Презентация, доклад на тему Презентація Множення многочленів або Славетні імена

Содержание

ВисновокЗа правилом (алгоритмом) множення двох многочленів у многочлен стандартного вигляду можна перетворювати:1) добуток двох (і більше) многочленів;2) 2-й (і вище) степінь многочлена, перетворивши спочатку степінь у добуток;3) якщо у виразі є інші дії

Слайд 1

Підготувала: учитель математики Дідилівського НВК
Гриньків О.І.

Підготувала: учитель математики Дідилівського НВК Гриньків О.І.

Слайд 3Висновок
За правилом (алгоритмом) множення двох многочленів у многочлен стандартного вигляду можна

перетворювати:
1) добуток двох (і більше) многочленів;
2) 2-й (і вище) степінь многочлена, перетворивши спочатку степінь у добуток;
3) якщо у виразі є інші дії над многочленами, окрім множення двох (і більше) многочленів (або їх степенів), то дії з перетворення такого виразу у многочлен стандартного вигляду виконуються за відомими з початкових класів правилами виконання дій.
ВисновокЗа правилом (алгоритмом) множення двох многочленів у многочлен стандартного вигляду можна перетворювати:1)   добуток двох (і

Слайд 4МОЯ УКРАЇНА – НЕЗАЛЕЖНА І ВІЛЬНА, Я З НЕЮ ПОВ’ЯЗУЮ ДОЛЮ

СВОЮ

Славетні імена

МОЯ УКРАЇНА – НЕЗАЛЕЖНА І ВІЛЬНА,  Я З НЕЮ ПОВ’ЯЗУЮ ДОЛЮ СВОЮСлаветні імена

Слайд 5 №1. Замініть степінь на добуток, а потім цей добуток перетворіть у

многочлен стандартного вигляду:

1)

= (х+10)(х+10)=х2+20х+100;


2)


= (1-у)(1-у)=1-2у+у2.

№1. Замініть степінь на добуток, а потім цей добуток перетворіть у многочлен стандартного вигляду: 1)

Слайд 6ПЕРША ПРАВИТЕЛЬКА-ХРИСТИЯНКА ВЕЛИКА КНЯГИНЯ КИЇВСЬКА ОЛЬГА (БЛ. 890-964)

ПЕРША ПРАВИТЕЛЬКА-ХРИСТИЯНКА ВЕЛИКА КНЯГИНЯ КИЇВСЬКА ОЛЬГА (БЛ. 890-964)

Слайд 7ЯРОСЛАВ МУДРИЙ Великий князь київський Ярослав Володимирович (978-1054)

ЯРОСЛАВ МУДРИЙ Великий князь київський Ярослав Володимирович (978-1054)

Слайд 8 №2. Виконайте множення:

1) (a3+a2b+b2a+b3)(a-b)=
=a4-a3b+a3b-a2b2+b2a2-b3a+b3a-
- b4=a4-b4;
2) (a4+a3b+a2b2+ab3+b4)(a-b)=
=a5-a4b+a4b-a3b2+a3b2-a2b3+a2b3-
- ab4+b4a-b5=a5 – b5.

№2. Виконайте множення:  1) (a3+a2b+b2a+b3)(a-b)==a4-a3b+a3b-a2b2+b2a2-b3a+b3a-- b4=a4-b4;2) (a4+a3b+a2b2+ab3+b4)(a-b)==a5-a4b+a4b-a3b2+a3b2-a2b3+a2b3-- ab4+b4a-b5=a5 – b5.

Слайд 9ПЕРШИЙ УКРАЇНСЬКИЙ ГЕТЬМАН ДМИТРО ВИШНЕВЕЦЬКИЙ (? — ПІСЛЯ 1563)

ПЕРШИЙ УКРАЇНСЬКИЙ ГЕТЬМАН  ДМИТРО ВИШНЕВЕЦЬКИЙ (? — ПІСЛЯ 1563)

Слайд 10Богдан Хмельницький — український державний і політичний діяч, військовий писар, гетьман

Війська Запорозького. Організатор повстання проти панування шляхти в Україні, яке переросло у Національно-визвольну війну українського народу проти Речі Посполитої. Засновник козацької держави на теренах Центральної України — Війська Запорозького

Іван Мазепа — український державний і політичний діяч, гетьман Лівобережної України, гетьман Війська Запорозького обох берегів Дніпра, князь Священної Римської Імперії

Богдан Хмельницький — український державний і політичний діяч, військовий писар, гетьман Війська Запорозького. Організатор повстання проти панування

Слайд 11АВТОР ПЕРШОЇ УКРАЇНСЬКОЇ КОНСТИТУЦІЇ ГЕТЬМАН ПИЛИП ОРЛИК (1672-1742)

АВТОР ПЕРШОЇ УКРАЇНСЬКОЇ КОНСТИТУЦІЇ  ГЕТЬМАН ПИЛИП ОРЛИК (1672-1742)

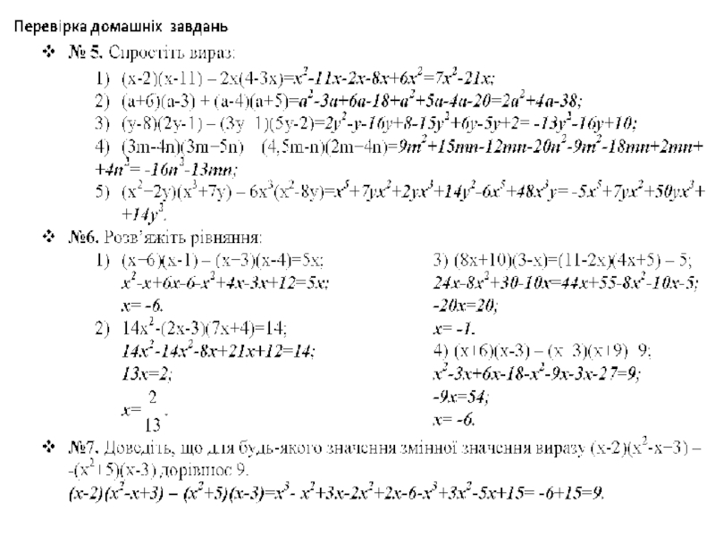
Слайд 12№3. Спростіть вираз:
=х2-5х+2х-10-3х+6х2=7х2-6х-10;
=а3+2а2+а2+2а-3а2-6а+6а+12+2а-
- 12=а3+4а.

№3. Спростіть вираз: =х2-5х+2х-10-3х+6х2=7х2-6х-10;=а3+2а2+а2+2а-3а2-6а+6а+12+2а-- 12=а3+4а.

Слайд 13Микола Васильович Гоголь — письменник, драматург, поет, історик, фольклорист Російської імперії

українського походження.

Тарас Григорович Шевченко (відомий також як Кобзар) — український поет, письменник, художник, графік, громадський діяч, філософ, політик, фольклорист

Микола Васильович Гоголь — письменник, драматург, поет, історик, фольклорист Російської імперії українського походження.Тарас Григорович Шевченко (відомий також

Слайд 14Іван Якович Франко — український письменник, поет, вчений, публіцист, перекладач, громадський

і політичний діяч

Леся Українка (Лариса Петрівна Косач-Квітка) — українська письменниця, перекладач, культурний діяч

Іван Якович Франко — український письменник, поет, вчений, публіцист, перекладач, громадський і політичний діячЛеся Українка (Лариса Петрівна

Слайд 15Григорій Савич Сковорода — український просвітитель-гуманіст, філософ, поет, педагог
Михайло Петрович Драгоманов

— український публіцист, історик, філософ, економіст, літературознавець, фольклорист, громадський діяч
Григорій Савич Сковорода — український просвітитель-гуманіст, філософ, поет, педагогМихайло Петрович Драгоманов — український публіцист, історик, філософ, економіст,

Слайд 16№4. Розв’яжіть рівняння:
 
х2-2х+3х-6-х2+х-4х+4=3х;
-5х= 2;
х= -0,4.

№4. Розв’яжіть рівняння:  х2-2х+3х-6-х2+х-4х+4=3х;-5х= 2; х= -0,4.

Слайд 17Вернадський Володимир Іванович — український філософ, природознавець, засновник геохімії, біогеохімії та

радіогеології, космізму. Академік Петербурзької АН, професор Московського університету. Один із засновників Української Академії наук; став дійсним членом АН України та її першим президентом. Засновник першої наукової бібліотеки в Україні (нині названої його ім'ям)

Михайло Сергійович Грушевський — професор історії, організатор української науки, політичний діяч і публіцист, голова Центральної Ради (1917—1918), академік, автор понад 2000 наукових праць

Вернадський Володимир Іванович — український філософ, природознавець, засновник геохімії, біогеохімії та радіогеології, космізму. Академік Петербурзької АН, професор

Слайд 18Ігор Сікорський — український інженер (авіаконструктор) і підприємець. 1918 року емігрував

до США, де 1923 року заснував компанію Sicorski Air Engineering. Автор літаків-велетнів «Ілля Муромець», S-29А. Конструктор літака-амфібії

Каденюк Леонід Костянтинович — Герой України, перший космонавт незалежної України

Ігор Сікорський — український інженер (авіаконструктор) і підприємець. 1918 року емігрував до США, де 1923 року заснував

Слайд 19Олег Костянтинович Антонов — радянський авіаконструктор;
доктор технічних наук,
академік АН

УРСР і АН СРСР

Корольов Сергій Павлович — вчений у галузі ракетобудування та космонавтики, конструктор.
Академік АН СРСР. Конструктор перших штучних супутників Землі і космічних кораблів. Під його керівництвом запущено першу міжконтинентальну балістичну ракету, перший штучний супутник Землі, перший політ людини в космос та вихід людини в космос

Олег Костянтинович Антонов — радянський авіаконструктор; доктор технічних наук, академік АН УРСР і АН СРСРКорольов Сергій Павлович

Слайд 20Микола Михайлович Амосов — український лікар, учений в галузі медицини, біокібернетики;

дійсний член НАНУ, директор Інституту серцево-судинної хірургії

Борис Євгенович Патон — український науковець у галузі зварювальних процесів, металургії і технології металів, доктор технічних наук; Президент АН України, Герой України; директор Інституту електрозварювання імені Є. О. Патона НАНУ

Микола Михайлович Амосов — український лікар, учений в галузі медицини, біокібернетики; дійсний член НАНУ, директор Інституту серцево-судинної

Слайд 21ПЕРШИЙ АВТОГРАФ НА УКРАЇНСЬКІЙ ГРИВНІ ФІНАНСИСТ ВАДИМ ГЕТЬМАН (1935-1998)

ПЕРШИЙ АВТОГРАФ НА УКРАЇНСЬКІЙ ГРИВНІ ФІНАНСИСТ ВАДИМ ГЕТЬМАН (1935-1998)

Слайд 22 №5. Знайдіть чотири послідовних цілих числа, якщо добуток третього та четвертого

на 2 більший за добуток першого та другого.

1 число – х, друге – (х+1), третє – (х+2), четверте – (х+3). Добуток третього та четвертого – (х+2)(х+3), а добуток першого і другого – х(х+1). Їх різниця становить 2. Тому: (х+2)(х+3) – х(х+1)=2;
х2+3х+2х+6-х2-х=2;
4х= -4;
х= -1.
Перше число – -1, друге – -1+1=0, третє – -1+2=1, а четверте - -1+3=2.

№5. Знайдіть чотири послідовних цілих числа, якщо добуток третього та четвертого на 2 більший за добуток

Слайд 23Лижичко Руслана – співачка
Переможець Євробачення

Лижичко Руслана –  співачкаПереможець Євробачення

Слайд 24 Подкопаєва Лілія Олександрівна - гімнастка


володарка 45 золотих,
21 срібної та
14 бронзових медалей тільки на міжнародних змаганнях, не рахуючи національних першостей
засновниця і голова Міжнародного благодійного фонду «Здоров'я поколінь».

Подкопаєва Лілія Олександрівна - гімнастка

Слайд 25АНДРІЙ ШЕВЧЕНКО - футболіст

АНДРІЙ ШЕВЧЕНКО - футболіст

Слайд 26Віталій та Володимир Клички (боксери)

Віталій та Володимир Клички (боксери)

Слайд 27Виходячи з умінь, які виробили на уроці, прокоментуйте, які послідовні перетворення,

за якими алгоритмами треба виконати під час спрощення виразу:
Виходячи з умінь, які виробили на уроці, прокоментуйте, які послідовні перетворення, за якими алгоритмами треба виконати під

Слайд 29ДЯКУЮ ЗА УВАГУ!!!

ДЯКУЮ ЗА УВАГУ!!!

Что такое shareslide.ru?

Это сайт презентаций, где можно хранить и обмениваться своими презентациями, докладами, проектами, шаблонами в формате PowerPoint с другими пользователями. Мы помогаем школьникам, студентам, учителям, преподавателям хранить и обмениваться учебными материалами.


Для правообладателей

Яндекс.Метрика

Обратная связь

Email: Нажмите что бы посмотреть