Презентация, доклад на тему Личностный ориентированный подход при подготовке ЕГЭ

Содержание

Принципы построения методической подготовки к ЕГЭПервый – тематический. Разумнее выстраивать такую подготовку, соблюдая «правило спирали» ­ от простых типовых заданий до более сложных заданий. Тематический тест выстраивается в виде логически взаимосвязанной системы: то есть выполненный сегодня

Слайд 1
Личностно ориентированный подход при подготовке учащихся к ЕГЭ.


Кто воздвигнет

тебя к небесам?
Только сам.
Кто низвергнет тебя с высоты?
Только ты.
Где куются ключи к твоей горькой судьбе?
Лишь в тебе.
Чем расплатишься ты за проигранный бой? Лишь собой.
Личностно ориентированный подход при  подготовке   учащихся к ЕГЭ.Кто воздвигнет тебя к небесам? Только сам.

Слайд 2Принципы построения методической подготовки к ЕГЭ
Первый – тематический. Разумнее выстраивать такую

подготовку, соблюдая «правило спирали» ­ от простых типовых заданий до более сложных заданий. Тематический тест выстраивается в виде логически взаимосвязанной системы: то есть выполненный сегодня тест готовит к пониманию и правильному выполнению завтрашнего.

Принципы построения методической подготовки к ЕГЭПервый – тематический. Разумнее выстраивать такую подготовку, соблюдая «правило спирали» ­ от

Слайд 3Принципы построения методической подготовки к ЕГЭ
Второй принцип реализуется тогда, когда накоплен

запас общих подходов к основным типам заданий и есть опыт их применения в заданиях любой сложности.

Третий принцип – все тренировочные тесты следует проводить с жестким ограничением времени.

Принципы построения методической подготовки к ЕГЭВторой принцип реализуется тогда, когда накоплен запас общих подходов к основным типам

Слайд 4Принципы построения методической подготовки к ЕГЭ

Четвертый принцип – увеличение нагрузки (по

содержанию и по времени) для всех школьников в равной мере.
Принципы построения методической подготовки к ЕГЭЧетвертый принцип – увеличение нагрузки (по содержанию и по времени) для всех

Слайд 5Индивидуальная диагностическая карта

Индивидуальная диагностическая карта

Слайд 6 «Человеку, изучающему математику, часто полезнее решить одну и ту же задачу

тремя различными способами, чем решить три- четыре различные задачи. Решая одну задачу различными методами , можно путём сравнений выяснить какой из них эффективнее. Так вырабатывается опыт."


«Человеку, изучающему математику, часто полезнее решить одну и ту же задачу тремя различными способами, чем решить

Слайд 7Восемь способов решения одного тригонометрического уравнения.
1.Приведение уравнения к однородному.
2.Разложение левой

части уравнения на множители.
3.Введение вспомогательного угла.
4.Преобразование разности (или суммы) тригонометрических функций в произведение.
5.Приведение к квадратному уравнению.
6.Возведение обеих частей уравнения в квадрат.
7.Универсальная подстановка.
8.Графическое решение.
Восемь способов решения одного  тригонометрического  уравнения.1.Приведение уравнения к однородному.2.Разложение левой части уравнения на множители.3.Введение вспомогательного

Слайд 8 Задача. Решите уравнение

различными способами.

sin x – cos x = 1

?

Задача.  Решите уравнение         различными способами.sin x –

Слайд 9Способ первый. Приведение уравнения к

однородному.


Это однородное уравнение первой степени. Делим обе части этого уравнения на

т.к., если

что противоречит тождеству

Получим:


,

.





sin x – cos x = 1

Способ первый. Приведение уравнения к

Слайд 10Способ второй. Разложение левой части уравнения на множители.



Далее так, как

в первом способе.



















Способ второй. Разложение левой части уравнения на множители. Далее так, как в первом способе.

Слайд 11Способ третий. Введение вспомогательного угла.









В левой части вынесем

- корень квадратный из суммы квадратов коэффициентов при sin х и cos х.



sinα cosβ - cos α sin β = sin (α-β)











Способ третий. Введение вспомогательного угла.   В левой части вынесем    - корень квадратный

Слайд 12 Внимание! Эквивалентны ли результаты , полученные в рассмотренных способах решений данного

уравнения sin x – cosx = 1?


Покажем однозначность ответов.


1-й способ


2-й способ


















Внимание! Эквивалентны ли результаты , полученные  в рассмотренных способах решений данного уравнения

Слайд 13Способ четвертый. Преобразование разности (или суммы) тригонометрических функций в произведение.



Запишем уравнение sin x – cosx = 1 в виде:


Применим формулу разности двух синусов.

Далее так, как в третьем способе.














Способ четвертый. Преобразование разности (или суммы) тригонометрических функций в произведение.

Слайд 14Способ пятый. Приведение к квадратному уравнению

относительно одной функции.



Возведем обе части уравнения в квадрат:


или

Способ пятый. Приведение к квадратному уравнению      относительно одной функции.  Возведем обе

Слайд 15Внимание! При решении уравнения обе части уравнения возводились в квадрат,

что могло привести к появлению посторонних решений, поэтому необходима проверка.

Сделаем проверку.






Полученные решения эквивалентны объединению трёх решений

Первое и второе решение совпадают с ранее полученными, поэтому не
являются посторонними. Проверять не будем.
Проверим:
Левая часть:
а правая часть уравнения равна 1, следовательно это решение является посторонним.


Внимание! При решении уравнения обе части  уравнения возводились в квадрат, что могло привести к появлению посторонних

Слайд 16Способ шестой. Возведение обеих частей уравнения в квадрат.

sin x – cos x = 1




Ответ: x = π n, n ∈ Z,

или cos x =0

sin x = 0
x = π n, n ∈ Z










Способ шестой. Возведение обеих частей уравнения в квадрат.

Слайд 17Способ седьмой. Универсальная подстановка .
Выражение всех функций

через (универсальная подстановка)
по формулам:



sin x –cosx = 1

Умножим обе части уравнения на






















Способ седьмой. Универсальная подстановка .     Выражение всех функций через

Слайд 18Внимание! Могли потерять корни.Необходима

проверка!


Область допустимых значений первоначального уравнения - всё
множество R . При переходе к tg из рассмотрения выпали значения

x, при которых tg не имеет смысла, т.е.x = π + π n, где n ∈ Z .

Следует проверить , не является ли
x = π +π n, где n ∈ Z решением данного уравнения.
Левая часть sin(π - 2πk) – cos(π + 2πk) = sin π – cos π = 0 – (-1) = 1 и правая часть равна единице. Значит, x = π + π n ,где n ∈ Z является решением данного уравнения.
Ответ: : x= π +π n, n ∈ Z, x= +πn, n ∈ Z.











Внимание! Могли потерять корни.Необходима

Слайд 19Способ восьмой. Графический способ решения.

На

одном и том же чертеже построим графики функций, соответствующих левой и правой части уравнения. Абсциссы точек пересечения графиков являются решением данного уравнения,
у = sin х - график синусоида.
у = соs х + 1 – синусоида, смещённая на единицу вверх.













sin x = cos x + 1

Способ восьмой. Графический способ решения.       На одном и том же чертеже

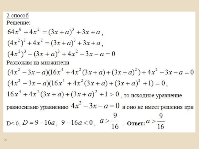
Слайд 20Найдите все значения параметра а, при каждом из которых уравнение

не имеет решений
Найдите все значения  параметра а, при каждом из которых уравнение

Слайд 24Все наши дети очень разные:
одни яркие, талантливые,

другие не очень.
Но каждый ребенок должен самореализоваться. И я вам этого искренне желаю.
Все наши дети очень разные: одни  яркие, талантливые,   другие не очень. Но каждый ребенок

Что такое shareslide.ru?

Это сайт презентаций, где можно хранить и обмениваться своими презентациями, докладами, проектами, шаблонами в формате PowerPoint с другими пользователями. Мы помогаем школьникам, студентам, учителям, преподавателям хранить и обмениваться учебными материалами.


Для правообладателей

Яндекс.Метрика

Обратная связь

Email: Нажмите что бы посмотреть