Презентация, доклад на тему Задачи 5 класс презентация

Задачи 5 класс презентация Математика

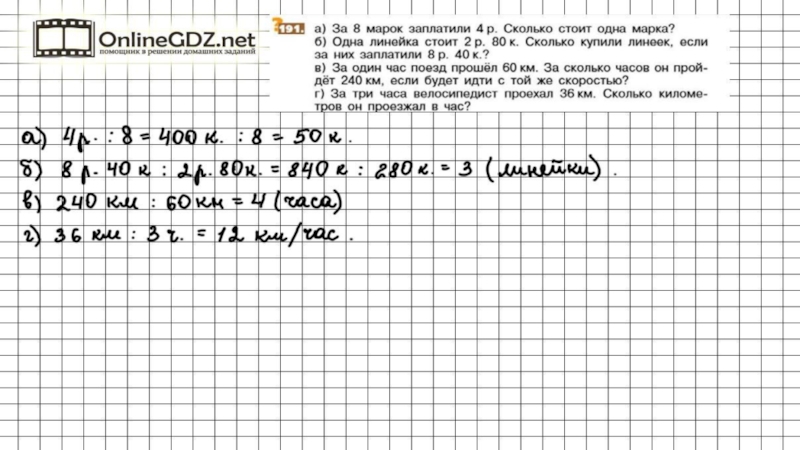
Слайд 1Задачи 5 класс
составила: Петрова В.П.

Задачи 5 класссоставила: Петрова В.П.

Что такое shareslide.ru?

Это сайт презентаций, где можно хранить и обмениваться своими презентациями, докладами, проектами, шаблонами в формате PowerPoint с другими пользователями. Мы помогаем школьникам, студентам, учителям, преподавателям хранить и обмениваться учебными материалами.


Для правообладателей

Яндекс.Метрика

Обратная связь

Email: Нажмите что бы посмотреть