Презентация, доклад по геометрии Уравнение прямой

Координаты середины отрезка

Слайд 1Уравнение прямой

Уравнение прямой

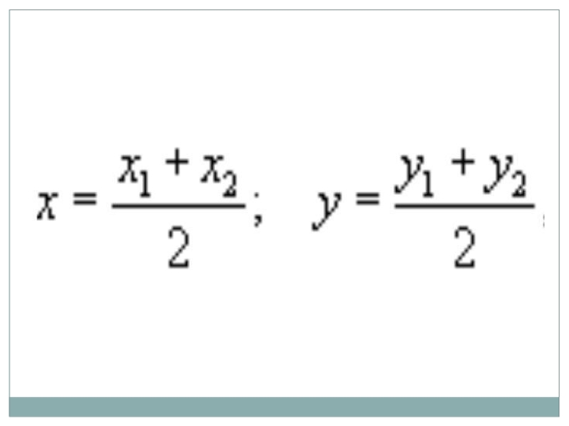
Слайд 2Координаты середины отрезка

Координаты середины отрезка

Слайд 41
3
2
А (2;3)
В (4;1)
А (5;7)
В (3;1)
А (6;8)
В (2;4)

132А (2;3)В (4;1)А (5;7)В (3;1)А (6;8)В (2;4)

Слайд 5Расстояние между двумя точками

Расстояние между двумя точками

Слайд 71
3
2
А (2;3)
В (4;1)
А (5;7)
В (3;1)
А (6;8)
В (2;4)

132А (2;3)В (4;1)А (5;7)В (3;1)А (6;8)В (2;4)

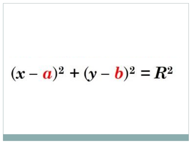
Слайд 8Уравнение окружности

Уравнение окружности

Слайд 12Уравнение прямой

Уравнение прямой

Слайд 141
3
2
А (2;3)
В (4;1)
А (5;7)
В (3;1)
А (6;8)
В (2;4)

132А (2;3)В (4;1)А (5;7)В (3;1)А (6;8)В (2;4)

Что такое shareslide.ru?

Это сайт презентаций, где можно хранить и обмениваться своими презентациями, докладами, проектами, шаблонами в формате PowerPoint с другими пользователями. Мы помогаем школьникам, студентам, учителям, преподавателям хранить и обмениваться учебными материалами.


Для правообладателей

Яндекс.Метрика

Обратная связь

Email: Нажмите что бы посмотреть