Презентация, доклад вводного занятия (дистанционное обучение)

Содержание

Пояснительная запискаКурс «Математика» состоит из четырех разделов:1 Линейная алгебра (с элементами аналитической геометрии)2 Основы математического анализаОсновы теории вероятности и математической статистикиЭлементы линейного программирования

Слайд 1Вводное занятие по дисциплине «Математика»
Новороссийский колледж строительства и экономики
Преподаватель: Татьяна Петровна

Пушкина

В группах БУ-21 зд, ЭК-21 зд

Вводное занятие по дисциплине «Математика»Новороссийский колледж строительства и экономикиПреподаватель: Татьяна Петровна ПушкинаВ группах БУ-21 зд, ЭК-21 зд

Слайд 2Пояснительная записка
Курс «Математика» состоит из четырех разделов:
1 Линейная алгебра (с

элементами аналитической геометрии)
2 Основы математического анализа
Основы теории вероятности и математической статистики
Элементы линейного программирования


Пояснительная запискаКурс «Математика» состоит из четырех разделов:1  Линейная алгебра (с элементами аналитической геометрии)2  Основы математического

Слайд 3Пояснительная записка
Каждый раздел содержит материалы:
теоретический и практический (Части I и II)


Часть 1. Основной текст (теория);
Часть 2. Практикум (содержит примеры решения задач и задачи для самостоятельного решения)
Вопросы для самоконтроля
Глоссарий (математический справочник)
Задания и образцы решения помещены в папке «Методические указания»



Пояснительная запискаКаждый раздел содержит материалы:теоретический и практический (Части I и II) Часть 1. Основной текст (теория);Часть 2.

Слайд 4Прохождение аттестации
Этапы промежуточной аттестации:
– ознакомление с теоретическим материалом;

– просмотр образцов выполнения

самостоятельных работ по предлагаемым темам;

– просмотр Практикумов по данным темам;

– получение необходимой консультации в ЧАТе

– выполнение двух практических работ;

– выполнение одной контрольной работы;

– прохождение контрольного тестирования.
Итоговая аттестация (зачет):
Итоговое тестирование




Прохождение аттестацииЭтапы промежуточной аттестации:– ознакомление с теоретическим материалом;– просмотр образцов выполнения самостоятельных работ по предлагаемым темам;– просмотр

Слайд 5Порядок выполнения письменных работ
Письменную работу выполнить и отправить документом Microsoft Word

по электронной почте с обязательным титульным листом и листом «Рецензия преподавателя»
В виду возникающих затруднений с набором математических формул разрешается отправить по электронной почте рукописный вариант письменной работы, выполненный в FineReader (сканированный вариант)
Работу можно выполнить в тетрадном варианте (каждое задание - с новой страницы)


Порядок выполнения письменных работПисьменную работу выполнить и отправить документом Microsoft Word по электронной почте с обязательным титульным

Слайд 6Сроки выполнения письменных работ
Контрольную работу и практические работы необходимо выполнить и

сдать в сроки, обозначенные индивидуальным учебным графиком.

Сроки выполнения письменных работКонтрольную работу и практические работы необходимо выполнить и сдать в сроки, обозначенные индивидуальным учебным

Слайд 7РАЗДЕЛ 1
ГЛАВА 1. Элементы линейной алгебры

ГЛАВА 2. Элементы аналитической геометрии

РАЗДЕЛ 1 ГЛАВА 1. Элементы линейной алгебрыГЛАВА 2. Элементы аналитической геометрии

Слайд 8Тема 1 Матрицы и определители 1.1 Матрицы
Матрица - это таблица чисел, состоящая

из m строк и n столбцов:

где i - номер строки, j - номер столбца

Или

,

Тема 1 Матрицы и определители 1.1 МатрицыМатрица - это таблица чисел, состоящая из m строк и n

Слайд 9Пример: Матрица 2х3
Например, в матрице

две строки
и три столбца;




Пример:  Матрица 2х3 Например, в матрицедве строкии три столбца;

Слайд 10 1.2 Линейные операции над матрицами
Матрицы одинакового размера можно складывать.

Суммой двух матриц А и В называется такая матрица С, элементы которой равны сумме соответствующих элементов матриц А и В.

Сложение матриц

1.2 Линейные операции над матрицами  	Матрицы одинакового размера можно складывать.	  Суммой двух матриц

Слайд 11





Пример 1.
Пусть даны матрицы




Требуется найти сумму этих матриц.

и

Решение:

Ответ:

Пример 1.Пусть даны матрицы            Требуется найти

Слайд 12


Пример 2.
Пусть даны матрицы




и


Решение:

Ответ:

Пример 2.Пусть даны матрицы            и

Слайд 13Умножение матрицы на число
Произведением матрицы А на число




называется матрица, элементы которой равны
произведению числа на соответствующие
элементы матрицы.


Решение:

Ответ:

Пример.

Пусть дана матрица

Вычислить .

Умножение матрицы на числоПроизведением матрицы  А на число

Слайд 14Пусть даны матрицы
Произведением матрицы А на матрицу В называется матрица С,

элементы которой составляются следующим образом:

1.3 Умножение матриц

, i = 1, 2, … , m , j = 1, 2, ..., n

Или:

Пусть даны матрицыПроизведением матрицы А на матрицу В называется матрица С, элементы которой составляются следующим образом:1.3 Умножение

Слайд 15




Пусть даны матрицы
Требуется найти матрицы АВ и ВА.
Пример 1.
Решение:
Ответ:

Пусть даны матрицыТребуется найти матрицы АВ и ВА.Пример 1.Решение:Ответ:

Слайд 16




Имеем
Вычислить ВА
ВНИМАНИЕ!
Пример 2.
Решение:
Ответ:

ИмеемВычислить ВАВНИМАНИЕ!Пример 2.Решение:Ответ:

Слайд 172 Определители квадратных матриц
Определители второго и третьего порядка
Определителем второго порядка

называется число,
равное :

Для квадратных матриц вводится понятие определителя.

Пусть дана матрица

2 Определители квадратных матриц Определители второго и третьего порядка  Определителем второго порядка называется число,равное

Слайд 18


Пример 1.
Решение:
Вычислить определитель второго порядка
Ответ: -23

Пример 1.Решение:Вычислить определитель второго порядкаОтвет: -23

Слайд 19Определителем третьего порядка называется число, вычисленное по правилу треугольника (Сарруса):
Пусть дана

матрица третьего порядка
Определителем третьего порядка называется число, вычисленное по правилу треугольника (Сарруса):Пусть дана матрица третьего порядка

Слайд 20Выразим правило Сарруса (треугольника) следующей схемой:

Выразим правило Сарруса (треугольника) следующей схемой:

Слайд 212. Нахождение определителя классическим способом

Пусть дана квадратная матрица третьего порядка, элементы

которой для удобства обозначим через: а1, а2, а3, b1, b2, b3, c1, c2, c3.
Её определитель равен:


2. Нахождение определителя классическим способомПусть дана квадратная матрица третьего порядка, элементы которой для удобства обозначим через:

Слайд 22


Пусть даны матрица
Требуется найти определитель матрицы А.
Пример 1.
Решение:
Ответ: 45

Пусть даны матрицаТребуется найти определитель матрицы А.Пример 1.Решение:Ответ: 45

Слайд 23



Пусть даны матрица
Требуется найти определитель матрицы А разложением по первой строке.
Пример

2.

Решение:

Ответ: 45


Пусть даны матрицаТребуется найти определитель матрицы А разложением по первой строке.Пример 2.Решение:Ответ: 45

Слайд 24Тема 2 Системы линейных уравнений
Рассмотрим систему двух линейных уравнений
с двумя

неизвестными:


Положим



и если


то


Тема 2 Системы линейных уравненийРассмотрим систему двух линейных уравнений с двумя неизвестными: Положим и если то

Слайд 25Аналогично

где

Габриэл Крамер -швейцарский математик (1704-1752)
Определитель Δ называется определителем системы двух

линейных уравнений с двумя неизвестными и при этом решение системы находим по формулам Крамера:
Аналогичногде Габриэл Крамер -швейцарский математик (1704-1752)Определитель Δ называется определителем системы двух линейных уравнений с двумя неизвестными и

Слайд 26


Решить систему уравнений:
Пример.
Решение:
Ответ: (5; 2)


Вычислим определители Δ, Δх, Δу:





Решить систему уравнений:Пример.Решение:Ответ:  (5; 2)Вычислим определители Δ, Δх, Δу:

Слайд 27Методы решения систем трёх линейных уравнений с тремя неизвестными.
По формулам Крамера
Методом

Гаусса
Методом Жордана-Гаусса

Решение системы трех линейных уравнений,
а так же решение матричных уравнений, векторный анализ предлагается рассмотреть самостоятельно, используя теоретический и практический материал, и рекомендуемую литературу

Методы решения систем трёх линейных уравнений с тремя неизвестными.По формулам КрамераМетодом ГауссаМетодом Жордана-ГауссаРешение системы трех линейных уравнений,а

Слайд 28РАЗДЕЛ 2 Основы математического анализа
ГЛАВА 3. Введение в анализ. Дифференциальное исчисление

ГЛАВА

4. Интегральное исчисление функции одной действительной переменной

РАЗДЕЛ 2  Основы математического анализаГЛАВА 3. Введение в анализ. Дифференциальное исчислениеГЛАВА 4. Интегральное исчисление функции одной

Слайд 29Глава 3 Введение в анализ. Дифференциальное исчисление
Тема 1: Множества. Действительные числа

Тема

2: Функции действительной переменной

Тема 3: Теория пределов. Непрерывность функции

Тема 4. Дифференциальное исчисление функции одной действительной переменной

Глава 3 Введение в анализ. Дифференциальное исчислениеТема 1: Множества. Действительные числаТема 2: Функции действительной переменнойТема 3: Теория

Слайд 30Тема 3 Теория пределов Предел функции
Число А называется пределом функции
y =

f(x) в точке (при ), если для любого положительного числа существует число , такое, что для всех допустимых значений аргумента х, удовлетворяющих неравенству


выполняется неравенство



Тема 3 Теория пределов Предел функции Число А называется пределом функцииy = f(x) в точке

Слайд 31Пример 1.
Вычислить предел




Решение:

Ответ:




при


Пример 1.Вычислить предел            Решение:Ответ:при

Слайд 32Пример 2.
Вычислить предел




Решение:

Ответ: 3






Пример 2.Вычислить предел            Решение:Ответ:  3

Слайд 33Тема 4 Дифференциальное исчисление Производная
Определение:
Производной функции в точке х0 называется предел

отношения приращения функции в этой точке к приращению аргумента, когда приращение аргумента стремится к нулю.



Тема 4 Дифференциальное исчисление ПроизводнаяОпределение: Производной функции в точке х0 называется предел отношения приращения функции в этой

Слайд 34









k – угловой

коэффициент прямой(касательной)




Касательная


Производная от функции в данной точке равна угловому коэффициенту касательной, проведенной к графику функции в этой точке.

Геометрический смысл производной.

k – угловой коэффициент прямой(касательной)КасательнаяПроизводная от функции в данной точке

Слайд 35



.

Δх – перемещение тела
Δt – промежуток времени
в течение которого выполнялось
движение
Механический смысл

производной.
.Δх – перемещение телаΔt – промежуток временив течение которого выполнялосьдвижениеМеханический смысл производной.

Слайд 36 Физический смысл:

Скорость
ускорение
Производная от перемещения по времени является мгновенная скорость.
Производная от скорости

по времени является ускорением.
Физический смысл:	СкоростьускорениеПроизводная от перемещения по времени является мгновенная скорость.Производная от скорости по времени является ускорением.

Слайд 37Правила дифференцирования
1. Производная суммы равна сумме производных,
производная разности равна разности производных:
2.

Постоянный множитель можно вынести за знак
производной:

3. Производная произведения:

4. Производная частного:

Правила дифференцирования 1. Производная суммы равна сумме производных,производная разности равна разности производных: 2. Постоянный множитель можно вынести

Слайд 38Глава 4 Интегральное исчисление
Тема 1: Первообразная и неопределённый интеграл

Тема 2: Определённый

интеграл

Тема 3: Дифференциальные уравнения



Глава 4 Интегральное исчислениеТема 1: Первообразная и неопределённый интегралТема 2: Определённый интегралТема 3: Дифференциальные уравнения

Слайд 39Первообразная

Первообразная

Слайд 40Неопределенный интеграл

Неопределенный интеграл

Слайд 41Основные методы интегрирования
Непосредственное интегрирование

Интегрирование заменой переменных

Интегрирование по частям

Основные методы интегрированияНепосредственное интегрированиеИнтегрирование заменой переменныхИнтегрирование по частям

Слайд 42Непосредственное интегрирование (метод разложения)
Этот способ интегрирования предполагает такое преобразование подынтегральной функции,

которое позволило бы использовать для решения табличные интегралы.


Непосредственное интегрирование (метод разложения)Этот способ интегрирования предполагает такое преобразование подынтегральной функции, которое позволило бы использовать для решения

Слайд 45Пример 1.
Вычислить интеграл




Решение:

Ответ:


Пример 1.Вычислить интеграл            Решение:Ответ:

Слайд 46Метод замены переменной
Пусть требуется найти интеграл первообразная которого неизвестна, но известно

что она существует. В этом случае можно попытаться сделать такую замену переменной, чтобы интеграл стал табличным.




где

дифференцируемая функция на множестве Т

Метод замены переменнойПусть требуется найти интеграл первообразная которого неизвестна, но известно что она существует. В этом случае

Слайд 47Пример 1.
Вычислить интеграл




Решение:

Ответ:




Пример 1.Вычислить интеграл            Решение:Ответ:

Слайд 48Пример 2.
Вычислить интеграл




Решение:




Пример 2.Вычислить интеграл            Решение:

Слайд 49Пример

Пример

Слайд 50 Найти


Пример 3.

Найти Пример 3.

Слайд 51Интегрирование по частям

Интегрирование по частям

Слайд 53Определенный интеграл
– формула
Ньютона-Лейбница
, где xn∈[a; b].
Читают: интеграл от a до

b эф от икс дэ икс.

Для вычисления определённого интеграла применяют:

Число a называют нижним пределом интегрирования, b – верхним пределом интегрирования, f (x) – подынтегральной функцией, x – переменной интегрирования.

Определение:

Определенный интеграл– формула Ньютона-Лейбница, где xn∈[a; b].Читают: интеграл от a до b эф от икс дэ икс.Для

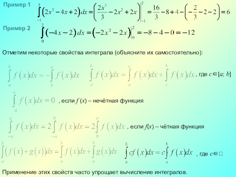
Слайд 54Отметим некоторые свойства интеграла (объясните их самостоятельно):
Применение этих свойств часто упрощает

вычисление интегралов.

, где c∈

Пример 1

Пример 2

Отметим некоторые свойства интеграла (объясните их самостоятельно):Применение этих свойств часто упрощает вычисление интегралов., где c∈Пример 1Пример 2

Слайд 55РАЗДЕЛ 3 Основы теории вероятности и математической статистики
ГЛАВА 5. Элементы теории

вероятностей

ГЛАВА 6. Элементы математической статистики

РАЗДЕЛ 3  Основы теории вероятности и математической статистикиГЛАВА 5. Элементы теории вероятностей ГЛАВА 6. Элементы математической

Слайд 56Элементы комбинаторики
Произведение подряд идущих первых n натуральных чисел обозначают

n! и называют «эн факториал»:
n! = 1 × 2 × 3 × 4 ×...×(n - 2)×(n – 1)×n.
«factor» - «множитель»
«эн факториал» - «состоящий из n множителей».
Например, 7! = 1 × 2 × 3 × 4 ×5 × 6 × 7 = 840

Определение.

Элементы комбинаторики  Произведение подряд идущих первых n натуральных чисел обозначают n! и называют «эн факториал»:

Слайд 57Простейшие комбинации

Простейшие комбинации

Слайд 58Пример 1.
Решение:
Ответ: 56



Вычислить

Пример 1.Решение:Ответ: 56Вычислить

Слайд 59Пример 2.
Решение:
Ответ: 1,4



Вычислить

Пример 2.Решение:Ответ: 1,4Вычислить

Слайд 60Вероятность случайного события
Определение. Вероятностью Р(А) события А называется отношение числа благоприятствующих

исходов т к общему числу n равновозможных несовместных исходов n:


Вероятность случайного событияОпределение. Вероятностью Р(А) события А называется отношение числа благоприятствующих исходов т к общему числу n

Слайд 611. Вероятность случайного события А , есть положительное число, заключённое между 0

и 1.
0 ≤ Р(А) ≤ 1.
2. Вероятность достоверного события равна единице.


3. Вероятность невозможного события равна нулю.

Свойства вероятности:



1.	Вероятность случайного события А , есть положительное число, заключённое между 0 и 1.0 ≤ Р(А) ≤ 1.2.	Вероятность

Слайд 62Пример 3.
Решение:
Ответ: 0,5



В урне 10 белых, 5 красных и 5 зеленых

шаров. Найти вероятность того, что вынутый наугад шар будет цветным (не белым).


Число исходов, благоприятствующих событию А, равно сумме красных и зеленых шаров: т = 10. Общее число равновозможных несовместных исходов равно общему числу шаров в урне: n = 20. Тогда:

Пример 3.Решение:Ответ: 0,5В урне 10 белых, 5 красных и 5 зеленых шаров. Найти вероятность того, что вынутый

Слайд 63Пример 4.
Решение:
Ответ:



Получена партия одежды в количестве 40 штук. Из них 20

комплектов мужской одежды, 6 - женской и 14 -детской. Найти вероятность того, что взятая наугад одежда окажется не женской.


Событие А - одежда мужская, вероятность


Событие В - одежда женская,


Событие С- одежда детская,


Тогда


Пример 4.Решение:Ответ:Получена партия одежды в количестве 40 штук. Из них 20 комплектов мужской одежды, 6 - женской

Слайд 641. Вероятность суммы двух несовместных собы­тий А и В равна сумме вероятностей

этих событий:

Р(А +В) = Р(А) + Р(В).

2. Если события А1, А2,..., Аn . образуют полную группу, то сумма их вероятностей равна единице, т е.


3. Сумма вероятностей противоположных событий равна единице, т.е.


Теоремы вероятностей





1.	Вероятность суммы двух несовместных собы­тий А и В равна сумме вероятностей этих событий:

Слайд 654. Вероятность появления хотя бы одного из двух совместных
событий равна сумме

вероятностей этих событий без
вероятности их совместного наступления, т.е.
Р(А +В) = Р(А) + Р(В) – P(A × B).
5. Вероятность произведения двух независимых событий А и
В равна произведению вероятностей этих событий
Р(А и В) = Р(А×В) = Р(А) ∙Р(В).
6. Вероятность произведения двух зависимых событий равна
произведению вероятность одного из них на условную
вероятность другого, вычисленную при условии, что первое
событие осуществилось:



Теоремы вероятностей






4. Вероятность появления хотя бы одного из двух совместныхсобытий равна сумме вероятностей этих событий без вероятности их

Слайд 66Формула полной вероятности

Формула Байеса



Формула Бернулли для повторных независимых испытаний



Формула полной вероятности Формула Байеса Формула Бернулли для повторных независимых испытаний

Слайд 67Пример 5.
Решение:
Ответ: 0,1323



Вероятность попадания в мишень при одном выстреле для данного

стрелка равна 0,7 и не зависит от номера выстрела. Найти вероятность того, что при 5 выстрелах произойдет ровно 2 попадания в мишень.


Поскольку , то . По условию ,
.
По формуле Бернулли :






Пример 5.Решение:Ответ: 0,1323Вероятность попадания в мишень при одном выстреле для данного стрелка равна 0,7 и не зависит

Слайд 68Литература


1 Афанасьева О.Н., Бродский Я.С., Павлов А Математика для техникумов -

М., Наука, 1991
2 Валуцэ И.И. Математика для техникумов : учебное пособие М.: Наука, 1990.
3 Гмурман В. Е. Теория вероятностей и математическая статистика. – М.: Издательство МГУ, 2001.
4 Дадаян А. А. Математика: учебник -М.: Форум: ИНФРА-М, 2005.
5 Ильин В. А. Основы математического анализа: в 2 т. - М.: Наука:
Физматлит, 2001.
6 Солодовников А. С., Торопов Г. А. Линейная алгебра с элементами аналитической геометрии. - М.: Высшая школа, 1987.
7 Шипачев В. С. Высшая математика: учебник-М.: Высшая школа, 2000.
8 Электронный носитель. Учебник для ДО. - 2006.
Литература1 Афанасьева О.Н., Бродский Я.С., Павлов А Математика для техникумов - М., Наука, 19912 Валуцэ И.И. Математика

Что такое shareslide.ru?

Это сайт презентаций, где можно хранить и обмениваться своими презентациями, докладами, проектами, шаблонами в формате PowerPoint с другими пользователями. Мы помогаем школьникам, студентам, учителям, преподавателям хранить и обмениваться учебными материалами.


Для правообладателей

Яндекс.Метрика

Обратная связь

Email: Нажмите что бы посмотреть