Презентация, доклад по математике Трапецияның ауданын табу

Қызғалдақ пен алманың отаны –Қазақстан.

Слайд 1


Слайд 2 Қызғалдақ пен алманың отаны –Қазақстан.

Н.Назарбаев.
Қызғалдақ пен алманың отаны –Қазақстан.

Слайд 3Трапецияның ауданын табу

Трапецияның ауданын табу

Слайд 4Оқу мақсаты:

8.1.3.13 трапецияның ауданының формулаларын қорытып шығару

Оқу мақсаты: 8.1.3.13 трапецияның ауданының формулаларын қорытып шығару

Слайд 5




Трапецияның ауданының формулаларын білу;
Трапеция ауданының формулаларын есептер шығаруда қолдану.
Сабақтың

мақсаты
Трапецияның ауданының формулаларын білу; Трапеция ауданының формулаларын есептер шығаруда қолдану.Сабақтың мақсаты

Слайд 6Үй тапсырмасы
№253

а) S= ch
ә) S=60√2cм2

Үй тапсырмасы №253а) S= chә) S=60√2cм2

Слайд 7“Жұптас - ойлан - бөліс”

BC=3
h=4
AD=7
S-?
А

N D

FN=6
h=5
S-?

F

6

В С

N

IІ-топ

d1=6
d2=14 O=900
S-?

“Жұптас - ойлан - бөліс”BC=3 h=4 AD=7 S-?А     N

Слайд 8І-топ
ІІ-топ
ІІІ-топ

І-топІІ-топІІІ-топ

Слайд 9“Жұптас –ойлан - бөліс”

d1=2
d2=10 S-?
А

К D

АК=5
КD=5
D=450
S-?

В С

IІ-топ

F

S=400см2
BN=20 FK-?

45˚

45˚

F K

F

S=400см2
BN=20 FK-?

F K

“Жұптас –ойлан - бөліс”d1=2d2=10 S-?А          К

Слайд 10І-топ
IІІ-топ
ІІ-топ
Жауабы: 37,5см2
- Тең бүйірлі

І-топIІІ-топІІ-топЖауабы: 37,5см2- Тең бүйірлі

Слайд 11«Топтас-талқыла-бөліс»

«Топтас-талқыла-бөліс»

Слайд 12«санап көр»

Пик формуласы

«санап көр»Пик формуласы

Слайд 13«Кім жылдам»
Тұрғын үйдің бөлмелерінің ауданын тап:

Қонақ бөлме
Жатын
бөлме
Балалар
бөлмесі
Жуынатын
бөлме
Хол
Ас үй
3
5
4
6
3
3
3
2

«Кім жылдам»Тұрғын үйдің бөлмелерінің ауданын тап:Қонақ бөлмеЖатын бөлмеБалалар бөлмесіЖуынатын бөлмеХолАс үй35463332

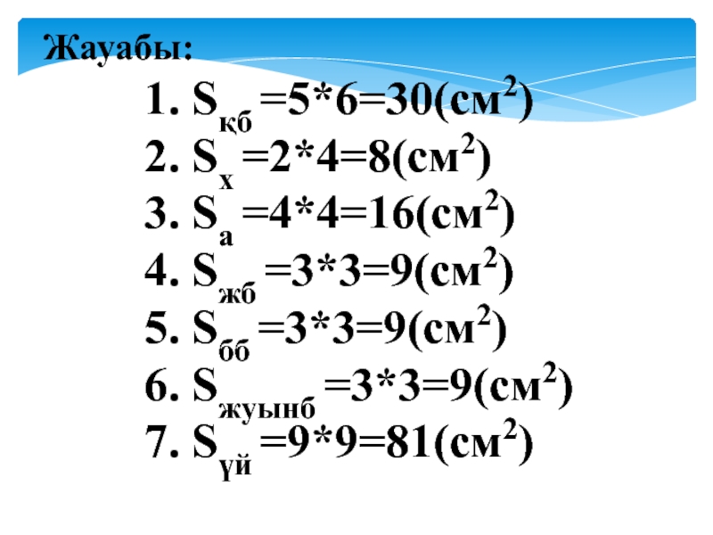
Слайд 141. Sқб =5*6=30(см2)
2. Sx =2*4=8(см2)
3. Sa =4*4=16(см2)
4. Sжб =3*3=9(см2)
5. Sбб =3*3=9(см2)
6.

Sжуынб =3*3=9(см2)
7. Sүй =9*9=81(см2)


Жауабы:

1. Sқб =5*6=30(см2)2. Sx =2*4=8(см2)3. Sa =4*4=16(см2)4. Sжб =3*3=9(см2)5. Sбб =3*3=9(см2)6. Sжуынб =3*3=9(см2)7. Sүй =9*9=81(см2) Жауабы:

Что такое shareslide.ru?

Это сайт презентаций, где можно хранить и обмениваться своими презентациями, докладами, проектами, шаблонами в формате PowerPoint с другими пользователями. Мы помогаем школьникам, студентам, учителям, преподавателям хранить и обмениваться учебными материалами.


Для правообладателей

Яндекс.Метрика

Обратная связь

Email: Нажмите что бы посмотреть