности барабана.
Упражнение 18(1), стр. 73При работе стиральной машины в режиме сушки поверхность ее барабана, находящаяся на расстоянии 21

Слайд 4Определите ускорение конца секундной стрелки часов, если он находится на расстоянии

R = 2 см от центра вращения.
Длина окружности радиуса R определяется по формуле:

ℓ= 2R=23,14R=6,28R

Упражнение 18(2), стр. 73

Определите ускорение конца секундной стрелки часов, если он находится на расстоянии R = 2 см от центра

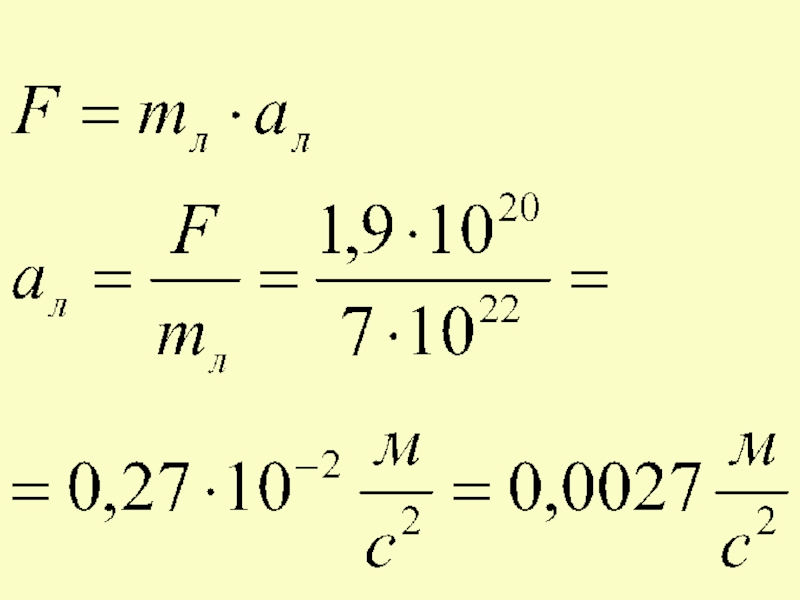
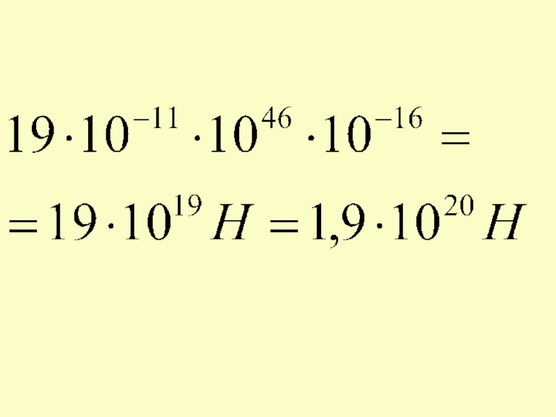
Слайд 8Масса Земли равна 6 • 1024 кг, а масса Луны =

7 • 1022 кг. Считая, что Луна движется вокруг Земли по окружности радиусом 384 000 км, определите:
а) силу притяжения между Землей и Луной;
б) центростремительное ускорение, с которым Луна движется вокруг Земли;
в) модуль скорости движения Луны относительно Земли.

Упражнение 18(2), стр. 73

Масса Земли равна 6 • 1024 кг, а масса Луны =  7 • 1022 кг. Считая,

Слайд 14Ответ:

Ответ:

Слайд 15Подготовка к контрольной работе №2
по теме
«Законы взаимодействия и движения

тел»
Подготовка к контрольной работе №2 по теме «Законы взаимодействия и движения тел»

Слайд 16Задача .
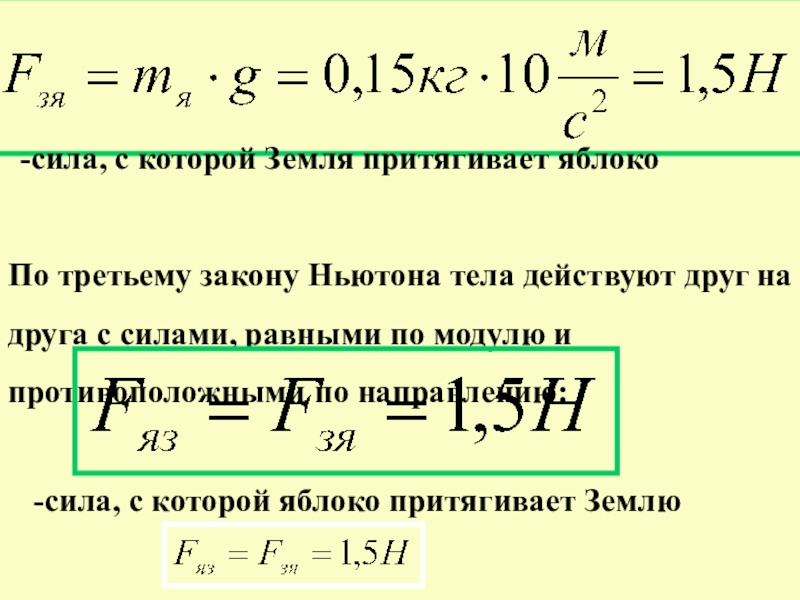
Масса яблока 150 г. С какой силой Земля притягивает яблоко?

С какой силой яблоко притягивает Землю?
Задача .Масса яблока 150 г. С какой силой Земля притягивает яблоко? С какой силой яблоко притягивает Землю?

Слайд 17 -сила, с которой Земля притягивает яблоко

По третьему закону Ньютона тела

действуют друг на друга с силами, равными по модулю и противоположными по направлению:

-сила, с которой яблоко притягивает Землю

Ответ:

-сила, с которой Земля притягивает яблокоПо третьему закону Ньютона тела действуют друг на друга с силами,

Слайд 18Задача
Как изменится сила гравитационного притяжения при увеличении расстояния между ними

в 3 раза?

Решение:
Т.к. сила гравитационного притяжения обратно пропорциональна квадрату расстояния между телами, то при увеличении расстояния между ними в 3 раза сила гравитационного притяжения убывает в

Задача Как изменится сила гравитационного притяжения при увеличении расстояния между ними в 3 раза?Решение:Т.к. сила гравитационного притяжения

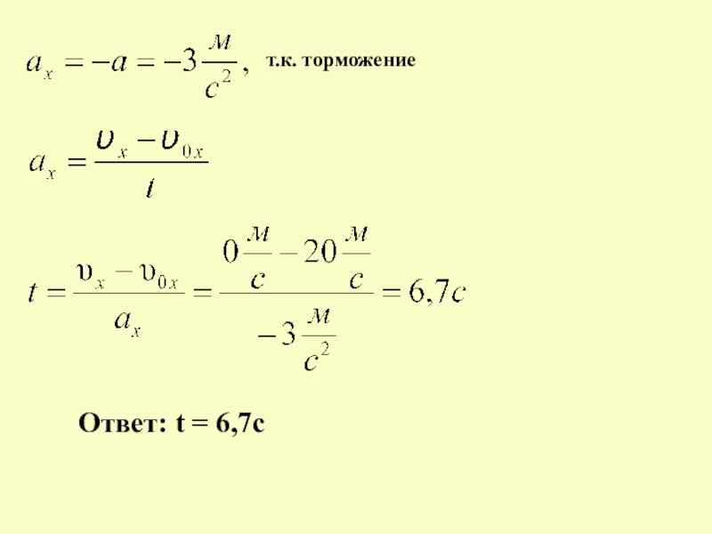
Слайд 19Задача
Автомобиль массой 2т движется со скоростью
Какое время требуется для полной остановки

автомобиля после выключения двигателя, если сила трения колес о дорогу 6000Н.

Дано: СИ Решение:







t-?

ЗадачаАвтомобиль массой 2т движется со скоростьюКакое время требуется для полной остановки автомобиля после выключения двигателя, если сила

Слайд 20т.к. торможение
Ответ: t = 6,7c

т.к. торможениеОтвет: t = 6,7c

Слайд 21Задача
На рис изображен брусок, движущийся по поверхности стола, под действием

двух сил:
Fтяги = 4,86Н и Fсопрот. = 3,5Н. С каким ускорением движется брусок, если его масса 34 г.

Дано: СИ Решение:







a-?

Задача На рис изображен брусок, движущийся по поверхности стола, под действием двух сил: Fтяги = 4,86Н и

Слайд 24Дано: Решение:







F-?
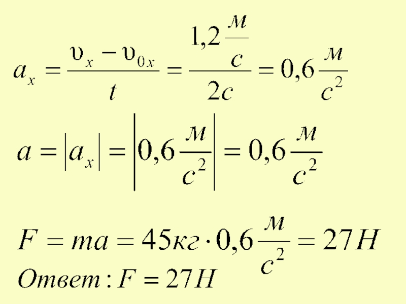
Задача
Мальчик массой 45 кг скатывается с горы. при этом

за любые 2 с его скорость увеличивается на 1,2 м/с. Определите равнодействующую всех приложенных к мальчику сил.
Дано: 					Решение:F-?Задача Мальчик массой 45 кг скатывается с горы. при этом за любые 2 с его скорость

Слайд 26Дано: Решение:

F=0
t-?


Задача Дан график зависимости скорости от времени. В какие промежутки

времени равнодействующая всех сил, приложенных к телу, была = 0.

0 1 2 3 4 5

равно
мерное

равно
мерное

равно
мерное

равно
ускоренное

равно
замедленное

t,c

Дано: 					Решение:F=0t-?Задача Дан график зависимости скорости от времени. В какие промежутки времени равнодействующая всех сил, приложенных к

Слайд 27Решение:
Движение равномерное
от 0 до 1 с,
от 2 до 3 с,
от

4 до 5 с
Ускорение a=0,
то по второму закону Ньютона F= ma=mo=0

Ответ: равнодействующая =0 в промежутки времени от 0 до 1 с, от 2 до 3 с, от 4 до 5 с

0 1 2 3 4 5

t,c

Решение:Движение равномерное от 0 до 1 с,от 2 до 3 с,от 4 до 5 с Ускорение a=0,то

Что такое shareslide.ru?

Это сайт презентаций, где можно хранить и обмениваться своими презентациями, докладами, проектами, шаблонами в формате PowerPoint с другими пользователями. Мы помогаем школьникам, студентам, учителям, преподавателям хранить и обмениваться учебными материалами.


Для правообладателей

Яндекс.Метрика

Обратная связь

Email: Нажмите что бы посмотреть