Презентация, доклад на тему Урок игра Жай бөлшектерді бөлу

Жай бөлшектерді бөлу

Слайд 11. Дұрыс бөлшек дегеніміз не?
2. Аралас сан дегеніміз не?
3. Қандай бөлшектер

аликвоттық бөлшектер деп аталады?

4. Ширек дегеніміз не?

5. Жарты дегенді қалай түсінесің?

6. Жай бөлшектер қалай көбейтіледі?

7. Бөлімдері бірдей бөлшектер қалай қосылады?

8. Натурал саннан бөлшек қалай азайтылады?

9. Бөлімдері бірдей жай бөлшектердің қайсысы үлкен?

10. Ең үлкен аликвоттық бөлшек неге тең?

1. Дұрыс бөлшек дегеніміз не? 2. Аралас сан дегеніміз не? 3. Қандай бөлшектер аликвоттық бөлшектер деп аталады?

Слайд 2Жай
бөлшектерді
бөлу

Жай бөлшектерді бөлу

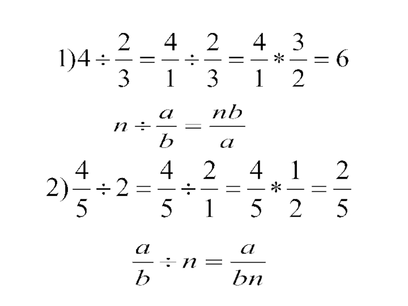
Слайд 3ЖАЙ БӨЛШЕКТІ ЖАЙ БӨЛШЕККЕ БӨЛУ ҮШІН, БӨЛІНГІШ БӨЛШЕКТІ БӨЛГІШ БӨЛШЕКТІҢ КЕРІ

САНЫНА КӨБЕЙТУ КЕРЕК.




ЖАЙ БӨЛШЕКТІ ЖАЙ БӨЛШЕККЕ БӨЛУ ҮШІН, БӨЛІНГІШ БӨЛШЕКТІ БӨЛГІШ БӨЛШЕКТІҢ КЕРІ САНЫНА КӨБЕЙТУ КЕРЕК.

Слайд 41-ші мысал.





2-ші мысал.





3-ші мысал.


1-ші мысал.2-ші мысал.3-ші мысал.

Слайд 54-ші мысал.





5-ші мысал.







4-ші мысал.5-ші мысал.

Слайд 6МЫСАЛ:

МЫСАЛ:

Слайд 71
2
3
4
5
6
7
8
9
№ 1108 Суретті құрастырыңдар

123456789№ 1108 Суретті құрастырыңдар

Слайд 9
1. Бөлімінен алымы үлкен немесе тең бөлшек?
2. Егер көбейткіштердің біреуі

нөлге тең болса, онда көбейтінді де ...?

3. Бүтін бөліктен және бөлшек бөліктен тұратын сан?

4. Теңдеудің сол жағы мен оң жағы тең болса қандай теңдік деп аталады?

Б Ұ Р Ы С

Н Ө Л

А Р А Л А С

Т У Р А

1. Бөлімінен алымы үлкен немесе тең бөлшек? 2. Егер көбейткіштердің біреуі нөлге тең болса, онда көбейтінді де

Слайд 10Есіңде сақта!


Санды 0-ге бөлуге болмайды

Есіңде сақта!Санды 0-ге бөлуге болмайды

Слайд 11Үй тапсырмасы:
№ 1110, №1111

Үй тапсырмасы: № 1110, №1111

Что такое shareslide.ru?

Это сайт презентаций, где можно хранить и обмениваться своими презентациями, докладами, проектами, шаблонами в формате PowerPoint с другими пользователями. Мы помогаем школьникам, студентам, учителям, преподавателям хранить и обмениваться учебными материалами.


Для правообладателей

Яндекс.Метрика

Обратная связь

Email: Нажмите что бы посмотреть