Презентация, доклад урока по математике в 6 классе по теме Дробные выражения

Содержание

Умножение на 10, 100, 1000:0, 49 * 100, 49 * 10000, 49 * 0,14,949, 0,00490,000490, 49 * 1000, 49 * 0,010, 49 *0,00172* 0,001Умножение на 0,1 0,01 0,001…

Слайд 1ДРОБНЫЕ ВЫРАЖЕНИЯ
Домашнее задание
№ 716гдеж, 719, 715(1), 749.

ДРОБНЫЕ ВЫРАЖЕНИЯДомашнее задание№ 716гдеж, 719, 715(1), 749.

Слайд 2Умножение на 10, 100, 1000:
0, 49 * 10

0,

49 * 1000

0, 49 * 0,1

4,9

49,


0,0049

0,00049

0, 49 * 100

0, 49 * 0,01

0, 49 *0,001

72* 0,001

Умножение на 0,1 0,01 0,001…

0,049

0,072

490,

0,49

Умножение на  10,  100,  1000:0, 49 * 100, 49 * 10000, 49 * 0,14,949,

Слайд 3ДРОБНЫЕ ВЫРАЖЕНИЯ
Устные упражнения
Степень 52

0,33 (⅞) 2 42 43 (⅚) 3 (⅜) 2

12 0,13

43 • a3 • a m4 m5

(a+3) * (a+3)2
ДРОБНЫЕ ВЫРАЖЕНИЯУстные упражненияСтепень   52       0,33

Слайд 4

14,3*0,11
2,54*0,11
18,7
5,28
1,573
0,2794
0,48*11
1,7*11
Умножение на

11
14,3*0,112,54*0,1118,7 5,281,5730,2794 0,48*11    1,7*11 Умножение  на  11

Слайд 5 2. Цену товара увеличили на 20%, а затем снизили на

20%. Отличается ли конечная цена товара от первоначальной?

Решение задач

2. Цену товара увеличили на 20%, а затем снизили на 20%. Отличается ли конечная цена товара

Слайд 6Решение задач
1. Яблоки при сушке теряют 80% своей массы.
1а)

Сколько получится сушеных яблок из 50 кг свежих?
100%-80%=20% - приходится на сушеные яблоки.
Н 0,2 от 50кг
50 * 0,2 = 10(кг)
1б) Сколько свежих яблок надо взять, чтобы получить
50 кг сушеных?
50кг составляют 20% всех свежих яблок.
Всего свежих яблок 50 : 0,2=500 :2 = 250(кг)
50 : ⅕ = 250(кг).
Решение задач  1. Яблоки при сушке теряют 80% своей массы.1а) Сколько получится сушеных яблок из 50

Слайд 7Решение задач
3. В 16ч 49мин 31 декабря 2009 года

в банке был открыт вклад в сумме А руб.. Банк обязался в конце каждого следующего года причислять к имеющейся сумме 5% годовых.
Сколько денег получит вкладчик через 5 лет?

Сn = А(1+α)n
Решение задач 3.  В 16ч 49мин 31 декабря 2009 года в банке был открыт вклад в

Слайд 8Решение задач
4. Какая сумма была вложена в банк, дающий 10% годовых,

если через 3 года, вкладчик получил 79860 рублей?

Сn = А(1+α)n С3=79860 α=0,1


Решение задач4. Какая сумма была вложена в банк, дающий 10% годовых, если через 3 года, вкладчик получил

Слайд 9Устные упражнения
Основное свойство дроби
Сокращение дробей

19

48 39 38
57 84 91 95

54 70 65 75
90 84 78 105


Приведение дробей к новому знаменателю
½ ⅗ ⅕ ¾







Устные упражнения Основное свойство дробиСокращение дробей  19       48

Слайд 10ДРОБНЫЕ ВЫРАЖЕНИЯ

=





ДРОБНЫЕ ВЫРАЖЕНИЯ =

Слайд 11Найдите значение дробного выражения

Найдите значение дробного выражения

Слайд 12Упростите выражения:
?
0,3а+О,7а =
1,0а
9а+2-0,05а =
8,95а+2
8-а+2 =
10-а
4b •11- 6,8b
37,2b
4b – 3,3b

+ 1,7b

2,4b

2m+0,3n –1,2m+2n =

0,8m + 1,7n

=

=

Упростите выражения:? 0,3а+О,7а =1,0а9а+2-0,05а =8,95а+28-а+2 =10-а4b •11- 6,8b 37,2b4b – 3,3b + 1,7b 2,4b2m+0,3n –1,2m+2n =0,8m +

Слайд 13Вычислите удобным способом:



Вычислите удобным способом:

Слайд 14Найдите значение дробного выражения
100000
100000

Найдите значение дробного выражения100000100000

Слайд 15Найдите значение дробного выражения
100000
100000
0,0072
2*4*9*0,001
2*5

Найдите значение дробного выражения1000001000000,00722*4*9*0,0012*5

Слайд 16 Вычислите удобным способом:


Вычислите удобным способом:

Слайд 17Найдите значение дробного выражения
=5
1
2
3
4

6

7

5

8

9

10

10

11

Найдите значение дробного выражения=5 1 2 3 4 6 7 5 8 9101011

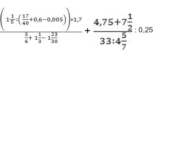
Слайд 20
+

: 0,25
+

Слайд 21Схема (2)


Схема (2)

Слайд 22В трех пятых классах 79 человек. Число учащихся 5 «Б»

класса

составляет от числа учащихся 5 «А» класса,
а в 5 «В» учится на 3 человека
больше, чем в 5 «Б». Сколько учащихся
учится в каждом из пятых классов?



В трех пятых классах 79 человек. Число учащихся 5 «Б» класса составляет    от числа

Слайд 23Вычислите удобным способом:

32*8

Вычислите удобным способом:  32*8

Что такое shareslide.ru?

Это сайт презентаций, где можно хранить и обмениваться своими презентациями, докладами, проектами, шаблонами в формате PowerPoint с другими пользователями. Мы помогаем школьникам, студентам, учителям, преподавателям хранить и обмениваться учебными материалами.


Для правообладателей

Яндекс.Метрика

Обратная связь

Email: Нажмите что бы посмотреть