Презентация, доклад на тему Умножение матриц

Содержание

Математика является универсальным языком, который широко применяется во всех сферах человеческой деятельности. Во многих экономических и профессиональных дисциплинах необходимы знания о матрицах, операциях над ними, умения решать прикладные задачи с помощью матриц. Актуальность этой темы

Слайд 1Матрицы. Умножение матриц. Преподаватель ДППК Трохимюк О.В.

Матрицы.  Умножение матриц.  Преподаватель ДППК Трохимюк О.В.

Слайд 3
Математика является универсальным языком, который широко применяется во всех сферах человеческой

деятельности.
Во многих экономических и профессиональных дисциплинах необходимы знания о матрицах, операциях над ними, умения решать прикладные задачи с помощью матриц.
Актуальность этой темы усиливается в связи
с широким использованием матриц в экономических дисциплинах: финансы, экономика предприятий, статистика, логистика, экономико – математическое моделирование и др.
Математика является универсальным языком, который широко применяется во всех сферах человеческой деятельности.  Во многих экономических и

Слайд 4Историческая справка

Историческая справка

Слайд 5Ключевые понятия и термины:
матрица;
определитель матрицы;
квадратная матрица;
прямоугольная матрица;
виды матриц.

Ключевые понятия и термины:матрица;определитель матрицы;квадратная матрица;прямоугольная матрица;виды матриц.

Слайд 6Литература
1. Алгебра и начала математического анализа: учебник для общеобразоват. организаций:

базов. и углубл. уровни / Ш.А. Алимов, Ю.М. Колягин, М.В. Ткачева и др. – М.: Просвещение, 2016. – 463 с.
2. Высшая математика для экономистов: Учебное пособие. – К.: Знания, Макаренко В.А., 2008 – 517 с.
3. Математика: Учебник / О.М. Афанасьева, Я.С. Бродский и др. – К.: Высшая школа, 2001.
4.Дидактический материал по математике: Учебное пособие / О.М. Афанасьева, Я.С. Бродский и др. – К.: Высшая школа, 2001.
5. Практические занятия по математике. Н.В. Богомолов. – М.: Высшая школа, 1983.
Литература 1. Алгебра и начала математического анализа: учебник для общеобразоват. организаций: базов. и углубл. уровни / Ш.А.

Слайд 7
Вопросы к теме

Что такое матрицы и зачем они нужны? Какие

виды матриц существуют?
Как найти определитель матрицы?
Какие операции можно выполнять над матрицами?

Вопросы к темеЧто такое матрицы и зачем они нужны? Какие виды матриц существуют?Как найти определитель матрицы?Какие

Слайд 8Свойства сложения и умножения матриц.


Свойства сложения и умножения матриц.

Слайд 9

Произведением двух матриц АВ является матрица С, элемент

которой равен сумме произведений соответствующих элементов i - той строки матрицы А и j - того столбца матрицы В. (Чтобы получить i-тую строку произведения, необходимо умножить i-тую строку матрицы А на каждый столбец матрицы В)
Чтобы умножать матрицы, необходимо, чтобы количество столбцов матрицы А было равно количеству строк матрицы В.
Размер А: m×n; размер В: n×p, то размер АВ: m×p.



Произведением двух матриц АВ является матрица С, элемент которой  равен сумме произведений соответствующих элементов

Слайд 10Свойства произведений матриц


Свойства произведений матриц

Слайд 11Пример 1.



Пример 2.





Пример 1. Пример 2.

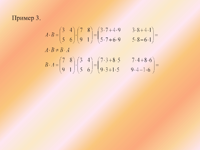
Слайд 12Пример 3.



Пример 3.

Слайд 13Пример 3.






Пример 3.

Слайд 14Пример 3.






Пример 3.

Слайд 15Пример 3.






Пример 3.

Слайд 16Решаем на доске и в тетрадях
Пример 4.


Решаем на доске и в тетрадяхПример 4.

Слайд 17Пример 4.





Пример 4.

Слайд 18Пример 4.





Пример 4.

Слайд 19Пример 4.





Пример 4.

Слайд 20
Переместительный закон умножения в общем случае не имеет смысла, т.е.

. Матрицы, для которых переместительный закон справедлив, называют переместительными.
Легко также проверить, что при умножении квадратной матрицы A на единичную матрицу E того же порядка вновь получим матрицу A, причём AE=EA=A.
Можно отметить следующий любопытный факт. Как известно произведение 2-х отличных от нуля чисел не равно 0. Для матриц это может не иметь места, т.е. произведение 2-х не нулевых матриц может оказаться равным нулевой матрице.
Например, если, , то




Переместительный закон умножения в общем случае не имеет смысла, т.е.  . Матрицы, для которых переместительный закон

Слайд 21Где ещё применяются матрицы? На занятии по математике?

Где ещё применяются матрицы? На занятии по математике?

Слайд 22Где ещё применяются матрицы?
Таблица умножения – это произведение матриц

(1 2 3 4 5 6 7 8 9) × (1 2 3 4 5 6 7 8 9) Т или произведение матриц (1 2 3 4 5 6 7 8 9) Т ×(1 2 3 4 5 6 7 8 9)?
Необходимо установить размерность каждой матрицы.


Где ещё применяются матрицы?Таблица умножения – это произведение матриц

Слайд 23Где ещё применяются матрицы?
Таблица умножения?


Где ещё применяются матрицы?Таблица умножения?

Слайд 24Где ещё применяются матрицы?
Таблица умножения –Необходимо установить размерность каждой матрицы. В

1 случае это (1х9) х (9х1)=(1х1). Во втором (9х1) х (1х9)=(9х9). Какой вывод вы сделаете? Произведение матрицы строки на матрицу столбец или матрицы столбца на матрицу строку?


Где ещё применяются матрицы?Таблица умножения –Необходимо установить размерность каждой матрицы. В 1 случае это (1х9) х (9х1)=(1х1).

Слайд 25Где ещё применяются матрицы?
Таблица умножения – это произведение матриц

(1 2 3 4 5 6 7 8 9) ×(1 2 3 4 5 6 7 8 9) Т или произведение матриц (1 2 3 4 5 6 7 8 9)Т ×(1 2 3 4 5 6 7 8 9)? Необходимо установить размерность каждой матрицы. В 1 случае это (1х9) х (9х1)=(1х1). Во втором (9х1) х (1х9)=(9х9). Какой вывод вы сделаете? Произведение матрицы строки на матрицу столбец или матрицы столбца на матрицу строку?


Где ещё применяются матрицы?Таблица умножения – это произведение матриц

Слайд 26Где ещё применяются матрицы?
Таблица умножения – это произведение матриц
(1 2

3 4 5 6 7 8 9) ×(1 2 3 4 5 6 7 8 9) Т. ???
В 1 случае это (1х9) х (9х1)=(1х1). Что получили? Сумма или произведение ? Какие числа?


Где ещё применяются матрицы?Таблица умножения – это произведение матриц (1 2 3 4 5 6 7 8

Слайд 27Где ещё применяются матрицы?
Таблица умножения – это произведение матриц
(1 2

3 4 5 6 7 8 9)Т ×(1 2 3 4 5 6 7 8 9) ? ? ?
Во втором (9х1) х (1х9)=(9х9). Какой вывод вы сделаете?



Где ещё применяются матрицы?Таблица умножения – это произведение матриц (1 2 3 4 5 6 7 8

Слайд 28
ВЫВОД ?????
Таблица умножения –
это произведение матриц …
(1х9) х (9х1)=(1х1)?


(9х1) х (1х9)=(9х9)?



ВЫВОД  ?????Таблица умножения – это произведение матриц …(1х9) х (9х1)=(1х1)? (9х1) х (1х9)=(9х9)?

Что такое shareslide.ru?

Это сайт презентаций, где можно хранить и обмениваться своими презентациями, докладами, проектами, шаблонами в формате PowerPoint с другими пользователями. Мы помогаем школьникам, студентам, учителям, преподавателям хранить и обмениваться учебными материалами.


Для правообладателей

Яндекс.Метрика

Обратная связь

Email: Нажмите что бы посмотреть