Презентация, доклад на тему Олимпиада по физике 8 класс

Содержание

Потенциальное поле – поле консервативных сил.полная механическая энергия системы. – совершается работа, идущая на увеличение Ек. – связь силы и потенциальной энергии

Слайд 1Закон сохранения энергии в механике
Закон сохранения энергии материальной точки,
находящейся в

потенциальном поле
Закон сохранения энергии в механикеЗакон сохранения энергии материальной точки, находящейся в потенциальном поле

Слайд 2Потенциальное поле – поле консервативных сил.
полная механическая
энергия системы.
– совершается работа,

идущая на увеличение Ек.
– связь силы и
потенциальной энергии






Потенциальное поле – поле консервативных сил.полная механическая энергия системы.	– совершается работа, идущая на увеличение Ек.			– связь силы

Слайд 3Полная механическая энергия материальной точки (тела, частицы), находящейся в потенциальном поле

(в консервативной системе), есть величина постоянная, т.е. с течением времени не меняется.
Полная механическая энергия материальной точки (тела, частицы), находящейся в потенциальном поле (в консервативной системе), есть величина постоянная,

Слайд 4Потенциальные кривые
Одномерное движение тела (материальной точки). В этом случае Ер является

функцией лишь одной переменной (например, координаты х) – Ер (х).
График зависимости Ер от некоторого аргумента называется потенциальной кривой.
Анализ потенциальных кривых определяет характер движения тел.
Потенциальные кривыеОдномерное движение тела (материальной точки). В этом случае Ер является функцией лишь одной переменной (например, координаты

Слайд 5
Рассмотрим консервативную систему, т.е.
систему, в которой превращение механической
энергии в

другие виды отсутствует.
В ней действует закон сохранения энергии:

Кинетическая энергия не может быть
отрицательной, потому


Для частиц (материальных точек)


Рассмотрим консервативную систему, т.е. систему, в которой превращение механической энергии в другие виды отсутствует. В ней действует

Слайд 7• Области (ab); (cd): частица находится в потенциальной яме и совершает

движение в ограниченной области пространства – финитное движение (ограниченное).
• Области (bc); (de) содержат потенциальный барьер. Частица в этой области находиться не может.
Т.е. классическая частица потенциальный барьер преодолеть не может.
• Область (е +∞): частица может уйти как угодно далеко – инфинитное движение (неограниченное).


• Области (ab); (cd): частица находится в потенциальной яме и совершает движение в ограниченной области пространства –

Слайд 8Закон сохранения энергии в механике
Рассмотрим механическую систему, состоящую из n материальных

точек массой mi, движущихся со скоростями vi.
– внутренние консервативные силы.

– внешние консервативные силы.

– внешние неконсервативные силы.





Закон сохранения энергии в механикеРассмотрим механическую систему, состоящую из n материальных точек массой mi, движущихся со скоростями

Слайд 9Второй закон Ньютона для i точки:
Под действием силы точка за

время dt совершает перемещение dri:




Второй закон Ньютона для i точки: Под действием силы точка за время dt совершает перемещение dri:

Слайд 10Суммируя по всем точкам, получаем:


При переходе системы из одного состояния в

другое:


работа, совершаемая внешними
неконсервативными силами.

Суммируя по всем точкам, получаем:При переходе системы из одного состояния в другое:работа, совершаемая внешними неконсервативными силами.

Слайд 11Если внешние неконсервативные силы отсутствуют, т.е.
Полная механическая энергия консервативной системы

есть величина постоянная, с течением времени не меняется.
Консервативной системой называется механическая система, внутренние силы которой консервативны, а внешние силы – консервативны и стационарны.
Закон сохранения механической энергии связан с однородностью времени, т.е. физические законы инвариантны относительно начала отсчета времени.


Если внешние неконсервативные силы отсутствуют, т.е. Полная механическая энергия консервативной системы есть величина постоянная, с течением времени

Слайд 12● Замкнутая система – частный случай.
В этом случае внешние силы не

рассматриваются, т.е.
– полная механическая энергия системы. Происходит превращение Ep → Ек, и обратно Ек → Ep .


● Замкнутая система – частный случай.В этом случае внешние силы не рассматриваются, т.е. 					– полная механическая энергия

Слайд 13Наряду с консервативными силами в системе могут существовать неконсервативные силы (диссипативные,

например, Fтр). В этом случае с течением времени полная механическая энергия системы уменьшается. Но механическая энергия не исчезает, она переходит в другие виды энергии, например, при Fтр во внутреннюю энергию.
Наряду с консервативными силами в системе могут существовать неконсервативные силы (диссипативные, например, Fтр). В этом случае с

Слайд 14Закон сохранения энергии в механике является частным случаем фундаментального (всеобщего) закона

сохранения энергии:
сумма всех видов энергии в замкнутой системе постоянна


Закон сохранения энергии в механике является частным случаем фундаментального (всеобщего) закона сохранения энергии: сумма всех видов энергии

Слайд 15Применение законов сохранения импульса и энергии для анализа упругого и неупругого

ударов шаров Понятие об ударе в физике

Удар – кратковременное взаимодействие двух или более тел.
Центральный удар (двух шаров) – удар, при котором движение происходит по прямой, соединяющей центры тел.

Применение законов сохранения импульса и энергии для анализа упругого и неупругого ударов шаров Понятие об ударе в

Слайд 16Сила взаимодействия при ударе тел велика
следовательно, внешними силами, действующими на

тело, можно пренебречь. Поэтому систему тел в процессе удара можно рассматривать как замкнутую систему и применять к ней законы сохранения.
Тело во время удара претерпевает деформацию. Кинетическая энергия во время удара переходит в энергию деформации.


Сила взаимодействия при ударе тел велика следовательно, внешними силами, действующими на тело, можно пренебречь. Поэтому систему тел

Слайд 17Если деформация упругая, то тело стремится принять прежнюю форму. Следователь, имеем

упругий удар.
Если деформация неупругая, то тело не принимает прежнюю форму – неупругий удар.


Если деформация упругая, то тело стремится принять прежнюю форму. Следователь, имеем упругий удар.Если деформация неупругая, то тело

Слайд 18Во время удара происходит перераспределение энергии между соударяющимися телами.
В общем

случае относительная скорость тел после удара не достигает своего прежнего значения, т.к. нет идеально упругих тел.
Коэффициент восстановления – отношение нормальных составляющих относительной скорости после удара un и до удара vn:


ε = 1 – абсолютно упругий удар.
ε = 0 – абсолютно неупругий удар.


Во время удара происходит перераспределение энергии между соударяющимися телами. В общем случае относительная скорость тел после удара

Слайд 19Абсолютно упругий удар – удар, при котором внутренняя энергия соударяющихся тел

не изменяется.

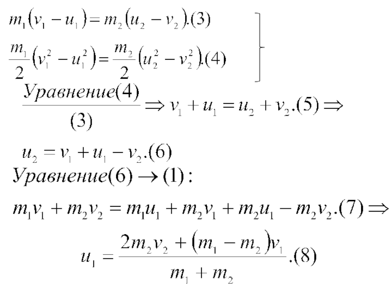
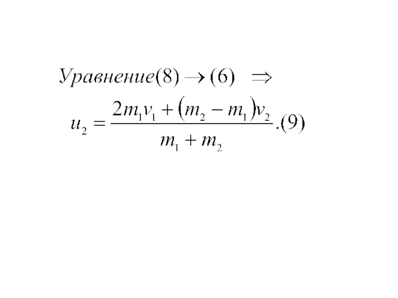
Закон сохранения импульса:


Закон сохранения энергии:




Абсолютно упругий удар – удар, при котором внутренняя энергия соударяющихся тел не изменяется.Закон сохранения импульса:	Закон сохранения энергии:

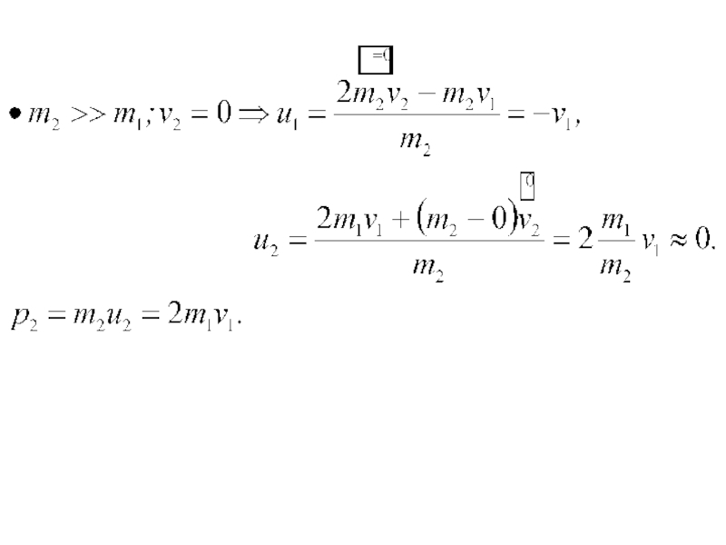
Слайд 23


При одинаковых массах происходит
обмен скоростями.

При одинаковых массах происходит обмен скоростями.

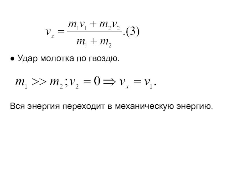
Слайд 24Абсолютно неупругий удар – удар, при котором полная механическая энергия соударяющихся

тел не сохраняется, частично переходит во внутреннюю энергию; импульс сохраняется.

При абсолютно неупругом ударе тела после удара двигаются с одинаковой скоростью.




Абсолютно неупругий удар – удар, при котором полная механическая энергия соударяющихся тел не сохраняется, частично переходит во

Слайд 25
● Наковальня

Вся энергия переходит в теплоту
или деформацию.

● НаковальняВся энергия переходит в теплоту или деформацию.

Слайд 26● Удар молотка по гвоздю.


Вся энергия переходит в механическую энергию.

● Удар молотка по гвоздю.Вся энергия переходит в механическую энергию.

Что такое shareslide.ru?

Это сайт презентаций, где можно хранить и обмениваться своими презентациями, докладами, проектами, шаблонами в формате PowerPoint с другими пользователями. Мы помогаем школьникам, студентам, учителям, преподавателям хранить и обмениваться учебными материалами.


Для правообладателей

Яндекс.Метрика

Обратная связь

Email: Нажмите что бы посмотреть