Презентация, доклад на тему Презинтация по математику на тему Двойной интеграл (студентов ВУЗа)

Содержание

Двойной интегралДИ в декартовых координатахЗамена переменных в ДИДИ в полярных координатахОтработка отдельных блоков схемы вычисления ДИЗадания по теме 1/13

Слайд 1 Вычисление двойного интеграла
КОШНАЗАРОВ РАСУЛ АТАБЕКОВИЧ

Вычисление двойного интегралаКОШНАЗАРОВ РАСУЛ АТАБЕКОВИЧ

Слайд 2Двойной интеграл
ДИ в декартовых координатах
Замена переменных в ДИ
ДИ в полярных координатах
Отработка

отдельных блоков схемы вычисления ДИ
Задания по теме

1/13

Двойной интегралДИ в декартовых координатахЗамена переменных в ДИДИ в полярных координатахОтработка отдельных блоков схемы  вычисления ДИЗадания

Слайд 3ДИ в декартовых координатах
Рассмотрим область σ⊆R2 и проведем вертикальные прямые х=с

(с=const) так, чтобы они пересекали область σ. Область σ⊆R2 называется вертикально-правильной, если каждая вертикальная прямая х=с (с=const) пересекает границу области σ не более, чем в двух точках Р1(х,у1) и Р2(х,у2).
 Вертикально-правильную область σ можно задать системой неравенств
σ: (1)

где [a,b] — проекция области σ на ось ОХ. Двойной интеграл по вертикально-правильной области σ, заданной системой неравенств (1), вычисляется с помощью повторного интеграла:


ДИ в декартовых координатахРассмотрим область σ⊆R2 и проведем вертикальные прямые х=с (с=const) так, чтобы они пересекали область

Слайд 4ДИ в декартовых координатах
Область σ⊆R2 называется горизонтально-правильной, если каждая горизонтальная прямая

у=с (с=const) пересекает границу области σ не более, чем в двух точках Р1(х1,у) и Р2(х2,у).
[c; d] - проекция σ на ОУ.
Область σ можно задать системой неравенств
σ: (2)

Двойной интеграл по горизонтально-правильной области σ, заданной системой неравенств (2), вычисляется с помощью повторного интеграла

 


ДИ в декартовых координатахОбласть σ⊆R2 называется горизонтально-правильной, если каждая горизонтальная прямая у=с (с=const) пересекает границу области σ

Слайд 5Замена переменных в двойном интеграле
Заменим переменные x и y :
Если функции

x и y имеют в некоторой области D* плоскости 0uv непрерывные частные производные и не равный нулю определитель:

а функция f(x, y) непрерывна в области D, то справедлива формула замены переменной в двойном интеграле:

определитель Якоби (якобиан)

Пусть в замкнутой области D плоскости XOY задана непрерывная функция z = f(x, y).


2/13

Замена переменных в двойном интегралеЗаменим переменные x и y :Если функции x и y имеют в некоторой

Слайд 6

Замена переменных в двойном интеграле
Вычислить двойной интеграл
если область D ограничена

линиями:
xy = 1; xy = 2; y = x; y = 3x.


D

Сделаем замену переменных:

3/13

Замена переменных в двойном интегралеВычислить двойной интеграл если область D ограничена линиями: xy = 1; xy =

Слайд 7
Найдем уравнения линий, ограничивающих область D*


Замена переменных в двойном интеграле
4/13

Найдем уравнения линий, ограничивающих область D*Замена переменных в двойном интеграле4/13

Слайд 8
Выразим переменные x и y через u и v.
Найдем частные

производные от получившихся функций:

Замена переменных в двойном интеграле



5/13

Выразим переменные x и y через u и v. Найдем частные производные от получившихся функций:Замена переменных в

Слайд 9


Найдем якобиан преобразования:


Замена переменных в двойном интеграле
6/13

Найдем якобиан преобразования: Замена переменных в двойном интеграле6/13

Слайд 10

D*
Построим область D*.
Расставим пределы интегрирования, пользуясь формулой (1):
Вычислим двукратный интеграл:
Замена переменных

в двойном интеграле


7/13

D*Построим область D*.Расставим пределы интегрирования, пользуясь формулой (1):Вычислим двукратный интеграл:Замена переменных в двойном интеграле7/13

Слайд 11Двойной интеграл в полярных координатах
Рассмотрим частный случай замены переменных: замену декартовых

координат x и y полярными координатами r и φ.

В качестве u и v возьмем полярные координаты r и φ. Они связаны с декартовыми координатами формулами:

Правые части в этих равенствах – непрерывно дифференцируемые функции.

Якобиан преобразования равен:



8/13

Двойной интеграл в полярных координатахРассмотрим частный случай замены переменных: замену декартовых координат x и y полярными координатами

Слайд 12
Формула замены переменных принимает вид:

Двойной интеграл в полярных координатах
Область в

полярной системе координат, соответствующая области D в декартовой системе координат


Пусть область D* задана линиями в полярной системе координат:

Лучами

D*

Кривыми

Такая область называется правильной областью в полярной системе координат:

луч, выходящий из полюса, пересекает границу области не более, чем в двух точках.

9/13

Формула замены переменных принимает вид: Двойной интеграл в полярных координатахОбласть в полярной системе координат, соответствующая области D

Слайд 13
Расставим пределы интегрирования:
Внутренний интеграл здесь берется при постоянном φ.
Двойной

интеграл в полярных координатах


D*


10/13

Расставим пределы интегрирования: Внутренний интеграл здесь берется при постоянном φ. Двойной интеграл в полярных координатахD*10/13

Слайд 14Замечания
1
2
Переход к полярным координатам целесообразен, когда подынтегральная функция имеет вид f(x2+y2)

; область D есть круг, кольцо или части таковых.

На практике переход к полярным координатам осуществляется путем замены

Двойной интеграл в полярных координатах

Уравнения линий, ограничивающих область D, также преобразуются к полярным координатам.

Преобразование области D в область D* не выполняют, а совмещают декартовы и полярную системы координат, находят нужные пределы интегрирования по r и φ.

3

11/13

Замечания12Переход к полярным координатам целесообразен, когда подынтегральная функция имеет вид f(x2+y2) ; область D есть круг, кольцо

Слайд 15

Вычислить
Перейдем к полярным координатам:
Двойной интеграл в полярных координатах
Изобразим область D

в декартовой системе координат.


3

D

12/13

Вычислить Перейдем к полярным координатам:Двойной интеграл в полярных координатахИзобразим область D в декартовой системе координат.3D12/13

Слайд 16


3
D
В полярной системе координат эта область будет определяться неравенствами:
r =

3

Двойной интеграл в полярных координатах

3

0

0



13/13

3DВ полярной системе координат эта область будет определяться неравенствами: r = 3Двойной интеграл в полярных координатах3002π13/13

Слайд 17Отработка отдельных блоков схемы вычисления ДИ
Пример № 1. Вычислить повторный интеграл



Решение
Вычислим внутренний интеграл, рассматривая в нем переменную х как параметр (т.е. const):



2. Вычислим внешний интеграл





Отработка отдельных блоков схемы  вычисления ДИПример № 1. Вычислить повторный интеграл

Слайд 18Пример № 2.
Вычислить повторный интеграл

Решение
1. Вычислим внутренний интеграл, рассматривая в

нем переменную у как параметр (т.е. const):



2. Вычислим внешний интеграл

Вычисление можно записывать короче:


Пример № 2.Вычислить повторный интеграл Решение1. Вычислим внутренний интеграл, рассматривая в нем переменную у как параметр (т.е.

Слайд 19Задания по теме
1. Вычислить двукратные (повторные) интегралы:




Ответы: 26; -11,2;

; .

2. Изменить порядок интегрирования в следующих интегралах:

Задания по теме1. Вычислить двукратные (повторные) интегралы:Ответы: 26; -11,2;     ;

Слайд 20


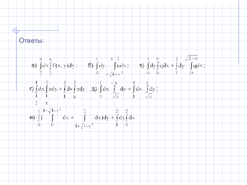
Ответы:

Ответы:

Слайд 21
3. Вычислить двойной интеграл

, где область D - треугольник, ограниченный прямыми х=0; у=0; х+у=3.
Ответ: 9.
4. Вычислить двойной интеграл , если область D задана неравенствами ; у≥х; 0≤х≤2.
Ответ: .

5. Вычислить двойные интегралы по областям, ограниченным указанными линиями
a) ; y=0; y= ; б) ; y=0; y=x; x+y=π/2;

в) ; x=y2; y=x2.
 
Ответы: a5 ; 1/2; -1/504.






3. Вычислить двойной интеграл         , где область D -

Что такое shareslide.ru?

Это сайт презентаций, где можно хранить и обмениваться своими презентациями, докладами, проектами, шаблонами в формате PowerPoint с другими пользователями. Мы помогаем школьникам, студентам, учителям, преподавателям хранить и обмениваться учебными материалами.


Для правообладателей

Яндекс.Метрика

Обратная связь

Email: Нажмите что бы посмотреть