Презентация, доклад на тему Дифференцирование показательной и логарифмической функции

Содержание

Число e. а > 1. 110

Слайд 1 Дифференцирование показательной и логарифмической функций.

Дифференцирование  показательной и логарифмической   функций.

Слайд 2Число e.
а > 1.

1
1
0

Число e. а > 1.   110

Слайд 3



e = 2,7182818284590……


e = 2,7182818284590……

Слайд 4Свойства функции
:
1.
не является четной ,
ни нечетной;
3.

возрастает;

не ограничена сверху,
ограничена снизу;

не имеет ни наибольшего,
ни наименьшего значений;

6. непрерывна;

7.

8. выпукла вниз;

9. дифференцируема.

Свойства функции :1. не является четной ,   ни нечетной;3. возрастает; не ограничена сверху,

Слайд 5Производная функции y = f(x), где

y = g(x),


где g(x) = f(x-a)

2.





Производная функции y = f(x), где y = g(x),   где g(x) = f(x-a)

Слайд 7Пример 1. Провести касательную к графику функции

в точке x=1.



Решение:

1) a=1

2) f(a)=f(1)=e

3)

4) y=e+e(x-1); y = ex

Ответ:

y=ex

Пример 1. Провести касательную к графику функции       в точке x=1.Решение:1) a=12)

Слайд 8Пример 2.
Вычислить значение производной функции

в точке x=3.

Решение:

Ответ:

4

Пример 2.Вычислить значение производной функции           в точке

Слайд 9Пример 3.
Вычислить площадь фигуры, ограниченной линиями y=0, x=0, x=2,
Решение:
2
1
1
0
Ответ:

Пример 3.Вычислить площадь фигуры, ограниченной линиями y=0, x=0, x=2, Решение:2110Ответ:

Слайд 10Пример 4.
Исследовать на экстремум и схематически изобразить график функции
Решение:
1)
2)

Пример 4.Исследовать на экстремум и схематически изобразить график функцииРешение:1)2)

Слайд 113)
-2
x
0
+
+
-
4)
x=-2 – точка максимума
x=0 – точка минимума

3)-2x0++-4)x=-2 – точка максимумаx=0 – точка минимума

Слайд 12Ось абсцисс – горизонтальная асимптота графика.
0
1
1

Ось абсцисс – горизонтальная асимптота графика.011

Слайд 13Решите упражнения:
1620, 1623(a,б), 1624(а,б), 1628(а,б), 1629(а,б)
Решить дома: 1621, 1623(в,г), 1624(в,г), 1628(в,г),

1629(в,г), 1631.
Решите упражнения:1620, 1623(a,б), 1624(а,б), 1628(а,б), 1629(а,б)Решить дома: 1621, 1623(в,г), 1624(в,г), 1628(в,г), 1629(в,г), 1631.

Слайд 14
Натуральные логарифмы:

Натуральные логарифмы:

Слайд 151.
не является четной ,
ни нечетной;
3. возрастает;
не

ограничена сверху,
не ограничена снизу;

не имеет ни наибольшего,
ни наименьшего значений;

6. непрерывна;

7.

8. выпукла вверх;

9. дифференцируема.

Функция y=ln x, ее свойства, график.

0

1

1

1. не является четной ,   ни нечетной;3. возрастает; не ограничена сверху,  не ограничена снизу;не

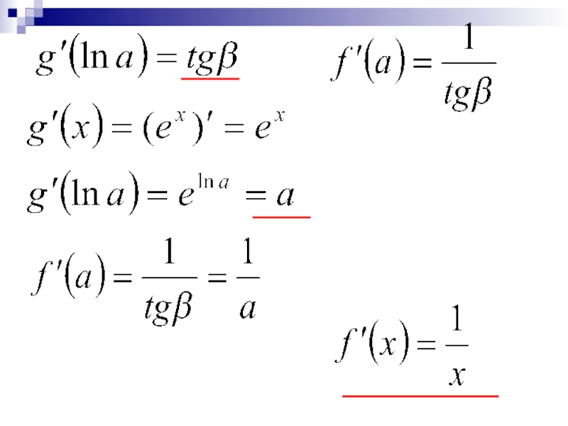
Слайд 16Дифференцирование функция y=ln x.
y=lnx
a
a
P(lna;a)
P
M
M(a;lna)

Дифференцирование функция y=ln x. y=lnxaaP(lna;a)PMM(a;lna)

Слайд 19
Дифференцирование функции
Например,

Дифференцирование функции Например,

Слайд 20
Дифференцирование функции

Дифференцирование функции

Что такое shareslide.ru?

Это сайт презентаций, где можно хранить и обмениваться своими презентациями, докладами, проектами, шаблонами в формате PowerPoint с другими пользователями. Мы помогаем школьникам, студентам, учителям, преподавателям хранить и обмениваться учебными материалами.


Для правообладателей

Яндекс.Метрика

Обратная связь

Email: Нажмите что бы посмотреть