Презентация, доклад по математике на тему Исследование функции на экстремум с помощь. производной.

Запишите вопросы, которые рассмотрим на занятии: Понятие экстремума функции.Необходимое условие существования экстремума.Достаточное условие существования экстремума.Правила нахождение экстремумов.

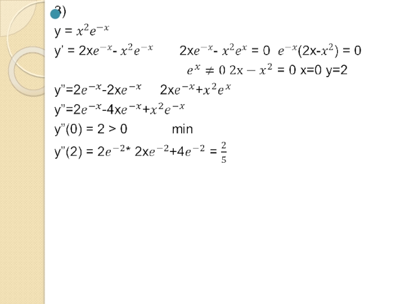
Слайд 1Исследовать функции на экстремумы с помощью производной
Цель занятия:
1) дать понятие

экстремума функции;
2) Сформулировать необходимый признак экстремума.;
3)Достаточные условия существования экстремума;
4) Алгоритм исследования функции на экстремум.

В результате должны :
Знать :
1) необходимое условие экстремума;
2) достаточные условия существования экстремума
3) Алгоритм исследования функции на экстремум.

Уметь : Исследовать функцию на экстремум с помощью производной.
Исследовать функции на экстремумы с помощью производнойЦель занятия: 1) дать понятие экстремума функции;2) Сформулировать необходимый признак экстремума.;3)Достаточные

Слайд 2Запишите вопросы, которые рассмотрим на занятии:
Понятие экстремума функции.
Необходимое условие существования

экстремума.
Достаточное условие существования экстремума.
Правила нахождение экстремумов.
Запишите вопросы, которые рассмотрим на занятии: Понятие экстремума функции.Необходимое условие существования экстремума.Достаточное условие существования экстремума.Правила нахождение экстремумов.

Слайд 3Понятие экстремума функции

Понятие экстремума функции

Слайд 4a
x1
x2
x3
x4
x5
x6
x7
b

ax1x2x3x4x5x6x7b

Слайд 5Необходимое условие существования экстремума.

Необходимое условие существования экстремума.

Слайд 8Признаки максимума и минимума

Признаки максимума и минимума

Слайд 9Достаточные условия существования экстремума

Достаточные условия существования экстремума

Слайд 10Правило нахождение экстремумов
max
min
+
-
+
0

Правило нахождение экстремумовmaxmin+-+0

Слайд 12+
-
2
max
-
+
0

+-2max-+0

Слайд 14Домашнее задание

Домашнее задание

Что такое shareslide.ru?

Это сайт презентаций, где можно хранить и обмениваться своими презентациями, докладами, проектами, шаблонами в формате PowerPoint с другими пользователями. Мы помогаем школьникам, студентам, учителям, преподавателям хранить и обмениваться учебными материалами.


Для правообладателей

Яндекс.Метрика

Обратная связь

Email: Нажмите что бы посмотреть