Презентация, доклад по математике на тему: Решение тригонометрических уравнений

Решение тригонометрических уравнений.Система упражнений предназначенных для закрепления навыков решения простейших тригонометрических уравнений, а также для развития умений работать с получающимися в результате решения уравнений сериями корней.

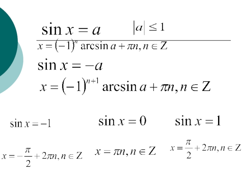
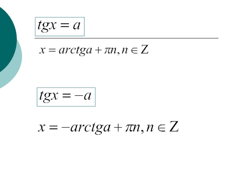
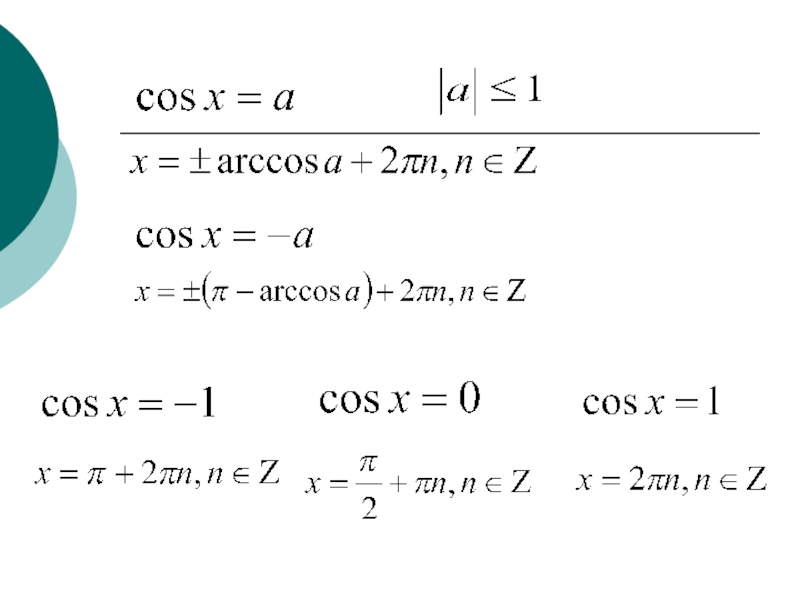
Слайд 1Решение тригонометрических уравнений
Сухих Татьяна Дмитриевна,
учитель математики
МАОУ «СОШ №28»
Пермь, 2016

Решение тригонометрических уравненийСухих Татьяна Дмитриевна,учитель математикиМАОУ «СОШ №28»Пермь, 2016

Слайд 2Решение тригонометрических уравнений.
Система упражнений предназначенных для закрепления навыков решения простейших тригонометрических

уравнений, а также для развития умений работать с получающимися в результате решения уравнений сериями корней.
Решение тригонометрических уравнений.Система упражнений предназначенных для закрепления навыков решения простейших тригонометрических уравнений, а также для развития умений

Слайд 3
- уравнения 1-3 необходимы для закрепления навыков работы с

усложненным (линейным) аргументом;
- уравнения 4-6 позволяют научиться исключать из одной серии корней другую – постороннюю;
- уравнение 7 позволяет отработать навыки объединения двух серий корней и записывать их в виде одной серии;
- уравнение 8 позволяет научиться видеть, что одна серия содержится в другой, выбирать в этом случае для записи правильного нужную серию.


- уравнения 1-3 необходимы для закрепления навыков работы с усложненным (линейным) аргументом;  - уравнения

Слайд 7Уравнение 1

Уравнение 1

Слайд 8Уравнение 2.

Уравнение 2.

Слайд 9Уравнение 3.

Уравнение 3.

Слайд 10Уравнение 4.

x
y


0

Уравнение 4.xy0

Слайд 11Уравнение 5.

x

y
o


Уравнение 5.xyo

Слайд 12Уравнение 6.

x
y
o












Уравнение 6.xyo

Слайд 13Уравнение 7

x
y
o


Уравнение 7xyo

Слайд 14Уравнение 8

x
y
o






Уравнение 8xyo

Слайд 15Домашнее задание.

Домашнее задание.

Что такое shareslide.ru?

Это сайт презентаций, где можно хранить и обмениваться своими презентациями, докладами, проектами, шаблонами в формате PowerPoint с другими пользователями. Мы помогаем школьникам, студентам, учителям, преподавателям хранить и обмениваться учебными материалами.


Для правообладателей

Яндекс.Метрика

Обратная связь

Email: Нажмите что бы посмотреть