Презентация, доклад по математике на тему Простейшие показательные уравнения(1 курс СПО)

Содержание

ТЕМА « Решение простейших показательных  уравнений»Цели: ·        обеспечить деятельность студентов по решению заданий, по усвоению знаний об основных методах решения простейших показательных  уравнений;·        создать условия для развития логического мышления при подборе метода решения;·        способствовать развитию познавательных

Слайд 1«Простейшие показательные уравнения

«Простейшие показательные уравнения

Слайд 2

ТЕМА « Решение простейших показательных  уравнений»
Цели:
·        обеспечить деятельность студентов по

решению заданий, по усвоению знаний об основных методах решения простейших показательных  уравнений;
·        создать условия для развития логического мышления при подборе метода решения;
·        способствовать развитию познавательных и исследовательских умений учащихся, повышению культуры общения;
·        способствовать развитию у учащихся навыков взаимо и самоконтроля знаний.
ТЕМА « Решение простейших показательных  уравнений»Цели: ·        обеспечить деятельность студентов по решению заданий, по усвоению знаний об

Слайд 3Актуализация знаний

Решить уравнения:
5x=125
4x=32
3x-1=81

Актуализация знанийРешить уравнения:5x=1254x=323x-1=81

Слайд 4Свойства:
an*am=
an/am=
(an)m=
(a*b)n=
(a/b)n=
а0=
a-n=
 

Свойства:an*am=an/am=(an)m=(a*b)n=(a/b)n=а0=a-n= 

Слайд 5Свойства:
an*am=an+m
an/am=an-m
(an)m= an*m
(a*b)n= an*bn
(a/b)n=an/bn
a0=1
a-n=1/an
 

Свойства:an*am=an+man/am=an-m(an)m= an*m(a*b)n= an*bn(a/b)n=an/bna0=1a-n=1/an 

Слайд 6

Альберт Эйнштейн говорил

так:
«Мне приходится делить время между политикой и уравнениями. Однако политика существует только для данного момента, а уравнения будут существовать вечно».


Вот и сейчас в центре нашего внимания будут уравнения.
Альберт Эйнштейн говорил так: «Мне приходится делить время между

Слайд 7Способы решения показательных уравнений
Уравнивание оснований
Вынесение общего множителя за скобку
Введение вспомогательной

переменной
(замена переменной)
Способы решения показательных уравненийУравнивание оснований Вынесение общего множителя за скобкуВведение вспомогательной переменной   (замена переменной)

Слайд 8 Простейшие показательные уравнения
1.
1
2.
если

, то

если

, то решений нет

Простейшие показательные уравнения 1. 12.если           ,

Слайд 9«Некоторые наиболее часто встречающиеся виды трансцендентных функций, прежде всего показательные, открывают

доступ ко многим исследованиям».
Л. Эйлер
«Некоторые наиболее часто встречающиеся виды трансцендентных функций, прежде всего показательные, открывают доступ ко многим исследованиям».

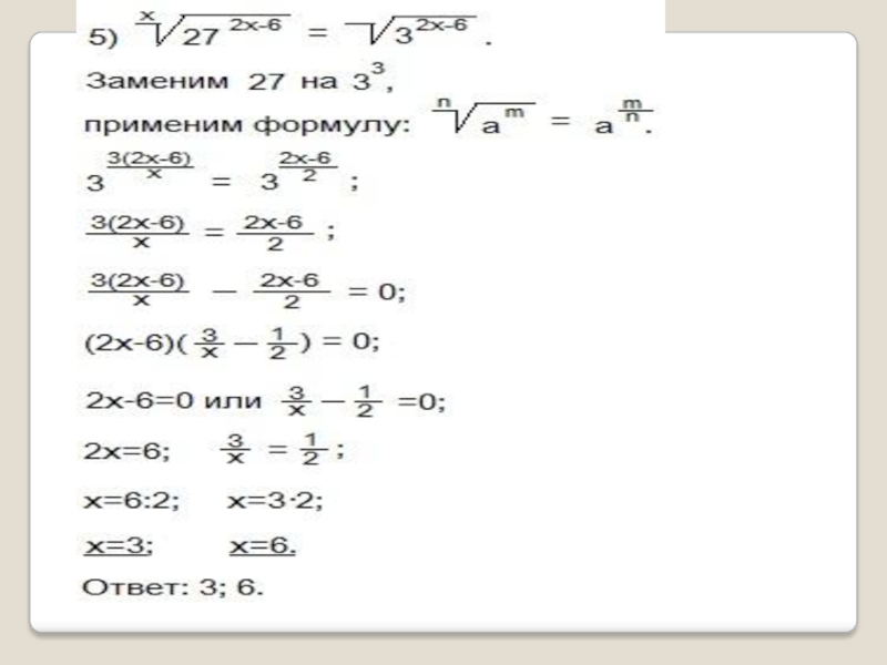
Слайд 10Решить уравнения:

4x=32.
32x-1=81
3.(2/3)3x-7=(3/2)5X-1



Решить уравнения:4x=32. 32x-1=813.(2/3)3x-7=(3/2)5X-1

Слайд 12



6. 3x2+x-12=1…
7. 7x=9x, а как будем решать это уравнение?
8. 4x =3

x/2
9. 7x-2= 32-x




6. 3x2+x-12=1…7. 7x=9x, а как будем решать это уравнение?8. 4x =3 x/29. 7x-2= 32-x

Слайд 13Самостоятельно:
Ш.А.Алимов и др. Алгебра и начала анализа:
№17, 26, 21, 22

Самостоятельно:Ш.А.Алимов и др. Алгебра и начала анализа:№17, 26, 21, 22

Слайд 145.   Итог урока.
Показательная функция
 Не случайно родилась,
 В жизнь органически влилась
 И движением прогресса

занялась.
5.   Итог урока.Показательная функция  Не случайно родилась, В жизнь органически влилась И движением прогресса занялась.

Слайд 15Пожелание ученикам
«Пусть каждый день и каждый час
Вам новое добудет
Пусть

добрым будет ум у вас,
 А сердце умным будет.»
                        С. Я. Маршак
Спасибо всем за урок.!
Пожелание ученикам«Пусть каждый день и каждый час Вам новое добудет Пусть добрым будет ум у вас, А сердце

Слайд 166.
Домашнее задание:
Колмогоров А. Алгебра и начала

анализа №469, 462
6.    Домашнее задание: Колмогоров А. Алгебра и начала   анализа №469, 462

Что такое shareslide.ru?

Это сайт презентаций, где можно хранить и обмениваться своими презентациями, докладами, проектами, шаблонами в формате PowerPoint с другими пользователями. Мы помогаем школьникам, студентам, учителям, преподавателям хранить и обмениваться учебными материалами.


Для правообладателей

Яндекс.Метрика

Обратная связь

Email: Нажмите что бы посмотреть