Презентация, доклад на тему Применение ИКТ на уроках математики (из опыта работы)

Содержание

Вопросы, интересующие каждого учителя:Как обычный урок сделать необычным? Как неинтересный материал представить интересным?Как с современными учениками говорить на современном языке?

Слайд 1муниципальное бюджетное общеобразовательное учреждение Савоськинская средняя общеобразовательная школа №5
Применение ИКТ
на уроках

математики
(из опыта работы)




Учитель математики
Никоненко Л. Г.

2016


муниципальное бюджетное общеобразовательное учреждение Савоськинская средняя общеобразовательная школа №5 Применение ИКТ на уроках математики(из опыта работы)

Слайд 2Вопросы, интересующие каждого учителя:
Как обычный урок сделать
необычным?

Как неинтересный материал

представить интересным?

Как с современными учениками говорить на современном языке?


Вопросы, интересующие каждого учителя:Как обычный урок сделать необычным? Как неинтересный материал представить интересным?Как с современными учениками говорить

Слайд 3Ответ на поставленные вопросы очевиден:
Помогут ИКТ технологии!

Ответ на поставленные вопросы очевиден:Помогут ИКТ технологии!

Слайд 4Использование ИКТ технологий в преподавании математики позволяет непрерывно менять формы работы

на уроке, постоянно чередовать устные и письменные упражнения, осуществлять разные подходы к решению математических задач, а это постоянно создаёт и поддерживает интеллектуальное напряжение обучающихся, формирует у них устойчивый интерес к изучению математики.

Использование ИКТ технологий в преподавании математики позволяет непрерывно менять формы работы на уроке, постоянно чередовать устные и

Слайд 5На уроках я использую
- самостоятельно разработанные обучающие презентации к урокам;
-

готовые обучающие презентации;
- программы – тренажёры;
- программные системы контроля знаний;
- дидактические материалы; 
- обучающие игры;
- развивающие программы.


На уроках я использую - самостоятельно разработанные обучающие презентации к урокам;- готовые обучающие презентации;- программы – тренажёры;-

Слайд 6Я использую ИКТ (презентации, презентации – тренажёры, обучающие и развивающие игры

и др.) на следующих этапах урока

в начале урока для обозначения темы, целей
и задач урока;
- при подготовке к восприятию новой темы;
при объяснении новой темы (презентации, формулы, схемы, рисунки и т.д.);
при первичном усвоении нового материала;
- для организации контроля знаний обучающихся.

Я использую ИКТ (презентации, презентации – тренажёры, обучающие и развивающие игры и др.) на следующих этапах урока

Слайд 7 Факторы, которые нужно учитывать при использовании ИКТ на уроке:
1. методическая цель

урока и тип урока;
2. численность учащихся класса;
3. численность компьютеров; 4. гигиенические требования
к работе за компьютером; 5. уровень подготовленности класса; 6. готовность учащихся к новому виду
учебной деятельности.
Факторы, которые нужно учитывать при использовании ИКТ на уроке: 1. методическая цель урока и тип урока;2.

Слайд 8На уроках при изучении различных тем обучающиеся с интересом играют в

игру «Светофор». У каждого из них кружочки трёх цветов (красного, жёлтого и зелёного). С помощью кружочков обучающиеся выбирают правильный ответ.
На уроках при изучении различных тем обучающиеся с интересом играют в игру «Светофор». У каждого из них

Слайд 9Выбрать правильный ответ:

1) -45+30

2) -15-13
а) -75 б) -15 в) 15 а) -28 б) -2 в) 28
3) 14-22 4) -8х+7х
а) 8 б) -36 в) -8 а) -15х б) -х в) х
5) -14в-11в 6) 14у-15у
а) 3в б) -25в в) -3в а) у б)-29у в) -у
7) -3(х-у) 8) 5х-8у+10у-3х
а) -3х+3у б) -3х-3у а) 2х-18у б) 2х+2у
в)-3х-у в)2х+18у
Выбрать правильный ответ:1) -45+30

Слайд 10С обучающимися ищем ошибки в заданиях, исправляем их. Такие задания нравятся

ребятам. Выполняем задания на восстановление различных действий, уравнений. Выполняются задания, а потом проверяются с помощью слайдов.
С обучающимися ищем ошибки в заданиях, исправляем их. Такие задания нравятся ребятам. Выполняем задания на восстановление различных

Слайд 11Верно ли решил уравнение Незнайка?
8х – 10 = 4х + 18

+ 4х = 18 – 10
12х = 8
х = 8 : 12
х =

8х – 10 = 4х + 18
8х – 4х = 18 + 10
4х = 28
х = 28 : 4
х = 7

8∙7 – 10 = 4∙7 + 18
56 – 10 = 28 + 18
46 = 46
Ответ: х = 7.

Проверка.

Верно ли решил уравнение Незнайка?8х – 10 = 4х + 188х + 4х = 18 – 1012х

Слайд 12Реставрационная мастерская

- 0,8y - 1,4 = – 1,2y – 2,6
-0,8y

1,2y = 2,6 1,4
0,4 y = 1,2
y = 1,2 0,4
у =
Ответ: у =
Реставрационная мастерская- 0,8y - 1,4 = – 1,2y – 2,6-0,8y   1,2y =  2,6

Слайд 13Реставрационная мастерская
- 0,8y - 1,4 = – 1,2y – 2,6
- 0,8y

+ 1,2y = – 2,6 +1,4
0,4 y = – 1,2
y = – 1,2 : 0,4
y = – 3
Ответ: у = – 3

Реставрационная мастерская- 0,8y - 1,4 = – 1,2y – 2,6- 0,8y + 1,2y = – 2,6 +1,4

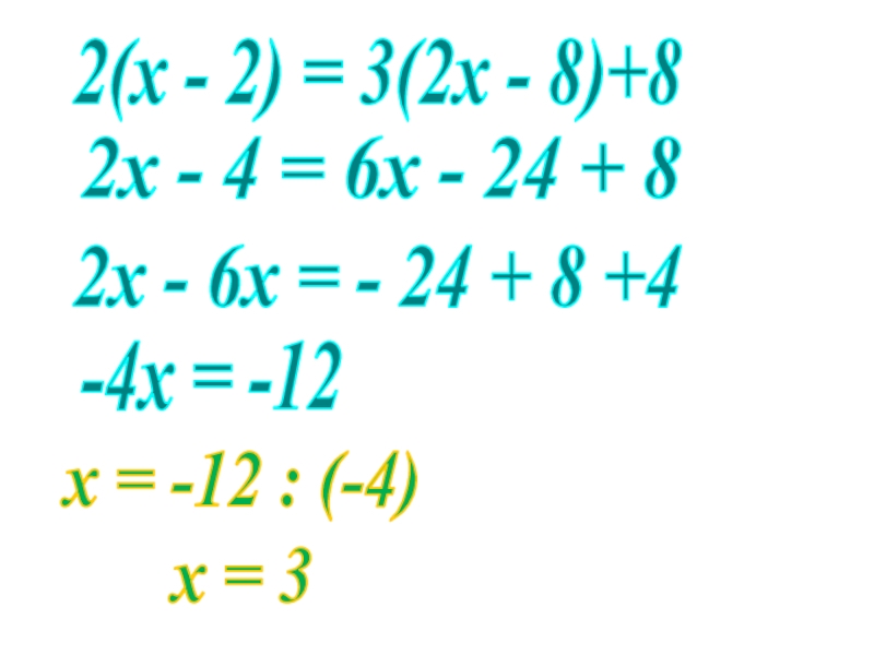
Слайд 142(х - 2) = 3(2х - 8)+8
2х - 4 = 6х

- 24 + 8

2х - 6х = - 24 + 8 +4

-4х = -12

х = -12 : (-4)
х = 3

2(х - 2) = 3(2х - 8)+82х - 4 = 6х - 24 + 82х - 6х

Слайд 15а)
Умножим обе части уравнения на 9.
Какой наименьший общий знаменатель у дробей

?

(9)

№1317

Чтобы избавиться от дробных чисел обе части уравнения
умножим на одно и то же число.

а)Умножим обе части уравнения на 9.Какой наименьший общий знаменатель у дробей      ?

Слайд 16При объяснении нового материала использую различные презентации.
Очень хорошие презентации у

Савченко Елены Михайловны, учителя высшей категории гимназии №1, г. Полярные Зори, Мурманской области. Была руководителем «Сети творческих учителей математики»
При объяснении нового материала использую различные презентации. Очень хорошие презентации у Савченко Елены Михайловны, учителя высшей категории

Слайд 17


Материалы, представленные на её сайте, – это авторские разработки. В разделе

"Файлы" презентации по математике, компьютерные тесты, презентации для классных часов. Тесты online по математике составлены для выпускников и помогут обучающимся при подготовке к ЕГЭ и ОГЭ. «Занимательные задачи для школьников», «Математическая шкатулка», «Творчество обучающихся»- это разделы не только для любителей математики, но и для тех, кто "не дружит" с математикой. Для учителей математики на сайте много полезной информации. Вы можете самостоятельно научиться создавать презентации в разделе «Мастерская», познакомиться с опытом работы в разделе «Мастер-класс», виртуально познакомиться с автором сайта.
Материалы, представленные на её сайте, – это авторские разработки. В разделе

Слайд 18D
С
Построение треугольника по двум сторонам и углу между ними.
Угол hk
h
Построим

луч а.
Отложим отрезок АВ, равный P1Q1.
Построим угол, равный данному.
Отложим отрезок АС, равный P2Q2.

В

А

Треугольник АВС искомый. Обоснуй, используя I признак.

Дано:

Отрезки Р1Q1 и Р2Q2

Q1

P1

P2

Q2

а

k

DСПостроение треугольника по двум сторонам и углу между ними. Угол hkhПостроим луч а.Отложим отрезок АВ, равный P1Q1.Построим

Слайд 19 В11. Два велосипедиста одновременно отправились в 88-километровый пробег. Первый

ехал со скоростью, на 3 км/ч большей, чем скорость второго, и прибыл к финишу на 3 часа раньше второго. Найти скорость велосипедиста, пришедшего к финишу вторым. Ответ дайте в км/ч.

х

88

88

Это условие поможет ввести х …

Реши уравнение самостоятельно

88 км

<

+ 3

=

В11. Два велосипедиста одновременно отправились в 88-километровый пробег. Первый ехал со скоростью, на 3 км/ч

Слайд 20На уроках применяю тесты.

На уроках применяю тесты.

Слайд 21 Вариант 1.
4,31 – x = 5,18
x + 3,4

= 2,6

x – 2,7 = -5,3

5x + 3 = 3x - 5

4x + 5 = 6x - 7

14 + 5x = 4x + 3x

3,6 + 2x = 5x + 1,2

0,4x + 0,3x – 0,84x = 1,12

4(1 – 0,5x) = -2(3 + 2x)

5(x + 1,2) = 12,5

Вариант 1.  4,31 – x = 5,18x + 3,4 = 2,6x – 2,7 = -5,35x

Слайд 22Применение ИКТ технологии на уроке

позволяет

- осуществлять индивидуальный и дифференцированный подход в обучении каждого обучающегося;
- повышать эффективность образовательного процесса за счёт высокой степени включённости в урок обучающихся класса;
- повышать мотивацию учащихся к учению;
- развивать образное мышление детей;
- активизировать учебно-познавательную
деятельность обучающихся.
Применение ИКТ в образовательном процессе
позволяет решить одну из важных задач
обучения – повышение уровня знаний.


Применение ИКТ технологии на уроке

Что такое shareslide.ru?

Это сайт презентаций, где можно хранить и обмениваться своими презентациями, докладами, проектами, шаблонами в формате PowerPoint с другими пользователями. Мы помогаем школьникам, студентам, учителям, преподавателям хранить и обмениваться учебными материалами.


Для правообладателей

Яндекс.Метрика

Обратная связь

Email: Нажмите что бы посмотреть