Презентация, доклад на тему Зачетное занятие по математике за 1 курс в форме игры Слабое звено

Содержание

Правила игрыИгра проходит в два этапа.На первом этапе учащиеся делятся поровну на три группы. Участники каждой группы садятся по одному и отвечают письменно на 10 вопросов. На каждый вопрос дается 1 минута.На втором этапе по итогам

Слайд 1Зачетное занятие по математике
за 1 курс в форме игры
«Слабое

звено»
Цель:
1. Обобщение и систематизация знаний для подготовки к экзаменам
2. Контроль знаний
Зачетное занятие по математике за 1 курс в форме игры «Слабое звено»Цель:1. Обобщение и систематизация знаний для

Слайд 2Правила игры
Игра проходит в два этапа.
На первом этапе учащиеся делятся поровну

на три группы. Участники каждой группы садятся по одному и отвечают письменно на 10 вопросов. На каждый вопрос дается 1 минута.
На втором этапе по итогам первого этапа выбираются 5 самых лучших. Каждому из лучших в течении 2 минут задают вопросы и он отвечает на столько сколько успеет ответить.
Правила игрыИгра проходит в два этапа.На первом этапе учащиеся делятся поровну на три группы. Участники каждой группы

Слайд 3I этап игры «Слабое звено»

I этап игры «Слабое звено»

Слайд 4I Дано:
Образующая конуса 5см
R=3см
Найти: H

I Дано:Образующая конуса 5смR=3смНайти: H

Слайд 85.
Нарисуйте (схематично) график функции
6.

7.

8.
Физический смысл 1-ой производной(формулой)
9.
Решите уравнение:
10.


5. Нарисуйте (схематично) график функции6.7.8.Физический смысл 1-ой производной(формулой)9.Решите уравнение: 10.

Слайд 135.
Нарисуйте (схематично) график функции
6.

7.
Решите уравнение:
8.
Физический смысл 2-ой производной (формулой)
9.

10.

5. Нарисуйте (схематично) график функции6.7.Решите уравнение:8.Физический смысл 2-ой производной (формулой)9.10.

Слайд 17III Дано:
R=5 см
Найти: площадь поперечного сечения

III Дано:R=5 смНайти: площадь поперечного сечения

Слайд 185.
Нарисуйте (схематично) график функции:
6.

7.
Решите уравнение:
8.

9.
Геометрический смысл производной
10.

5. Нарисуйте (схематично) график функции:6.7.Решите уравнение:8.9.Геометрический смысл производной10.

Слайд 19II этап игры слабое звено

II этап игры слабое звено

Слайд 201)
2)
3)
4)Какая функция убывающая cos или sin?
5)
6)
7)
8)
9)
10)
11)

1)2)3)4)Какая функция убывающая cos или sin?5)6)7)8)9)10)11)

Слайд 2112)
13)
14)
15)
16)
17)
18)
19)
20)
21)
22)

12)13)14)15)16)17)18)19)20)21)22)

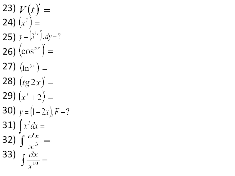
Слайд 2223)
24)
25)
26)
27)
28)
29)
30)
31)
32)
33)

23)24)25)26)27)28)29)30)31)32)33)

Слайд 2334)
35)
36)
37)
38)
39)
40)
41)
42)
43)
44)

34)35)36)37)38)39)40)41)42)43)44)

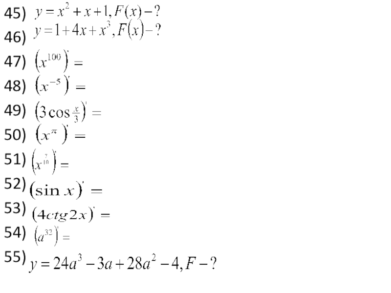
Слайд 2445)
46)
47)
48)
49)
50)
51)
52)
53)
54)
55)

45)46)47)48)49)50)51)52)53)54)55)

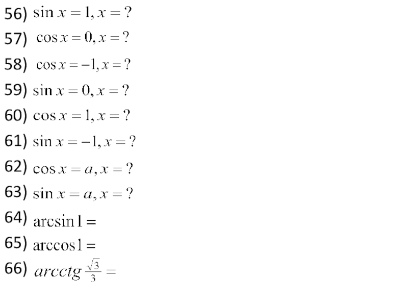
Слайд 2556)
57)
58)
59)
60)
61)
62)
63)
64)
65)
66)

56)57)58)59)60)61)62)63)64)65)66)

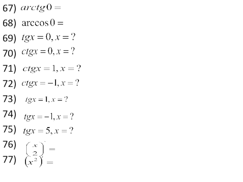
Слайд 2667)
68)
69)
70)
71)
72)
73)
74)
75)
76)
77)

67)68)69)70)71)72)73)74)75)76)77)

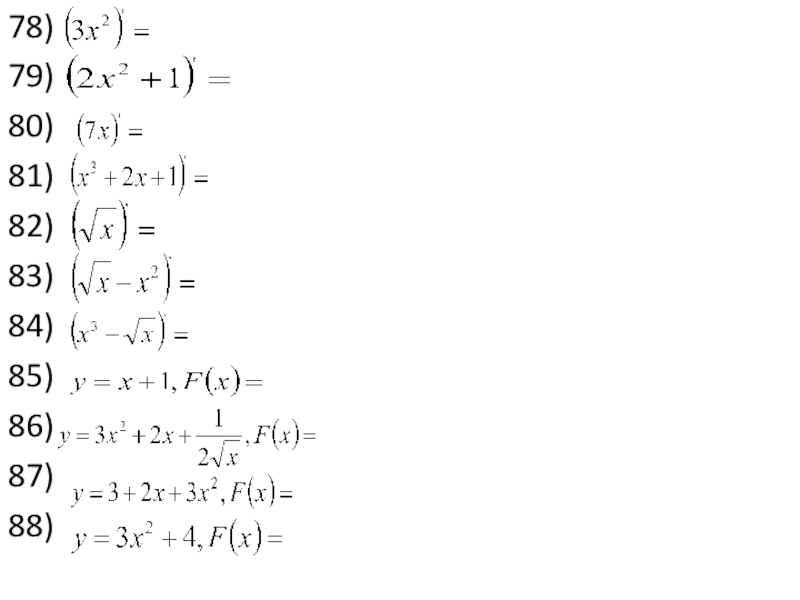
Слайд 2778)
79)
80)
81)
82)
83)
84)
85)
86)
87)
88)

78)79)80)81)82)83)84)85)86)87)88)

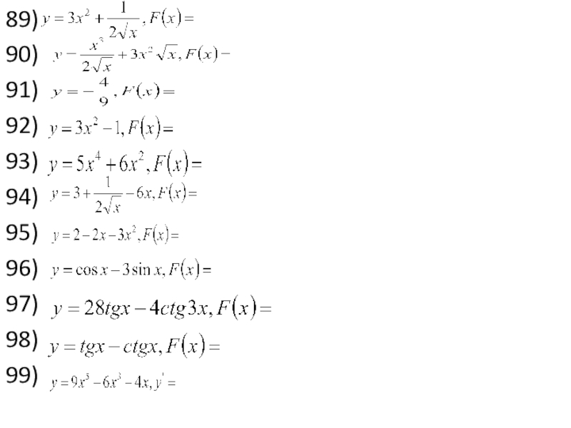
Слайд 2889)
90)
91)
92)
93)
94)
95)
96)
97)
98)
99)

89)90)91)92)93)94)95)96)97)98)99)

Слайд 29100) Как называется отрезок, соединяющий две точки окружности
101) Что лишнее

в данном перечне: цилиндр, конус, шар, куб
102) Две прямые имеющие общую точку …
103) Если две плоскости не пересекаются, то они называются …
104) Если прямая параллельна плоскости, то угол равен …
105) Объем призмы равен …
106) Продолжите св-во: противолежащие грани параллелепипеда
107) Площадь полной поверхности пирамиды
108) Боковые грани усеченной пирамиды есть…
109) Сфера это…
110) Диагональное сечение призмы плоскостью проходит через
100) Как называется отрезок, соединяющий две точки окружности 101) Что лишнее в данном перечне: цилиндр, конус, шар,

Слайд 30111) Цилиндр это ….
112) Площадь круга…
113) Хорда проходящая через центр

окружности …
114) Что лишнее: цилиндр, конус, пирамида, квадрат
115) Назовите три случая расположения двух прямых
116) Площадь полной поверхности усеченной пирамиды
117) Если 2 плоскости имеют общую точку, то они пересекаются по
118) Если прямая и плоскость не имеют общих точек, то они…
119) Величиной двугранного угла называют
120) Многогранники, имеющие равные объемы называются
121) Параллелепипед, у которого все грани прямоугольники …
111) Цилиндр это ….112) Площадь круга… 113) Хорда проходящая через центр окружности …114) Что лишнее: цилиндр, конус,

Слайд 31122) Высота, боковой грани правильной пирамиды, проведенная из ее вершин называется…
123)

В прямоугольной призме высотой является
124) Объем цилиндра равен ….
125) Площадь поверхности шара …
126) Площадь полной поверхности усеченного конуса…
127) Площадь квадрата 25 см². Чему равен его периметр
128) 3²=9, 4²=16 а чему равен угол в квадрате
129) Назовите случаи взаимного расположения двух плоскостей
130) Если 2 плоскости имеют общую точку, то они пересекаются по
140) Объем призмы равен
141) Прямоугольный параллелепипед, у которого все ребра равны
122) Высота, боковой грани правильной пирамиды, проведенная из ее вершин называется…123) В прямоугольной призме высотой является 124)

Слайд 32142) Если пирамида пересечена плоскостью параллельна основанию, то
143) Объем боковой

поверхности усеченной пирамиды
144) Прямая призма называется правильной если
145) Площадь полной поверхности цилиндра
146) Площадь боковой поверхности конуса
147) Объем усеченного конуса
148) Как называется отрезок, соединяющий две точки окружности
149) Может ли один из углов ромба быть равен 200°
150) Утверждение, принимаемое без доказательства
151) Взаимное расположение плоскости и прямой в пространстве
152) Две прямые имеющие общую точку
142) Если пирамида пересечена плоскостью параллельна основанию, то 143) Объем боковой поверхности усеченной пирамиды 144) Прямая призма

Слайд 33153) Призма основанием, которого, является параллелограмм
154) Площадь полной поверхности призмы
155)

Площадь боковой поверхности пирамиды
156) Часть пирамиды заключенная между основанием и плоскостью параллельной основанию называется
157) Площадь боковой поверхности цилиндра
158) Всякое сечение шара плоскостью есть
159) Площадь полной поверхности конуса
160) Часть конуса заключенная между основанием и плоскостью
161) Если 2 плоскости имеют общую точку, то они пересекаются по
162) Площадь квадрата 16 см². Чему равен его периметр
163) Что вычисляют по формуле S=ab
153) Призма основанием, которого, является параллелограмм154) Площадь полной поверхности призмы 155) Площадь боковой поверхности пирамиды 156) Часть

Слайд 34164) Что больше: S квадрата со стороной 3 или
165) Назовите три

свойства перпендикуляра и наклонной
166) Если прямая и плоскость имеют только 1 общую точку, то они
167) Назовите случаи взаимного расположения двух плоскостей
168) Число единичных кубов и их частей, исчерпывающих данное тело
169) Высота боковой грани правильной усеченной пирамиды
170) Площадь боковой поверхности усеченной пирамиды
171) Какая призма называется прямой
172) Плоскость имеющая со сферой только одну общую точку
173) Объем конуса
174) Площадь боковой поверхности усеченного конуса
164) Что больше: S квадрата со стороной 3 или165) Назовите три свойства перпендикуляра и наклонной 166) Если

Слайд 35175) Боковые грани усеченной пирамиды есть
176) При вращении прямоугольника вокруг одной

из своей стороны получается
177) Если расстояние от центра шара до плоскости равно радиуса сферы, то плоскость пересекает сферу
178) Объединение всех прямых, пересекающих данный угол и параллельных данной
179) Если расстояние от центра шара до плоскости больше радиуса сферы, то плоскость пересекает сферу
180) Тело образованное всеми отрезками соединяющими данную точку – вершину– с точками некоторого круга – основанием называется
181) Теорема: Если плоскость проходит через прямую, перпендикулярную другой плоскости,
175) Боковые грани усеченной пирамиды есть176) При вращении прямоугольника вокруг одной из своей стороны получается 177) Если

Слайд 36Ответы на вопросы 1 группы
1)4см
2)200см
3)240П
4)4Псм
5)
6)
7)
8)
9)Корней нет
10) 4,5

Ответы на вопросы 1 группы1)4см2)200см3)240П4)4Псм5)6)7)8)9)Корней нет10) 4,5

Слайд 37Ответы на вопросы 2 группы
1)18Псм
2)60см
3)16Псм
4)100П
5)
6)
7)Корней нет
8)
9)
10)

Ответы на вопросы 2 группы1)18Псм2)60см3)16Псм4)100П5)6)7)Корней нет8)9)10)

Слайд 38Ответы на вопросы 3 группы
1)24П
2)300
3)120П
4)25П
5)
6)
7)x=Пn
8)
9)
10)

Ответы на вопросы 3 группы1)24П2)3003)120П4)25П5)6)7)x=Пn8)9)10)

Что такое shareslide.ru?

Это сайт презентаций, где можно хранить и обмениваться своими презентациями, докладами, проектами, шаблонами в формате PowerPoint с другими пользователями. Мы помогаем школьникам, студентам, учителям, преподавателям хранить и обмениваться учебными материалами.


Для правообладателей

Яндекс.Метрика

Обратная связь

Email: Нажмите что бы посмотреть