Презентация, доклад на тему Урок по математике на тему Көбейтінді түрінде берілген тригонометриялық функцияларды қосынды немесе айырым түріне келтіру

Содержание

Сабақтың мақсаты: Білімділік: Тригонометриялық функциялардың көбейтіндісін қосындыға, айырмаға түрлендіру біліктілігін, дағдыларын қалыптастыру, есептерді шешу кезінде тиімді пайдалана білуге үйрету.Дамытушылық: Оқушылардың өз бетінше білім алу дағдыларын қалыптастыру, логикалық ойлау,шығармашылық қабілетін дамыту,пәнге қызығушылығын арттыру.Тәрбиелік:

Слайд 1

Қош келдіңіздер!!!

Қош келдіңіздер!!!

Слайд 2Сабақтың мақсаты:



Білімділік: Тригонометриялық функциялардың көбейтіндісін қосындыға, айырмаға түрлендіру біліктілігін,

дағдыларын қалыптастыру, есептерді шешу кезінде тиімді пайдалана білуге үйрету.
Дамытушылық: Оқушылардың өз бетінше білім алу дағдыларын қалыптастыру, логикалық ойлау,шығармашылық қабілетін дамыту,пәнге қызығушылығын арттыру.
Тәрбиелік: Оқушыларды жауапкершілікке шыдамдылыққа, шапшаңдыққа, ұқыптылыққа, ұжымдастыққа үйрету, және де математикаға деген ынта – ықыластарының тиянақты болуын қамтамасыз ету.
Сабақтың мақсаты:  Білімділік:  Тригонометриялық функциялардың көбейтіндісін қосындыға, айырмаға түрлендіру біліктілігін, дағдыларын қалыптастыру, есептерді шешу

Слайд 3
Математикалық диктант

Математикалық диктант

Слайд 7Тригонометриялық функциялардың көбейтіндісін қосындыға және айырмаға түрлендіру

Тригонометриялық функциялардың көбейтіндісін қосындыға және айырмаға түрлендіру

Слайд 8Тригонометриялық функциялардың көбейтіндісін қосындыға және айырмаға

түрлендіру

sin(α+β) =sinα·cosβ+cosα ·sinβ (1)
sin(α-β) =sinα·cosβ-cosα · sinβ (2)

(1),(2) формулаларын
мүшелеп қосамыз


Тригонометриялық функциялардың көбейтіндісін      қосындыға және айырмаға түрлендіру sin(α+β) =sinα·cosβ+cosα ·sinβ  (1)

Слайд 9Тригонометриялық функциялардың көбейтіндісін қосындыға және айырмаға

түрлендіру

sin(α+β) + sin(α-β) =2 sinα·cosβ

sinα·cosβ=1/2·[sin(α+β) + sin(α-β) ]

Тригонометриялық функциялардың көбейтіндісін      қосындыға және айырмаға түрлендіру sin(α+β) + sin(α-β) =2 sinα·cosβsinα·cosβ=1/2·[sin(α+β)

Слайд 10Аргументтері әр түрлі синус және косинус функцияларының көбейтіндісі (sinα·cosβ) осы аргументтердің

қосындысы мен айырымының синустарының қосындысының жартысына
(1/2[sin(α+β) + sin(α-β)]) тең.
Аргументтері әр түрлі синус және косинус функцияларының көбейтіндісі (sinα·cosβ) осы аргументтердің қосындысы мен айырымының синустарының қосындысының жартысына

Слайд 11Тригонометриялық функциялардың көбейтіндісін қосындыға және айырмаға

түрлендіру


cos(α+β) =cosα·cosβ-sinα·sinβ (3)
cos(α-β) =cosα·cosβ+sinα·sinβ (4)
(3),(4) формулаларына мүшелеп қосамыз

Тригонометриялық функциялардың көбейтіндісін      қосындыға және айырмаға түрлендіру cos(α+β) =cosα·cosβ-sinα·sinβ  (3) cos(α-β)

Слайд 12Тригонометриялық функциялардың көбейтіндісін қосындыға және айырмаға

түрлендіру

cos(α+β)+ cos(α-β) = 2cosα·cosβ

cosα·cosβ=1/2· [cos(α+β)+ cos(α-β)]

Тригонометриялық функциялардың көбейтіндісін      қосындыға және айырмаға түрлендіру   cos(α+β)+ cos(α-β) =

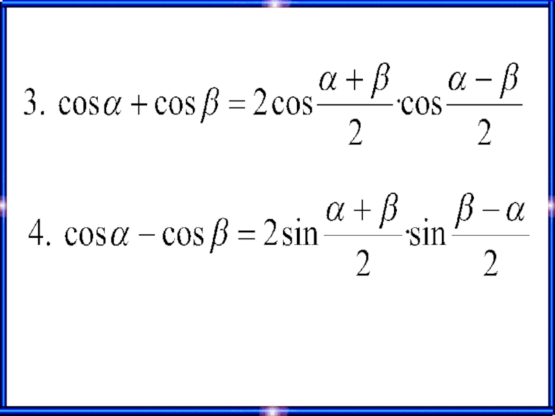
Слайд 13Аргументтері әр түрлі косинус функцияларының көбейтіндісі cosα·cosβ осы аргументтердің қосындысы мен

айырымының косинустарының қосындысының жартысына (1/2[cos(α+β)+ cos(α-β)]) тең.
Аргументтері әр түрлі косинус функцияларының көбейтіндісі cosα·cosβ осы аргументтердің қосындысы мен айырымының косинустарының қосындысының жартысына (1/2[cos(α+β)+ cos(α-β)])

Слайд 14cos(α+β) =cosα·cosβ-sinα·sinβ (3)
cos(α-β) =cosα·cosβ+sinα·sinβ (4)
(3),(4) формулаларына мүшелеп азайтамыз


Тригонометриялық функциялардың көбейтіндісін қосындыға және айырмаға түрлендіру

cos(α+β) =cosα·cosβ-sinα·sinβ  (3) cos(α-β) =cosα·cosβ+sinα·sinβ  (4)(3),(4) формулаларына мүшелеп азайтамыз Тригонометриялық функциялардың көбейтіндісін

Слайд 15

cos(α-β)+ cos(α+β)=2 sinα·sinβ





sinα·sinβ=1/2·[cos(α-β)+ cos(α+β)]
Тригонометриялық

функциялардың көбейтіндісін қосындыға және айырмаға түрлендіру
cos(α-β)+ cos(α+β)=2 sinα·sinβ sinα·sinβ=1/2·[cos(α-β)+ cos(α+β)]Тригонометриялық функциялардың көбейтіндісін      қосындыға

Слайд 16 Аргументтері әр түрлі синустардың көбейтіндісі (sinα·sinβ) осы аргументтердің айырымының косинусы

мен қосындысының косинусының айырымының жартысына
(1/2[cos(α-β)+ cos(α+β)]) тең.



Аргументтері әр түрлі синустардың көбейтіндісі (sinα·sinβ) осы аргументтердің айырымының косинусы мен қосындысының косинусының айырымының жартысына

Слайд 17

Есептер шығарайық

Есептер шығарайық

Слайд 18Сергіту сәті






Сергіту сәті

Слайд 19



1 жұмыртқа 3 минутта піссе, 4 жұмыртқа неше минутта піседі?


1 жұмыртқа 3 минутта піссе, 4 жұмыртқа неше минутта піседі?

Слайд 203 минутта

3 минутта

Слайд 21Бір қазақ қалаға бара жатыр еді. Жолда үш танысы қарсы шықты.

Қанша адам қалаға барды?
Бір қазақ қалаға бара жатыр еді. Жолда үш танысы қарсы шықты. Қанша адам қалаға барды?

Слайд 221 адам

1 адам

Слайд 23
Жылдың неше айында
28 күн бар?

Жылдың неше айында 28 күн бар?

Слайд 24Барлық айда

Барлық айда

Слайд 25Ағаш үстінде 30 торғай отыр еді, оның екеуін атып түсірді. Торғайлардың

қаншасы қалды?
Ағаш үстінде 30 торғай отыр еді, оның екеуін атып түсірді. Торғайлардың қаншасы қалды?

Слайд 26Екі торғай қалады.

Екі торғай қалады.

Слайд 27НАЗАР ҚОЙЫП ТЫҢДАҒАНДАРЫҢЫЗҒА
РАХМЕТ

НАЗАР ҚОЙЫП ТЫҢДАҒАНДАРЫҢЫЗҒА РАХМЕТ

Что такое shareslide.ru?

Это сайт презентаций, где можно хранить и обмениваться своими презентациями, докладами, проектами, шаблонами в формате PowerPoint с другими пользователями. Мы помогаем школьникам, студентам, учителям, преподавателям хранить и обмениваться учебными материалами.


Для правообладателей

Яндекс.Метрика

Обратная связь

Email: Нажмите что бы посмотреть