Презентация, доклад по математике на тему:Вычисление значения выражений в среде MathCad

Содержание

Цель работы: Создание элективного курса «Методы решения целых алгебраических уравнений» для учащихся профильного уровня обучения математике.

Слайд 1Элективный курс «Методы решения целых алгебраических уравнений»
Выполнил: учитель
Авраменко Мария Николаевна
МКОУ

«Залуженская СОШ» Лискинский район
Элективный курс «Методы решения целых алгебраических уравнений»Выполнил: учитель Авраменко Мария НиколаевнаМКОУ «Залуженская СОШ» Лискинский район

Слайд 2Цель работы:
Создание элективного курса «Методы решения целых алгебраических уравнений»

для учащихся профильного уровня обучения математике.
Цель работы:  Создание элективного курса «Методы решения целых алгебраических уравнений» для учащихся профильного уровня обучения математике.

Слайд 3Задачи курса:
изучить нормативные документы, регламентирующие введение элективных курсов;
проанализировать литературу по выбранной

теме «Методы решения целых алгебраических уравнений»;
отобрать содержание элективного курса, разработать его структуру и методические рекомендации по использованию.
Задачи курса:изучить нормативные документы, регламентирующие введение элективных курсов;проанализировать литературу по выбранной теме «Методы решения целых алгебраических уравнений»;отобрать

Слайд 4Объект исследования:
элективные курсы в системе профильного обучения.
Предмет исследования:

элективный курс, способствующий систематизации и углублению знаний и умений учащихся, связанных с методами решения целых алгебраических уравнений.
Объект исследования:  элективные курсы в системе профильного обучения. Предмет исследования:  элективный курс, способствующий систематизации и

Слайд 5Гипотеза:
При разработке элективного курса «Методы решения целых алгебраических уравнений»

предполагалось, что выделение различных методов решения уравнений как темы изучения будет способствовать совершенствованию математической подготовки школьников.
Гипотеза:  При разработке элективного курса «Методы решения целых алгебраических уравнений» предполагалось, что выделение различных методов решения

Слайд 6Типы элективных курсов:
курсы, выполняющие роль «надстройки» профильных курсов;
курсы, обеспечивающие межпредметные связи;


курсы, помогающие подготовиться к сдаче ЕГЭ по одному из учебных предметов на повышенном уровне;
курсы, ориентированные на приобретение школьниками образовательных результатов для успешного продвижения на рынке труда.
Типы элективных курсов:курсы, выполняющие роль «надстройки» профильных курсов;курсы, обеспечивающие межпредметные связи; курсы, помогающие подготовиться к сдаче ЕГЭ

Слайд 7Основные функции элективных курсов:
надстройка профильного учебного предмета и превращение его в

полной мере в углубленный;
развитие содержания одного из базовых учебных предметов, изучение которого осуществляется на минимальном общеобразовательном уровне;
удовлетворение познавательных интересов в различных областях деятельности человека.
Основные функции элективных курсов:надстройка профильного учебного предмета и превращение его в полной мере в углубленный;развитие содержания одного

Слайд 82. Содержание элективного курса: «Методы решения целых алгебраических уравнений».


2.1. Метод разложения на множители.

2.2. Метод введения новой переменной.

2.3. Искусственные методы решения алгебраических уравнений.

2.4. Методы решения целых рациональных уравнений, содержащих модуль.
2. Содержание элективного курса: «Методы решения целых алгебраических уравнений».    2.1. Метод разложения на множители.

Слайд 9Метод разложения на множители:

Метод разложения на множители:

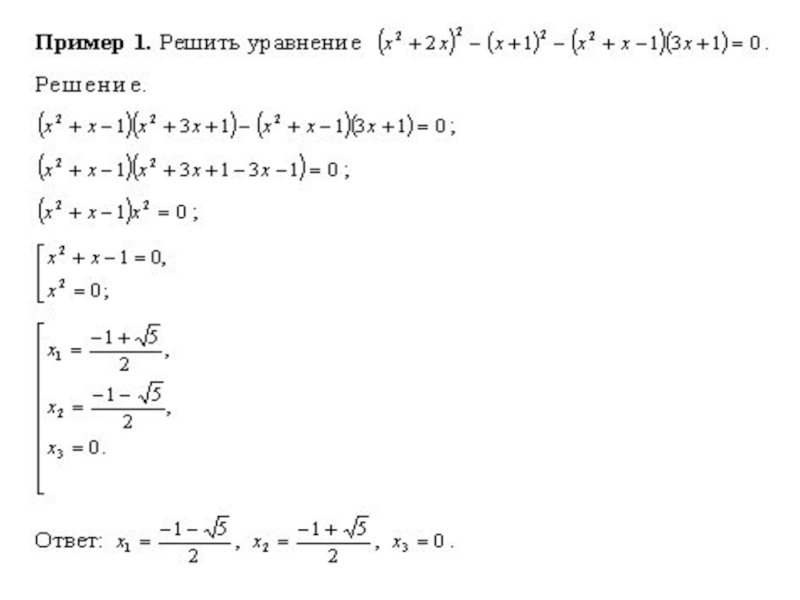
Слайд 101.Метод вынесения общего множителя и метод группировки.

1.Метод вынесения общего множителя и метод группировки.

Слайд 12
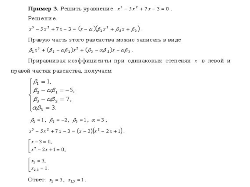
2. Подбор корня

многочлена по его старшему и свободному коэффициентам.
2. Подбор корня         многочлена по его старшему и свободному

Слайд 143. Метод неопределенных коэффициентов.

3. Метод неопределенных коэффициентов.

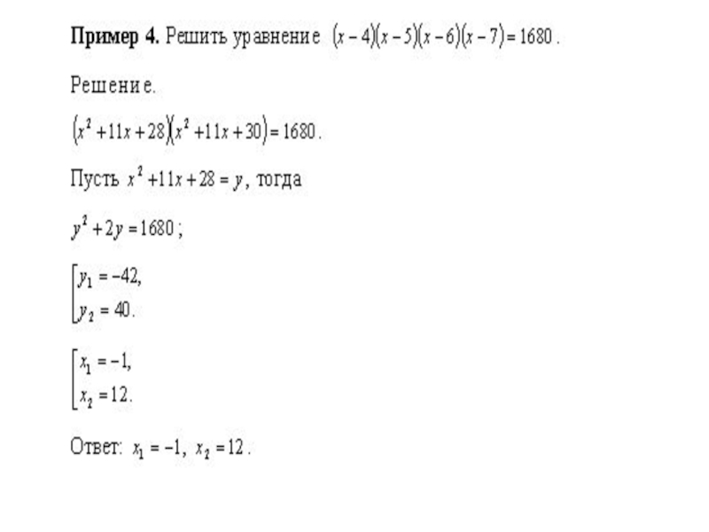
Слайд 16Метод введения новой переменной:

Метод введения новой переменной:

Слайд 182. Симметрическое уравнение.

2. Симметрическое уравнение.

Слайд 203. Возвратное уравнение.

3. Возвратное уравнение.

Слайд 22Искусственные методы решения алгебраических уравнений:

Искусственные методы решения алгебраических уравнений:

Слайд 231. Умножение обеих частей уравнения на функцию.

1. Умножение обеих частей уравнения на функцию.

Слайд 252. Подбор корня по внешнему виду уравнения.

2. Подбор корня по внешнему виду уравнения.

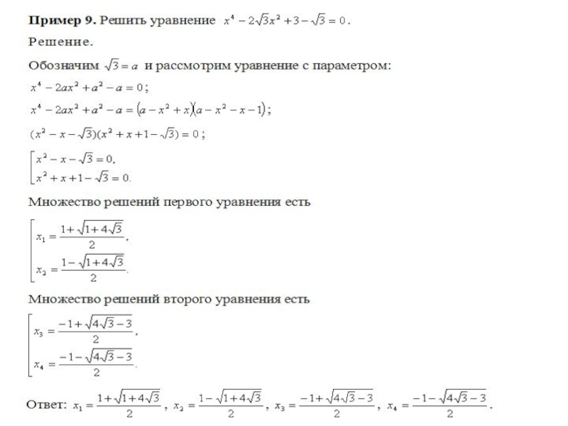
Слайд 273. Метод введения параметра.

3. Метод введения параметра.

Слайд 29Методы решения целых рациональных уравнений, содержащих модуль:

Методы решения целых рациональных уравнений, содержащих модуль:

Слайд 301. Метод равносильных переходов.

1. Метод равносильных переходов.

Слайд 322. Метод промежутков.

2. Метод промежутков.

Слайд 343. Некоторые методы решения уравнений, содержащих модуль и параметр.

3. Некоторые методы решения уравнений,  содержащих модуль и параметр.

Слайд 36Учебно-тематический план

Учебно-тематический план

Что такое shareslide.ru?

Это сайт презентаций, где можно хранить и обмениваться своими презентациями, докладами, проектами, шаблонами в формате PowerPoint с другими пользователями. Мы помогаем школьникам, студентам, учителям, преподавателям хранить и обмениваться учебными материалами.


Для правообладателей

Яндекс.Метрика

Обратная связь

Email: Нажмите что бы посмотреть