Презентация, доклад по математике на тему Основные задачи на дроби

Нахождение части от числаРасстояние между двумя селами 24 км За первую неделю бригада заасфальтировала этого расстояния. Сколько километров заасфальтировали? 24 км

Слайд 1Основные
задачи
на дроби.

Основные задачи на дроби.

Слайд 2Нахождение части от числа
Расстояние между двумя селами 24 км За первую

неделю бригада заасфальтировала этого расстояния. Сколько километров заасфальтировали?

24 км

Нахождение части от числаРасстояние между двумя селами 24 км За первую неделю бригада заасфальтировала

Слайд 324 км
Поделим весь путь на 8 равных частей
Сколько километров в

каждой части?

Нам нужно взять 5 таких частей.
Сколько это составит километров?

24 кмПоделим весь путь на 8 равных частей Сколько километров в каждой части? Нам нужно взять 5

Слайд 4Что бы найти дробь от числа, нужно это число умножить на

данную дробь.
Что бы найти дробь от числа, нужно это число умножить на данную дробь.

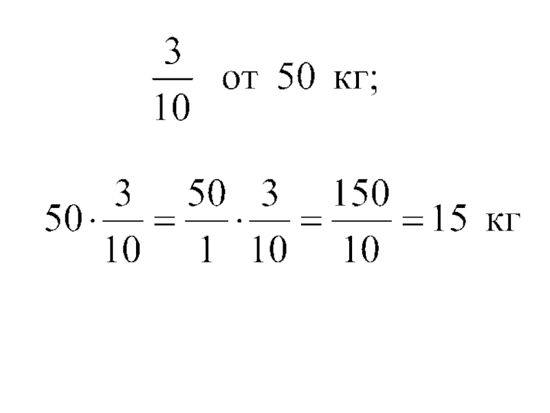
Слайд 5Найдите:

Найдите:

Что такое shareslide.ru?

Это сайт презентаций, где можно хранить и обмениваться своими презентациями, докладами, проектами, шаблонами в формате PowerPoint с другими пользователями. Мы помогаем школьникам, студентам, учителям, преподавателям хранить и обмениваться учебными материалами.


Для правообладателей

Яндекс.Метрика

Обратная связь

Email: Нажмите что бы посмотреть