Презентация, доклад по алгебре для 7 класса на тему Умножение многочлена на многочлен

Правило умножения многочлена на многочлен

Слайд 1УМНОЖЕНИЕ МНОГОЧЛЕНА НА МНОГОЧЛЕН
Урок № 1 В ТЕМЕ

УМНОЖЕНИЕ МНОГОЧЛЕНА НА МНОГОЧЛЕН Урок № 1 В ТЕМЕ

Слайд 2Правило умножения многочлена на многочлен

Правило умножения многочлена на многочлен

Слайд 4Работа с учебником
1. № 677, № 678.
2. № 680.


Работа с учебником1. № 677, № 678.2. № 680.

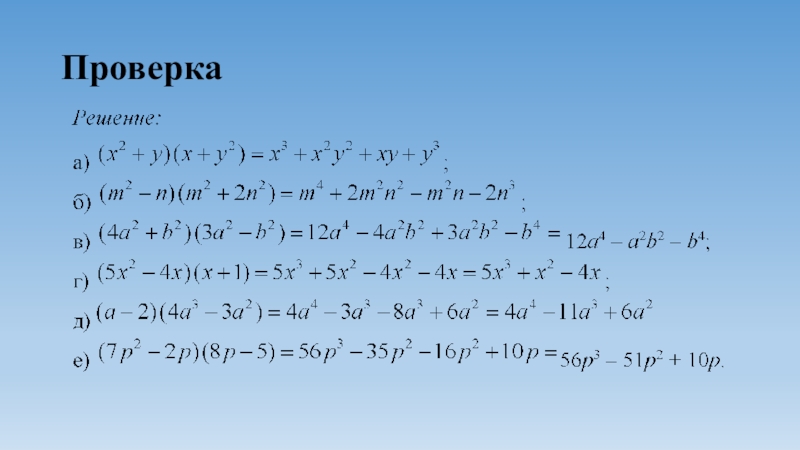
Слайд 5Проверка

Проверка

Слайд 6Проверочная работа

Проверочная работа

Слайд 73. № 682 (а, в).

3. № 682 (а, в).

Слайд 8Домашнее задание: № 679; № 681

Домашнее задание: № 679; № 681

Слайд 9Спасибо за внимание!

Спасибо за внимание!

Что такое shareslide.ru?

Это сайт презентаций, где можно хранить и обмениваться своими презентациями, докладами, проектами, шаблонами в формате PowerPoint с другими пользователями. Мы помогаем школьникам, студентам, учителям, преподавателям хранить и обмениваться учебными материалами.


Для правообладателей

Яндекс.Метрика

Обратная связь

Email: Нажмите что бы посмотреть