Презентация, доклад по теме Комбинаторика

Содержание

I. Основные комбинаторные правила

Слайд 1"Число, положение и комбинация – три взаимно пересекающиеся, но различные сферы

мысли, к которым можно отнести все математические идеи".

Слайд 2I. Основные комбинаторные правила

I. Основные комбинаторные правила

Слайд 3На теоретико-множественном языке:
n(A) - число эл-ов множества A,
n(B) - число

эл-ов множества B
A ∪ B - объединение множеств A и B

Тогда для непересекающихся множеств A и B:
n(A ∪ B) = n(A) + n(B)

Правило суммы:
Если элемент A можно выбрать m способами, а элемент B можно выбрать k способами, то выбор элемента A или B можно осуществить m + k способами.

Пример №1. В первом ящике 8 шаров, во втором – 5. Сколько существует способов извлечь шар или из первого или из второго ящика.

Решение: 8 + 5 = 13 способов
Ответ: 13

На теоретико-множественном языке:n(A) - число эл-ов множества A, n(B) - число эл-ов множества BA ∪ B -

Слайд 4На теоретико-множественном языке:
A × B – декартово произведение множеств A и

B
n(A × B) = n(A) · n(B)

Правило произведения:
Если элемент A можно выбрать m способами, а после каждого выбора элемента A элемент B можно выбрать k способами, тогда, упорядоченную пару элементов (A, B) можно выбрать m · k способами.

Пример №2. В первом ящике 8 шаров, во втором – 5. Сколько существует способов извлечь один шар из первого и один из второго ящика.

Решение: 8 · 5 = 40 способов
Ответ: 40

На теоретико-множественном языке:A × B – декартово произведение множеств A и Bn(A × B) = n(A) ·

Слайд 5II. Соединения без повторений

II. Соединения без повторений

Слайд 6Соединения n элементов из n с учётом их порядка
Соединения k элементов

из n с учётом их порядка

Соединения k элементов из n без учёта их порядка

123, 132, 213, 231, 312, 321

12, 21, 13, 31,
23, 32

12, 13, 23

Сколькими способами можно развесить 5 цветных шаров на гирлянде?

Ответ: 120

Сколько различных двухзначных чисел можно составить, используя цифры 1, 2, 3, 4 при условии, что ни одна цифра не повторяется?

Ответ: 12

В классе 7 человек успешно занимаются математикой. Сколькими способами можно выбрать 2 для участия в олимпиаде?

Ответ: 21

Соединения n элементов из n с учётом их порядкаСоединения k элементов из n с учётом их порядкаСоединения

Слайд 7III. Соединения с повторениями

III. Соединения с повторениями

Слайд 8Упорядоченные множества из n эл-ов, из которых некоторые повторяются k1, k2,

..., kn раз (k1+k2 +... + kn≤n)

Упорядоченные множества по k эл-ов, взятых из n данных и отличающиеся либо эл-ми, либо их порядком.
Эл-ты могут повторяться до k раз (n≥1, k≥1)

CCCP
n = 4, k1 = 3, k2 = 1:
CCCP, CCPC, CPCC, PCCC

{0, 1}
n = 2, k = 3:
000, 001, 010, 011, 100, 101, 110, 111

Неупорядоченные множества по k эл-ов, взятых из n данных и отличающиеся эл-ми.
Эл-ты могут повторяться до k раз (n≥1, k≥1)

{0, 1}
n = 2, k = 3:
000, 001, 011, 111

Упорядоченные множества из n эл-ов, из которых некоторые повторяются k1, k2, ..., kn раз  (k1+k2 +...

Слайд 9IV. Решение задач
Задача 1.
Десять участников полуфинала разыгрывают три путевки в

финал. Сколько существует вариантов формирования тройки финалистов?

Дано:
n = 10
k = 3

Найти:
N = ?

Решение:

Ответ: 120

IV. Решение задачЗадача 1. Десять участников полуфинала разыгрывают три путевки в финал. Сколько существует вариантов формирования тройки

Слайд 10Задача 2.
Из трех классов спортивной школы нужно составить команду для

соревнований, взяв по одному ученику от класса. Сколько различных команд можно составить, если в одном классе учатся 18, в другом 20, в третьем 22 ученика?

Дано:
k1 = 18
k2 = 20
k3 = 22

Найти:
N = ?

Решение:

N = k1 · k2 · k3

N = 18 · 20 · 22
N = 7920

Ответ: 7920

Задача 2. Из трех классов спортивной школы нужно составить команду для соревнований, взяв по одному ученику от

Слайд 11Задача 3.
В хоккейном турнире участвуют 6 команд. Каждая команда должна

сыграть с каждой одну игру. Сколько игр будет сыграно в турнире?


Дано:
n = 6
k = 2

Найти:
N = ?

Решение:

Ответ: 15

Задача 3. В хоккейном турнире участвуют 6 команд. Каждая команда должна сыграть с каждой одну игру. Сколько

Слайд 12Задача 4. Из 7 разноцветных карточек разрезной азбуки составлено слово колокол.

Ребенок, не умеющий читать, случайно рассыпал эти карточки. Сколькими способами из этих карточек он сможет снова составить слово колокол?

Дано:
nК = 2
nО = 3
nЛ = 2

Найти:
Nколокол = ?

Решение:

N = 2 · 3 · 2 · 2 · 1 · 1 · 1
N = 24

2

колокол

3

2

2

1

1

1

Ответ: 24

Задача 4. Из 7 разноцветных карточек разрезной азбуки составлено слово колокол. Ребенок, не умеющий читать, случайно рассыпал

Слайд 13Задача 5.
Сколько экзаменационных комиссий, состоящих из 7 человек, можно создать из

14 преподавателей?

Дано:
n = 14
k = 7

Найти:
N = ?

Решение:

Ответ: 3432

Задача 5.Сколько экзаменационных комиссий, состоящих из 7 человек, можно создать из 14 преподавателей?Дано: n = 14k =

Слайд 14Задача 6.
В ящике находится 20 деталей. Известно, что 5 из

них являются стандартными. Из этих деталей выбирают 3. Сколько существует способов выбора трех деталей таких, чтобы среди них была, по крайней мере, одна стандартная?






Дано:
n = 14
k = 7

Найти:
N = ?

Решение:
Метод 1

Способов выбрать 3 детали из 20

Способов выбрать 3 нестандартные детали

3 стандартных

Метод 2

2 стандартных

1 стандартная

Ответ: 685

Задача 6. В ящике находится 20 деталей. Известно, что 5 из них являются стандартными. Из этих деталей

Слайд 15Задача 7.
Собрание из 40 человек избирает председателя, секретаря и 5 членов

комиссии.
Сколько различных комиссий может быть составлено?


Дано:
n = 40
kп = 1
kс = 1
kк = 5

Найти:
N = ?

Решение:

Выбор председателя

Выбор секретаря

Выбор 5 членов комиссии

Ответ: 783029520

Задача 7.Собрание из 40 человек избирает председателя, секретаря и 5 членов комиссии. Сколько различных комиссий может быть

Слайд 16Задача 8.
Из 10 роз и 8 георгинов нужно составить букет,

содержащий 2 розы и 3 георгина.
Сколько можно составить различных букетов?


Дано:
n1 = 10
n2 = 8
k1 = 2
k2 = 3

Найти:
N = ?

Выбор 2 роз из 10

Выбор 3 георгинов из 8

Ответ: 2520

Задача 8. Из 10 роз и 8 георгинов нужно составить букет, содержащий 2 розы и 3 георгина.

Слайд 17Задача 9.
Сколько существует различных семизначных телефонных номеров?
Дано:
n = 10
k

= 7

Найти:
N = ?

Решение:

Ответ: 10000000

Задача 9.Сколько существует различных семизначных телефонных номеров? Дано: n = 10k = 7Найти: N = ?Решение:Ответ: 10000000

Слайд 18Задача 10.
Сколько существует различных семизначных телефонных номеров, если в каждом номере

нет повторяющихся цифр?

Дано:
n = 10
k = 7

Найти:
N = ?

Решение:

Ответ: 604800

Задача 10.Сколько существует различных семизначных телефонных номеров, если в каждом номере нет повторяющихся цифр?Дано: n = 10k

Слайд 19Задача 11.
Имеется 9 различных книг, четыре из которых- учебники . Сколькими

способами можно расставить эти книги на полке так , чтобы все учебники стояли рядом?

1) Рассмотрим учебники как одну книгу

Способов расставить 6 книг: P6 = 6!
2) В каждой комбинации перестановок учебников: P4 = 4!
3) Число способов расположения книг:
N = Р6 · Р4=6! · 4!=720 · 24 = 17280

Дано:
n = 9
kу = 4

Найти:
N = ?

Решение:

Ответ: 17280

Задача 11.Имеется 9 различных книг, четыре из которых- учебники . Сколькими способами можно расставить эти книги на

Слайд 20
Задача 12.
Сколько нужно взять элементов, чтобы число размещений из них по

4 было в 12 раз больше, чем число размещений из них по 2.


Решение:

∉ОО

Ответ: 6

Задача 12.Сколько нужно взять элементов, чтобы число размещений из них по 4 было в 12 раз больше,

Слайд 21Задача 13.
Сколькими способами можно расположить в ряд две зеленые и четыре

красные лампочки?


Дано:
n = 6
k1 = 2
k2 = 4

Найти:
N = ?

Решение:

Ответ: 15

Задача 13.Сколькими способами можно расположить в ряд две зеленые и четыре красные лампочки?Дано: n = 6k1 =

Слайд 22Задача 14.
Сколькими способами можно переставить буквы в слове «математика», чтобы получались

всевозможные различные анаграммы?


Дано:
n = 10
U = {М, А, Т, Е, И, К}

Найти:
N = ?

Ответ: 151200

Решение:

Задача 14.Сколькими способами можно переставить буквы в слове «математика», чтобы получались всевозможные различные анаграммы?Дано: n = 10U

Слайд 23Задача 15.
В кондитерской имеется 5 разных сортов пирожных. Сколькими способами можно

выбрать набор из 4 пирожных?


Дано:
n = 5
k = 4

Найти:
N = ?

Ответ: 70

Решение:

Задача 15.В кондитерской имеется 5 разных сортов пирожных. Сколькими способами можно выбрать набор из 4 пирожных?Дано: n

Слайд 24Задача 16.
Делится ли число 40! на:
а)410 б)780
Решение:
а)
40! Не делится на 410

Задача 16.Делится ли число 40! на: а)410				б)780Решение:а)40! Не делится на 410

Слайд 25Задача 16.
Делится ли число 40! на:
а)410 б)780
Решение:
б)
40! Делится на 780
Ответ: а)

нет, б) да
Задача 16.Делится ли число 40! на: а)410				б)780Решение:б)40! Делится на 780Ответ: а) нет, б) да

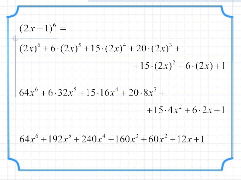
Слайд 26V. Биномиальная формула Ньютона
Биномиальные коэффициенты

V. Биномиальная формула НьютонаБиномиальные коэффициенты

Слайд 27Коэффициенты бинома Ньютона и треугольник Паскаля

Коэффициенты бинома Ньютона и треугольник Паскаля

Слайд 30Домашнее задание
*
1_Комбинаторика [ДЗ].doc
ДЗ

Домашнее задание*1_Комбинаторика [ДЗ].docДЗ

Что такое shareslide.ru?

Это сайт презентаций, где можно хранить и обмениваться своими презентациями, докладами, проектами, шаблонами в формате PowerPoint с другими пользователями. Мы помогаем школьникам, студентам, учителям, преподавателям хранить и обмениваться учебными материалами.


Для правообладателей

Яндекс.Метрика

Обратная связь

Email: Нажмите что бы посмотреть