Презентация, доклад на тему Решение уравнений 6 класс

Содержание

Вычислите устно -34 + 20 40 – (-21) 31-38 -25-4 -63- (-20)

Слайд 1Решение уравнений

Решение уравнений

Слайд 2Вычислите устно
-34 + 20
40 – (-21)
31-38
-25-4
-63-

(-20)
Вычислите устно -34 + 20 40 – (-21) 31-38 -25-4 -63- (-20)

Слайд 3Назовите противоположные числа
-6

-14,5р
-(-23мк)

Назовите противоположные числа -6 2а -14,5р -(-23мк)

Слайд 4Что такое уравнение?
Что значит решить уравнение?
Что такое корень уравнения?

Что такое уравнение?Что значит решить уравнение?Что такое корень уравнения?

Слайд 5Сказка о числах

Сказка о числах

Слайд 66


4
6


4

62х3х462х3х4

Слайд 76


4

62х3х4

Слайд 8Правило наизусть – с.230
Если какое-нибудь слагаемое перенести из одной части уравнения

в другую, то необходимо поменять знак этого слагаемого на противоположный.
Правило наизусть – с.230Если какое-нибудь слагаемое перенести из одной части уравнения в другую, то необходимо поменять знак

Слайд 9На берегу собрались тридцатилетние и пятидесятилетние черепахи. Всего 15. Число тридцатилетних

черепах составляет половину числа пятидесятилетних. Сколько каких черепах?
На берегу собрались тридцатилетние и пятидесятилетние черепахи. Всего 15. Число тридцатилетних черепах составляет половину числа пятидесятилетних. Сколько

Слайд 10Приведите подобные
2a + 12a =
16b – 18b =
24x + 24у =
100к

- 300к =
-700р + 200р =
- х – х =
Приведите подобные2a + 12a =16b – 18b =24x + 24у =100к - 300к =-700р + 200р =-

Слайд 11Раскройте скобки
- (2а + 3х)
+(6 – 3х)
-(-7 – 4к)
+(-3 – 24в)

Раскройте скобки- (2а + 3х)+(6 – 3х)-(-7 – 4к)+(-3 – 24в)

Слайд 12Решите уравнения
7х = -30 + 2х
16 – 18х = -25х –

12
-17х + 20 = 7х – 28
20 – 2х = 27 + х

3х = 28 - х
5х + 12= 8х + 30
33 + 8х = -5х + 72
6х – 19 = -х -10

Решите уравнения7х = -30 + 2х16 – 18х = -25х – 12-17х + 20 = 7х –

Слайд 13Хлопаем если в ответе отрицательное
– 20 + 60 =

13 – 24 =
70 – 140 =
45 – (– 20 ) =

Хлопаем если в ответе отрицательное – 20 + 60 = – 13 – 24 = 70 –

Слайд 14Хлопаем если в ответе отрицательное
– 20 * 60 =

13 * (– 24 )=
70 : ( – 140) =
– 45 : 20 =

Хлопаем если в ответе отрицательное – 20 * 60 = – 13 * (– 24 )= 70

Слайд 15Уравнение Говорим как найти х и ответ
- 8х = - 24

6х = - 12
5х = 10
- 3х = 21

Уравнение Говорим как найти х и ответ - 8х = - 24 6х = - 12 5х

Слайд 16Решите уравнение (ответы если возможно десятичные дроби)
2 ∙ (х –

5) = 9 – 17х
1 – 5 ∙ (2 – 3х) = 6 + 5х
- 17х + 20 = 7х – 28
- (х + 8) = 4 + 4х

5 – 2х = 1
3х – 1 = 2х
32 = 12х - 4х
15 – 3х = 0

Решите уравнение (ответы если возможно десятичные дроби) 2 ∙ (х – 5) = 9 – 17х 1

Слайд 17РЕШИЕТ УРАВНЕНИЕ И ЗАДАЧУ
2 ∙ (х – 6) = -7 ∙

(3 – 2х)
Электрический чайник стоит 3600 рублей. После нового года она подорожал на 13,5 процентов. Найдите новую цену чайнику.
РЕШИЕТ УРАВНЕНИЕ И ЗАДАЧУ2 ∙ (х – 6) = -7 ∙ (3 – 2х)Электрический чайник стоит 3600

Слайд 18Решите уравнение

Решите уравнение

Слайд 20Представьте в виде неправильной дроби

Представьте в виде неправильной дроби

Слайд 21Найдите НОК
4 и 6
6 и 7
4, 6 и 7
2 и

17
Найдите НОК 4 и 66 и 74, 6 и 72 и 17

Слайд 22Раскройте скобки (подобные слагаемые – если есть)
-3 ∙ (2а +

3b) =
4 ∙ (5a – 7h) =
-8 ∙ (-c + 9 d) =
12 ∙ (-2x – 4) =

2 – (6 + x) =
7 – ( - y + 4) =
4 – 2 ∙ (12 + х) =
7 + 3 ∙ (-4х + 1) =

Раскройте скобки (подобные слагаемые – если есть) -3 ∙ (2а + 3b) = 4 ∙ (5a –

Слайд 23Решите уравнение
3 ∙ ( х – 3) = 7 + 6х

2,5 ∙ (2х + 3) = 22

5 ∙ (х + 7) = 3 ∙ (2х-3)
0,2 ∙ (х – 2) = 0,7 ∙ (х + 3)

Решите уравнение3 ∙ ( х – 3) = 7 + 6х 2,5 ∙ (2х + 3) =

Слайд 24Задача
Мама купила конфеты. К Пете пришли сначала в гости 3 друга,

и мама разделила конфеты поровну. Однако Петя знал, что спустя час к нему придет еще 2 друга. Тогда мама разделили конфеты на 5. Сколько конфет было у мамы?
ЗадачаМама купила конфеты. К Пете пришли сначала в гости 3 друга, и мама разделила конфеты поровну. Однако

Слайд 25Приведите подобные
2х + 4 – 16х
18у + 7 –

24у
-14 + 6 – 20к
-15р – 60 – 20р

Приведите подобные 2х + 4 – 16х 18у + 7 – 24у -14 + 6 – 20к

Слайд 26Расположите в порядке возрастания

Расположите в порядке возрастания

Слайд 27Задача
Галя и Света собирали грибы. Известно, что Галя собрала грибов в

3 раза больше, чем Света.
Тогда Галя решила поделиться со Светой и отдала 12 грибов подруге, после чего у девочек стало равное количество грибов.
Сколько собрала каждая девочка?
ЗадачаГаля и Света собирали грибы. Известно, что Галя собрала грибов в 3 раза больше, чем Света.Тогда Галя

Слайд 29Приведите подобные слагаемые
2х + 3х =
2х – 3х =

– 2х + 3х =
– 2х – 3х =

Приведите подобные слагаемые 2х + 3х = 2х – 3х = – 2х + 3х = –

Слайд 30Решите уравнение
(х + 4) ∙ (х – 9) = 0

7х = 0
х + 3 = 0
х – 7 = 0

Решите уравнение (х + 4) ∙ (х – 9) = 0 7х = 0 х + 3

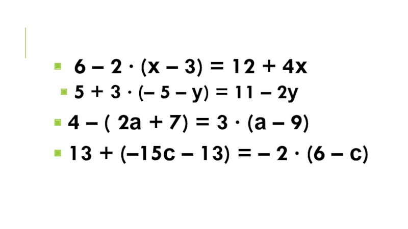
Слайд 31 6 – 2 ∙ (х – 3) = 12 +


5 + 3 ∙ (– 5 – у) = 11 – 2у
4 – ( 2а + 7) = 3 ∙ (а – 9)
13 + (–15с – 13) = – 2 ∙ (6 – с)

6 – 2 ∙ (х – 3) = 12 + 4х 5 + 3 ∙ (–

Слайд 32Одно число больше другого в 4 раза. Если от большего числа

отнять 57, а к меньшему прибавить 81, то получатся равные результаты. Найдите два числа.
Одно число больше другого в 4 раза. Если от большего числа отнять 57, а к меньшему прибавить

Что такое shareslide.ru?

Это сайт презентаций, где можно хранить и обмениваться своими презентациями, докладами, проектами, шаблонами в формате PowerPoint с другими пользователями. Мы помогаем школьникам, студентам, учителям, преподавателям хранить и обмениваться учебными материалами.


Для правообладателей

Яндекс.Метрика

Обратная связь

Email: Нажмите что бы посмотреть