Презентация, доклад по математике на тему Обратные тригонометрические функции, их графики и формулы

Графики обратных тригонометрических функций Графики обратных тригонометрических функций получаются из графиков тригонометрических функций зеркальным отражением относительно прямой   y = x.  y = arcsin xy = arccos x

Слайд 1Обратные тригонометрические функции, их графики и формулы
Учитель математики: КОРЖУЕВА Е.М.
МБОУ "Ики-Бурульская

СОШ им.А.Пюрбеева"
Обратные тригонометрические функции, их графики и формулыУчитель математики: КОРЖУЕВА Е.М.МБОУ

Слайд 4Графики обратных тригонометрических функций Графики обратных тригонометрических функций получаются из графиков тригонометрических

функций зеркальным отражением относительно прямой   y = x. 

y = arcsin x

y = arccos x

Графики обратных тригонометрических функций Графики обратных тригонометрических функций получаются из графиков тригонометрических функций зеркальным отражением относительно прямой

Слайд 5y = arctg x
y = arcctg x

y = arctg xy = arcctg x

Слайд 6Основные формулы

Основные формулы

Слайд 7Формулы, связывающие обратные тригонометрические функции

Формулы, связывающие обратные тригонометрические функции

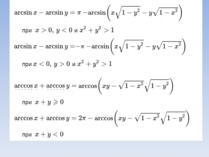
Слайд 8Формулы суммы и разности

Формулы суммы и разности

Что такое shareslide.ru?

Это сайт презентаций, где можно хранить и обмениваться своими презентациями, докладами, проектами, шаблонами в формате PowerPoint с другими пользователями. Мы помогаем школьникам, студентам, учителям, преподавателям хранить и обмениваться учебными материалами.


Для правообладателей

Яндекс.Метрика

Обратная связь

Email: Нажмите что бы посмотреть