Презентация, доклад Метод замены множителей

Цели и задачи:Цель занятия: познакомить учащихся с методом замены множителей, как эффективным способом решения целого класса неравенств.Задачи занятия: ввести понятие метода замены множителей и рассмотреть применение этого метода для решения различных видов неравенств;повторение и обобщение метода

Слайд 1Метод замены множителей
Царева В.В.
учитель математики МОУ Инзенская СОШ

№2

Метод замены множителей		   Царева В.В.учитель математики МОУ Инзенская СОШ №2

Слайд 2Цели и задачи:
Цель занятия: познакомить учащихся с методом замены множителей, как

эффективным способом решения целого класса неравенств.
Задачи занятия:
ввести понятие метода замены множителей и рассмотреть применение этого метода для решения различных видов неравенств;
повторение и обобщение метода интервалов;
расширение кругозора учащихся;
воспитание познавательной активности;
повышение интереса к изучению математики на примере красоты метода замены множителей;
подготовка учащихся к решению задачи С3 ЕГЭ по математике.
Цели и задачи:Цель занятия: познакомить учащихся с методом замены множителей, как эффективным способом решения целого класса неравенств.Задачи

Слайд 3i.Повторение. Решение неравенств методом интервалов

i.Повторение. Решение неравенств  методом интервалов

Слайд 4II.Метод замены множителей
Определения возрастающей и убывающей функций можно сформулировать по другому:
Функция

y=f(x) называется возрастающей (убывающей) на множестве M, если для любых а и b из множества М выражения a-b и f(a)-f(b) имеют одинаковый (противоположный) знак.
Этот факт можно использовать при решении неравенств, в правой части которых стоит ноль. Можно в левой части (числителе и/или знаменателе левой части) заменить разность значений монотонной функции разностью значений аргумента. При этом, если функция возрастающая, то знак неравенства сохранится, а если функция убывающая, то знак неравенства поменяется на противоположный. Такой прием решения неравенств и называется методом замены множителей.

II.Метод замены множителей	Определения возрастающей и убывающей функций можно сформулировать по другому:	Функция y=f(x) называется возрастающей (убывающей) на множестве

Слайд 5 Базовая информация по методу замены множителей
1.Стандартный вид неравенств, когда применяется метод

замены множителей


где символ «v» обозначает один из четырех возможных знаков неравенства: <, >,
2. Основная идея метода замены множителей состоит в замене любого множителя в числителе или в знаменателе на знакосовпадающий с ним и имеющий   одни и те же корни.
Замечание. Преобразованное таким образом неравенство всегда равносильно исходному в области существования последнего.
Предупреждение. Указанная замена возможна только тогда, когда неравенство приведено к стандартному виду.

Базовая информация по методу замены множителей	1.Стандартный вид неравенств, когда применяется метод замены множителейгде символ «v» обозначает один

Слайд 6Наиболее часто встречающиеся замены

Наиболее часто встречающиеся замены

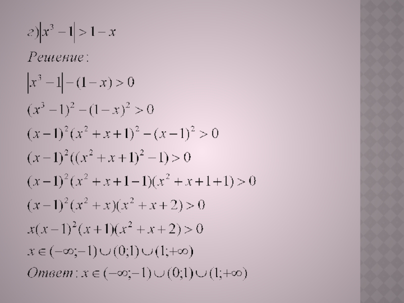
Слайд 7III. Закрепление. Решение неравенств

III. Закрепление. Решение неравенств

Слайд 8Решение неравенств

Решение неравенств

Слайд 13IV. Задания для самостоятельного решения

IV. Задания для самостоятельного решения

Слайд 14V. литература
1)«Квантор» В. И. Голубев; В. И. Тарасов. «Эффективные пути решения

неравенств».
2)«Сборник по математике доя поступающих в вузы» под редакцией М. И. Сканави.
3)Голубев В.И. Решение сложных и нестандартных задач по математике. – М.: Илекса, 2007

V. литература1)«Квантор» В. И. Голубев; В. И. Тарасов. «Эффективные пути решения неравенств».2)«Сборник по математике доя поступающих в

Что такое shareslide.ru?

Это сайт презентаций, где можно хранить и обмениваться своими презентациями, докладами, проектами, шаблонами в формате PowerPoint с другими пользователями. Мы помогаем школьникам, студентам, учителям, преподавателям хранить и обмениваться учебными материалами.


Для правообладателей

Яндекс.Метрика

Обратная связь

Email: Нажмите что бы посмотреть