Презентация, доклад по математику на тему Применение формул сокращеннего умножения (7 класс)

Мавзу: Қисқа кўпайтириш формулаларини мисоллар ишлашга татбиқ этиш.23.12.14 й.

Слайд 1№ 111 М.Маметова номли умумий ўрта мактаб
7-”А” синфда ўтказилган очиқ дарс


Мавзу:
Мисоллар ишлаш

Ўқитувчи: Р.ЭРГЕШОВА.

2014-2015 ўқув йили

№ 111 М.Маметова номли умумий ўрта мактаб7-”А” синфда ўтказилган очиқ дарс Мавзу:Мисоллар ишлашЎқитувчи: Р.ЭРГЕШОВА.2014-2015 ўқув йили

Слайд 2Мавзу: Қисқа кўпайтириш формулаларини мисоллар ишлашга татбиқ этиш.
23.12.14 й.

Мавзу: Қисқа кўпайтириш формулаларини  мисоллар ишлашга татбиқ этиш.23.12.14 й.

Слайд 3Мақсади: а) Қисқа кўпайтириш формулаларини мисоллар ишлашга татбиқ этиш.

б) Мисол ишлай олиш қобилиятини ривожлантириш.
Дарс ўтиш услуби: суҳбат, тушунтириш.
Дарснинг жиҳози: дарслик, тест вариантлари.
Дарснинг бориши: I Уй вазифасини текшириш.
1. Кўпхад кўпхадга қандай кўпайтирилади?
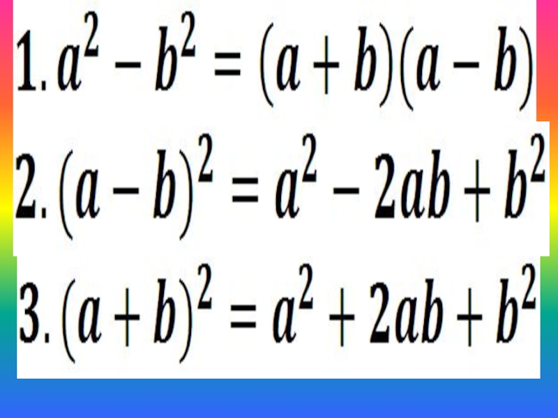
2. а²-b²=
3. (a±b)²=
II Мустаҳкамлаш


Мақсади: а) Қисқа кўпайтириш формулаларини  мисоллар ишлашга татбиқ этиш.

Слайд 51-қатор

2-қатор
1-қатор           2-қатор

Слайд 6Ж а в о б л а р
1-қатор
1. А
2. В
3. С
4.

В
5. А

2-қатор
1. В
2. А
3. С
4. В
5. А

Ж а в о б л а р1-қатор1. А2. В3. С4. В5. А2-қатор1. В2. А3. С4. В5.

Слайд 7Дарсликдан мисоллар

Дарсликдан мисоллар

Слайд 8Логик саволлар
1.Уч товуқ 3 кунда 3та тухум қўяди. 12 та товуқ

12 кунда қанча тухум қўяди?

Синфда 36 та ўқувчи бор. Хар бир 4 қизга 5 ўғил боладан тўғри келади. Синфда қанча ўғил қанча қиз бола бор?
Дадамнинг ўғли лекин менинг акам ҳам эмас,укам ҳам эмас.У ким?
Акаси неча ёшда бўлса синглисидан шунча марта катта.Синглиси неча ёшда?

Қандай соат суткасига 2 марта вақтни тўғри кўрсатади?
Қаламнинг нархи 10 танга,китоб ундан 3 марта қиммат.1та қалам ва 1 та китоб учун қанча пул тўланади?
5 та чўпнинг нечта учи бор,5 яримтасининг-чи?
Дафтар муқоваси биргаликда 11 сўм туради.Дафтарнинг нархи муқовадан 10 сўм қиммат.Дафтар ва муқова алоҳида- алоҳида қанчадан туради?

Бувисининг ёши 60 да,набираси шунча ойлик.Набираси неча ёшда?
. Ручка дафтардан қиммат туради,қалам ручкадан арзон.Шунда қайси бири қиммат туради?
Логик саволлар1.Уч товуқ 3 кунда 3та тухум қўяди. 12 та товуқ 12 кунда қанча тухум қўяди? Синфда

Слайд 9Жавоблар
1. 48 та
2. 20 ўғил ва 16 қиз бола
3. Ўзим
4. 1

ёшда
5. Тўхтаб қолган соат
6. 40 танга
7. 10 та ва 12 та
8. Муқова -1сўм,дафтар 10 сўм
9. 5 ёшда
10. Ручка



Жавоблар1. 48 та2. 20 ўғил ва 16 қиз бола3. Ўзим4. 1 ёшда5. Тўхтаб қолган соат6. 40 танга7.

Слайд 10Уйга вазифа:
Қисқа кўпайтириш формулаларига 5 тадан тест тузиш

Уйга вазифа:Қисқа кўпайтириш формулаларига 5 тадан тест тузиш

Слайд 11Якунлаш.

Якунлаш.

Что такое shareslide.ru?

Это сайт презентаций, где можно хранить и обмениваться своими презентациями, докладами, проектами, шаблонами в формате PowerPoint с другими пользователями. Мы помогаем школьникам, студентам, учителям, преподавателям хранить и обмениваться учебными материалами.


Для правообладателей

Яндекс.Метрика

Обратная связь

Email: Нажмите что бы посмотреть