Презентация, доклад по математике на тему Решение простейших логарифмических и показательных неравенств (10 класс)

Содержание

Этапы урока:Проверка домашнего задания(диктант по формулам и выполнение взаимопроверки)Изучение нового материалаРешение задачДифференцированная самостоятельная работаПодведение итогов урокаДомашнее задание

Слайд 1 «Решение простейших логарифмических и показательных неравенств»
АУ10.3 решать простейшие логарифмические уравнения

и неравенства
«Решение простейших логарифмических и показательных неравенств»АУ10.3 решать простейшие логарифмические уравнения и неравенства

Слайд 2Этапы урока:
Проверка домашнего задания(диктант по формулам и выполнение взаимопроверки)
Изучение нового материала
Решение

задач
Дифференцированная самостоятельная работа
Подведение итогов урока
Домашнее задание
Этапы урока:Проверка домашнего задания(диктант по формулам и выполнение взаимопроверки)Изучение нового материалаРешение задачДифференцированная самостоятельная работаПодведение итогов урокаДомашнее задание

Слайд 4Проверка домашнего задания:
1. Ответить на вопросы:
Определение логарифма
Определение десятичного и натурального логарифмов
2.

Диктант по формулам:
Проверка домашнего задания:1. Ответить на вопросы:Определение логарифмаОпределение десятичного и натурального логарифмов2. Диктант по формулам:

Слайд 5Диктант по формулам
 

Диктант по формулам 

Слайд 6Взаимопроверка

Взаимопроверка

Слайд 7Вычислите устно:

Вычислите устно:

Слайд 8Неравенство, содержащее переменную под знаком логарифма, называется логарифмическим неравенством.
 

Неравенство, содержащее переменную под знаком логарифма, называется логарифмическим неравенством. 

Слайд 9Для решения таких неравенств, учитывая область определения логарифмической функции и её

свойства, воспользуемся следующими утверждениями:

 

Для решения таких неравенств, учитывая область определения логарифмической функции и её свойства, воспользуемся следующими утверждениями: 

Слайд 10Практическая работа:
№ 1.



№ 2.

Практическая работа:№ 1.№ 2.

Слайд 11№ 3.



№ 4.


Практическая работа:

№ 3.№ 4.Практическая работа:

Слайд 12№ 5.



№ 6.


Практическая работа:

№ 5.№ 6.Практическая работа:

Слайд 13Дифференцированная самостоятельная работа в трех уровнях:

Дифференцированная самостоятельная работа в трех уровнях:

Слайд 14Критерии оценивания

Критерии оценивания

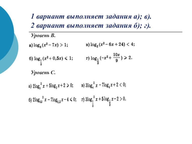
Слайд 151 вариант выполняет задания а); в). 2 вариант выполняет задания б); г).
Уровень

А.
№ 1. № 2.



1 вариант выполняет задания а); в). 2 вариант выполняет задания б); г).Уровень А.№ 1.

Слайд 16Уровень В.




Уровень С.


1 вариант выполняет задания а); в). 2 вариант выполняет задания

б); г).
Уровень В.Уровень С.1 вариант выполняет задания а); в). 2 вариант выполняет задания б); г).

Слайд 17рефлексия
Что было интересно на учебном занятии?
Какие цели были поставлены вначале учебного

занятия?
Достигли ли вы поставленной цели учебного занятия?


рефлексияЧто было интересно на учебном занятии?Какие цели были поставлены вначале учебного занятия?Достигли ли вы поставленной цели учебного

Что такое shareslide.ru?

Это сайт презентаций, где можно хранить и обмениваться своими презентациями, докладами, проектами, шаблонами в формате PowerPoint с другими пользователями. Мы помогаем школьникам, студентам, учителям, преподавателям хранить и обмениваться учебными материалами.


Для правообладателей

Яндекс.Метрика

Обратная связь

Email: Нажмите что бы посмотреть