Презентация, доклад по математике на тему Метод хорд. Метод касательных метод простой итерации

Метод хорд.

Слайд 1

Метод хорд.
Метод касательных.
Метод простой итерации.
Метод

Слайд 2 Метод

хорд.
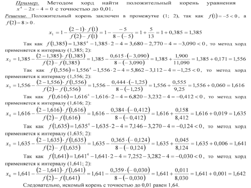
Метод хорд.

Слайд 3 Метод

хорд.
Метод хорд.

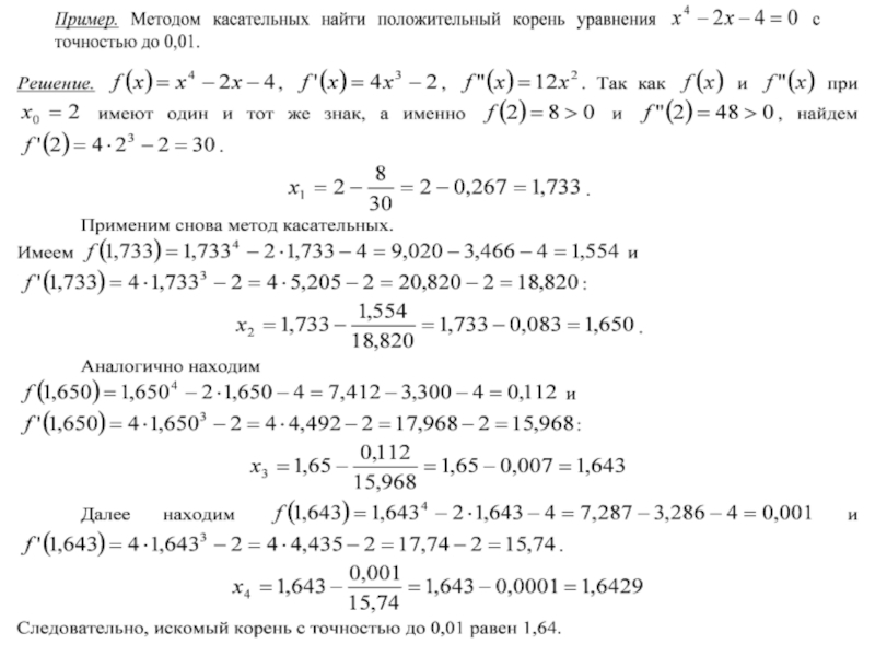
Слайд 5 Метод касательных.

Метод касательных.

Слайд 6 Метод касательных.

Метод касательных.

Слайд 8 Метод итераций.

Метод итераций.

Что такое shareslide.ru?

Это сайт презентаций, где можно хранить и обмениваться своими презентациями, докладами, проектами, шаблонами в формате PowerPoint с другими пользователями. Мы помогаем школьникам, студентам, учителям, преподавателям хранить и обмениваться учебными материалами.


Для правообладателей

Яндекс.Метрика

Обратная связь

Email: Нажмите что бы посмотреть