Презентация, доклад по алгебре на тему Логарифм числа

По какой формуле можно найти у, если известны х и z?логарифмирование

Слайд 1Логарифм
числа
Учитель математики МБОУ лицея №2 Бокова Татьяна Николаевна

Логарифм числаУчитель математики МБОУ лицея №2 Бокова Татьяна Николаевна

Слайд 2По какой формуле можно найти у, если известны х и z?
логарифмирование

По какой формуле можно найти у, если известны х и z?логарифмирование

Слайд 3Чему равен корень уравнения 4х = 19 ?
Включите колонки

Чему равен корень уравнения 4х = 19 ? Включите колонки

Слайд 4Чему равен х в следующем уравнении:


Чему равен х в следующем уравнении:

Слайд 5Определение логарифма числа.
Логарифм по основанию 10
называют десятичным
логарифмом и обозначают
lgb

Определение логарифма числа.Логарифм по основанию 10 называют десятичным логарифмом и обозначаютlgb

Слайд 6Следствия определения логарифма числа.

Следствия определения логарифма числа.

Слайд 7П Р М Е Р
Упростите выражение

П Р М Е РУпростите выражение

Слайд 8Решением уравнения
8 х = 9 является число:

Решением уравнения 8 х = 9 является число:

Слайд 10Решите уравнение

по определению логарифма

Решите уравнение по определению логарифма

Слайд 11Основные формулы
M>0, N>0
2.
3.
4.

Основные формулыM>0, N>02.3.4.

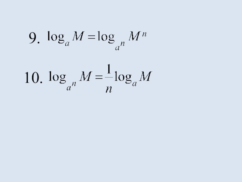
Слайд 125.
Основные формулы
6.
7.
8.

5.Основные формулы6.7.8.

Слайд 14Упрощение выражений
1.
2.

Упрощение выражений1.2.

Слайд 15Упрощение выражений
1 способ
3.

Упрощение выражений1 способ3.

Слайд 16Упрощение выражений
2 способ

Упрощение выражений2 способ

Что такое shareslide.ru?

Это сайт презентаций, где можно хранить и обмениваться своими презентациями, докладами, проектами, шаблонами в формате PowerPoint с другими пользователями. Мы помогаем школьникам, студентам, учителям, преподавателям хранить и обмениваться учебными материалами.


Для правообладателей

Яндекс.Метрика

Обратная связь

Email: Нажмите что бы посмотреть