Презентация, доклад по математике на тему Системы уравнений.Способы решений.

Содержание

Интеллектуальная разминка 1. Укажите наименьшее из чисел

Слайд 1Системы уравнений
Способы
решений

Системы уравнений Способырешений

Слайд 2Интеллектуальная разминка

1. Укажите наименьшее из чисел



Интеллектуальная разминка			 1. Укажите наименьшее из чисел

Слайд 32. Реши задачу:
В походе приняли участие 20 девочек и 60 мальчиков.

Сколько процентов мальчиков по отношению к общему количеству ребят учувствовало в походе?
1) 75% 2) 60%
3) 300% 4) 80%
2. Реши задачу:		В походе приняли участие 20 девочек и 60 мальчиков. Сколько процентов мальчиков по отношению к

Слайд 43. Из формулы выразите переменную t





3. Из формулы выразите переменную t

Слайд 5




4. Расположите в порядке возрастания числа:

4. Расположите в порядке возрастания числа:

Слайд 6 5. Каждое уравнение, имеющее корни соотнесите с множеством

его корней.


Каждое уравнение, имеющее корни соотнесите с множеством его корней.

3.ВВВВВВВВВ

В

В

Г.


5. Каждое уравнение, имеющее корни соотнесите с множеством его корней.	Каждое уравнение, имеющее корни соотнесите

Слайд 7 6. Установите соответствие между графиками функции

и формулами, которые их задают

А. Б.


3.ВВВВВВВВВ

В

В

Г.

6. Установите соответствие между графиками функции и формулами, которые их задают 		А.

Слайд 87. Решите систему уравнений
На рисунке изображены графики функций:

Используя

графики, решите систему уравнений





7. Решите систему уравненийНа рисунке изображены графики функций:   Используя графики, решите систему уравнений

Слайд 9Способы решения систем уравнений с двумя переменными

Графический способ

Алгебраические способы:

подстановки
алгебраического сложения
введения новой переменной
Способы решения систем уравнений с двумя переменнымиГрафический способАлгебраические способы:      подстановки

Слайд 10Графический способ

Решите графически {
3х – у =4
у = х

Графический способ  Решите графически {3х – у =4у = х

Слайд 11Алгоритм решения

Построить график
функции 3х – у =4
Построить график функции

у = х
Найти координаты точки пересечения графиков
Записать ответ



Алгоритм решенияПостроить график функции 3х – у =4Построить график  функции у = хНайти координаты точки пересечения

Слайд 12АЛГОРИТМ РЕШЕНИЯ СИСТЕМЫ УРАВНЕНИЙ СПОСОБОМ ПОДСТАНОВКИ

Выразить у через х их одного

уравнения системы (х через у);
Подставить полученное выражение вместо у в другое уравнение системы;
Решить полученное уравнение относительно х.
Подставить каждый из найденных корней уравнения (шаг 3) поочередно вместо х в выражение у через х (шаг 1)
Записать ответ в виде пар значений (х;у).


АЛГОРИТМ РЕШЕНИЯ СИСТЕМЫ УРАВНЕНИЙ СПОСОБОМ ПОДСТАНОВКИВыразить у через х их одного уравнения системы (х через у);Подставить полученное

Слайд 13АЛГОРИТМ РЕШЕНИЯ СИСТЕМЫ УРАВНЕНИЙ СПОСОБОМ АЛГЕБРАИЧЕСКОГО СЛОЖЕНИЯ
Привести уравнения системы к одинаковым

по модулю коэффициентам при переменных x и y.

Если коэффициенты одинаковы, то из одного уравнения вычесть другое.

Если же коэффициенты противоположные, то уравнения складываются.

Решить полученное уравнение (найти значение одной из переменных системы).

Подставить известное значение переменной в одно из уравнений и найти значение второй переменной.

Записать ответ.
АЛГОРИТМ РЕШЕНИЯ СИСТЕМЫ УРАВНЕНИЙ СПОСОБОМ АЛГЕБРАИЧЕСКОГО СЛОЖЕНИЯПривести уравнения системы к одинаковым по модулю коэффициентам при переменных x

Слайд 14Решите систему способом сложения
{

Решите систему способом сложения{

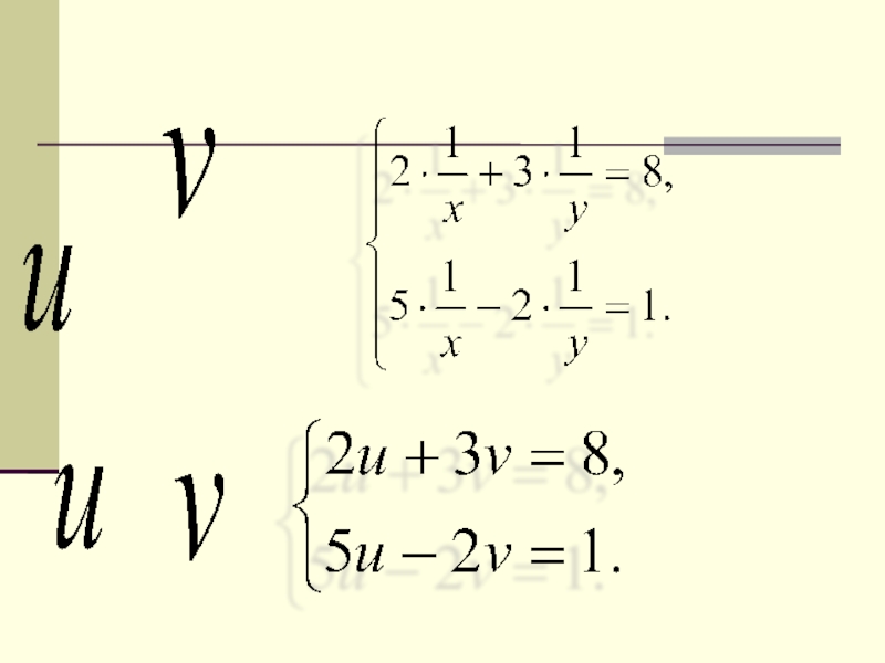
Слайд 15Решить систему уравнений
Обозначим через u,

а

через v
Решить систему уравненийОбозначим    через u,а    через v

Слайд 17Возвращаемся к переменным х и у.
Ответ: (1; 0,5)

Возвращаемся к переменным х и у.Ответ: (1; 0,5)

Что такое shareslide.ru?

Это сайт презентаций, где можно хранить и обмениваться своими презентациями, докладами, проектами, шаблонами в формате PowerPoint с другими пользователями. Мы помогаем школьникам, студентам, учителям, преподавателям хранить и обмениваться учебными материалами.


Для правообладателей

Яндекс.Метрика

Обратная связь

Email: Нажмите что бы посмотреть