Презентация, доклад по теме Решение квадратных уравнений

I.Неполные квадратные уравнения

Слайд 1Решение квадратных уравнений
Автор: Тупикова Ирина Юрьевна
Учитель математики ГБОУ Гимназии №284 Санкт-Петербурга

Решение квадратных уравненийАвтор: Тупикова Ирина ЮрьевнаУчитель математики ГБОУ Гимназии №284 Санкт-Петербурга

Слайд 2I.
Неполные квадратные уравнения

I.Неполные квадратные уравнения

Слайд 31. Найти корни:

1. Найти корни:

Слайд 42. Решить неполное квадратное уравнение:

2. Решить неполное квадратное уравнение:

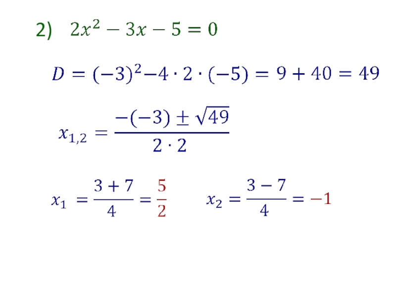
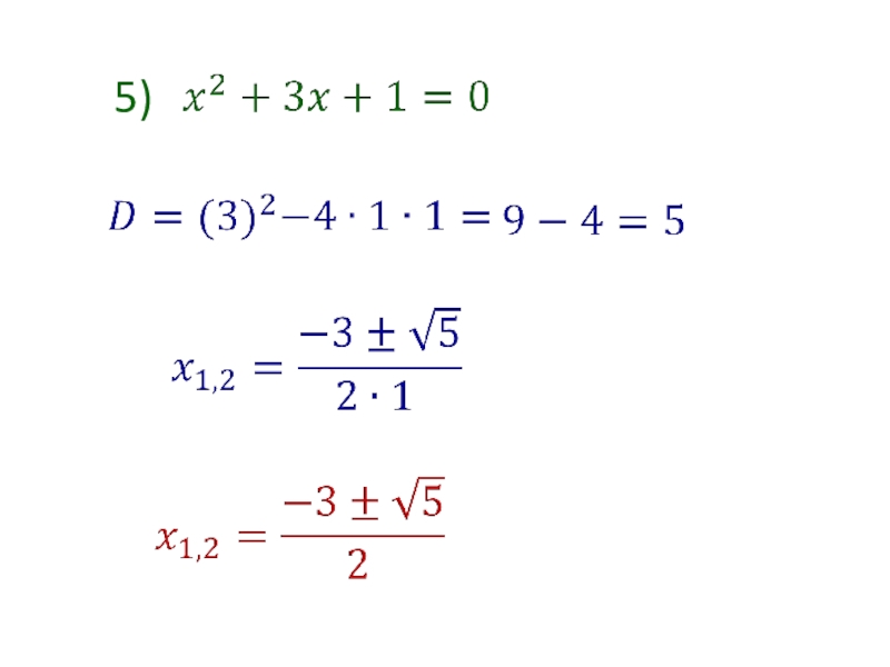
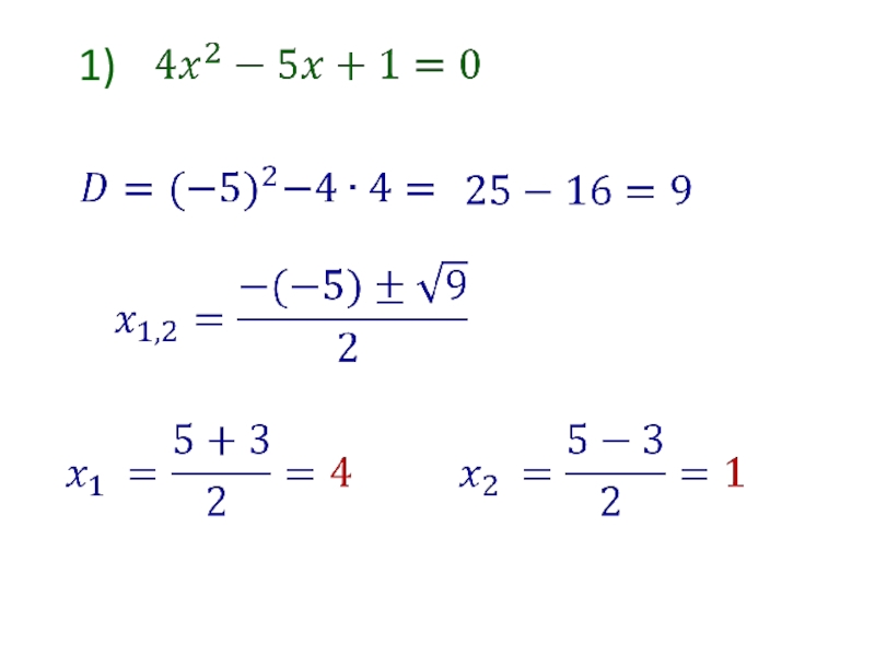
Слайд 5II.
Полные квадратные уравнения

II.Полные квадратные уравнения

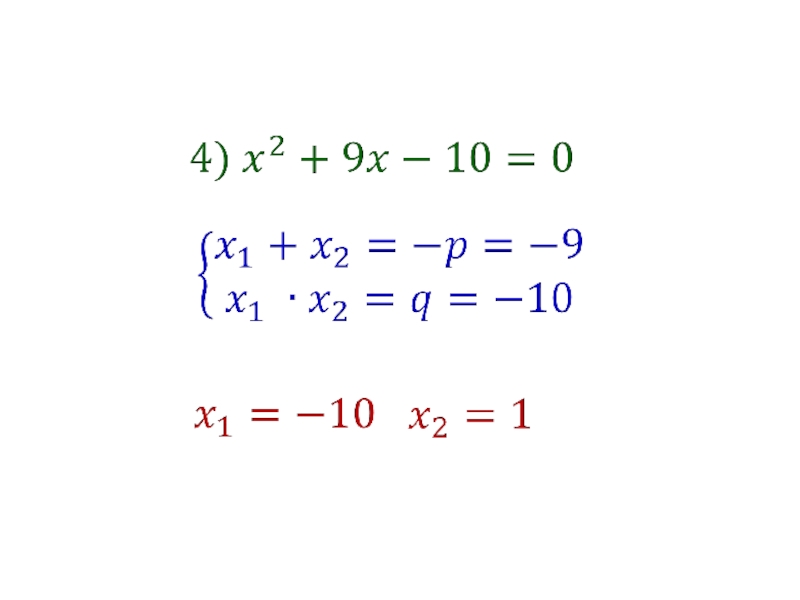
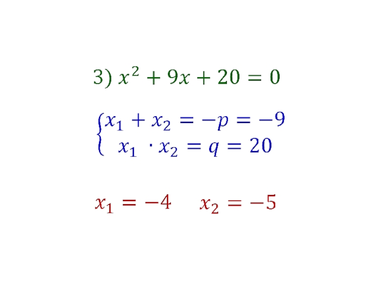
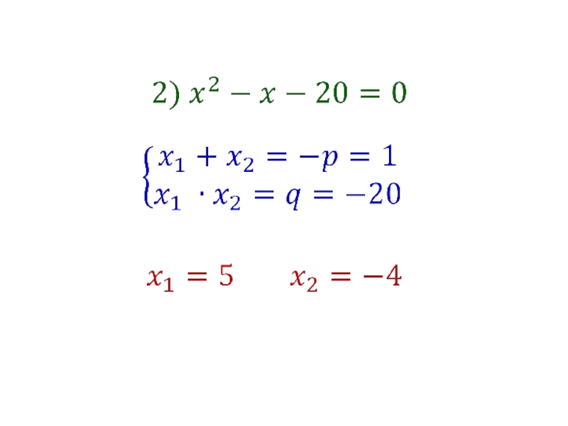
Слайд 11III.
Приведенные квадратные уравнения

III.Приведенные квадратные уравнения

Слайд 121.Записать уравнение, имеющее корни:

1.Записать уравнение, имеющее корни:

Слайд 132.Решить уравнения:

2.Решить уравнения:

Что такое shareslide.ru?

Это сайт презентаций, где можно хранить и обмениваться своими презентациями, докладами, проектами, шаблонами в формате PowerPoint с другими пользователями. Мы помогаем школьникам, студентам, учителям, преподавателям хранить и обмениваться учебными материалами.


Для правообладателей

Яндекс.Метрика

Обратная связь

Email: Нажмите что бы посмотреть