Презентация, доклад по математике на тему Готовимся к ОГЭ

Цель урока: подготовка к ОГЭ;отработка умений решать задачи, связанные с построением графиков различных функций

Слайд 1Готовимся к ОГЭ – 2018 Задание 23 Графики функций

Готовимся к ОГЭ – 2018  Задание 23  Графики функций

Слайд 2 Цель урока:
подготовка к ОГЭ;
отработка умений решать задачи, связанные

с построением графиков различных функций


Цель урока:  подготовка к ОГЭ;отработка умений решать задачи, связанные с построением графиков различных функций

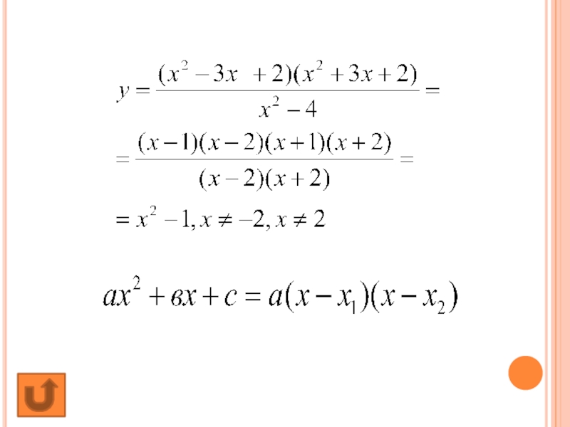
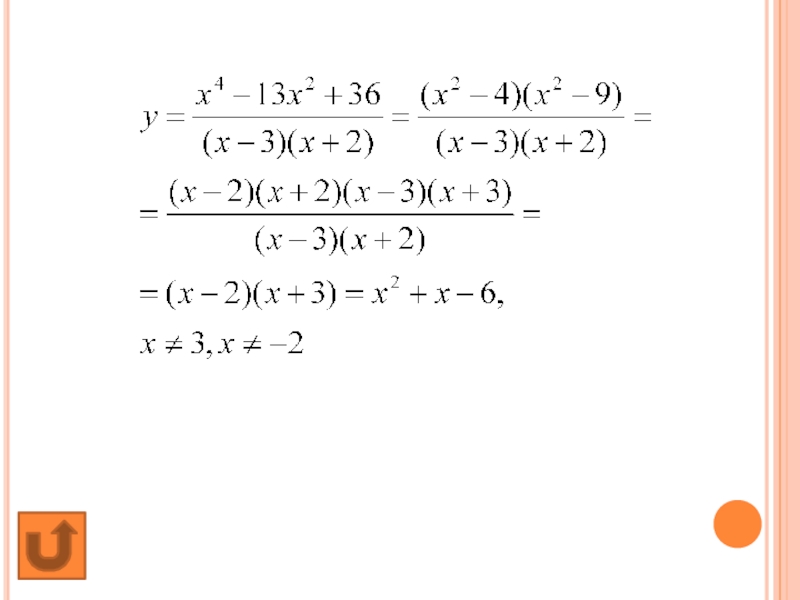
Слайд 3Постройте график функции    
и определите, при каких

значениях k прямая y=kx
имеет с графиком ровно одну общую точку

Ответ: k=4

Найдем область определения
функции:

2) Упростим правую часть
формулы:

1

Постройте график функции       и определите, при каких      значениях k

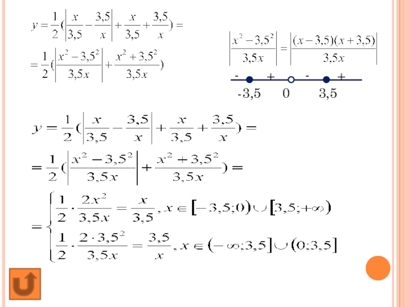
Слайд 4Постройте график функции    
и определите, при каких

значениях m прямая y=m
не имеет с графиком
общих точек

Ответ: m=3, m=3,5

Найдем область определения
функции:

2) Упростим правую часть
формулы:

2

Постройте график функции       и определите, при каких     значениях m прямая

Слайд 5Постройте график функции    
и определите, при каких

значениях параметра с прямая
y=с имеет с графиком ровно одну общую точку

Ответ: при -1< c ≤ 0

3

Область определения
функции:

Постройте график функции       и определите, при каких    значениях параметра с

Слайд 6Постройте график функции    
и определите, при каких

значениях а прямая y=а не имеет
с графиком данной функции общих точек

Найдем область определения
функции:

2) Упростим правую часть
формулы :

4

Постройте график функции       и определите, при каких    значениях а прямая y=а

Слайд 7Постройте график функции

   
и определите, при каких

значениях k построенный график будет иметь одну общую точку с прямой у = kx.

Ответ: - 1,5; 1,5

1) Область определения
функции:

2) Упростим правую часть
формулы:

5

Постройте график функции       и определите, при каких     значениях k построенный

Слайд 8Постройте график функции

   
и определите, при каких

значениях параметра с
прямая y=с имеет с графиком ровно одну общую точку

Ответ: с = -6,25

1) Область определения
функции:

2) Упростим правую часть
формулы:

6

Постройте график функции       и определите, при каких     значениях параметра с

Слайд 9Постройте график функции    
и определите, при каких

значениях m прямая y=m имеет
с графиком ровно одну общую точку

1) Область определения
функции:

Ответ: m=1, m=-1

2) Упростим правую часть
формулы:

7

Постройте график функции       и определите, при каких    значениях m прямая y=m

Слайд 10Постройте график функции    
и определите, при каких

значениях k прямая y=kx имеет
с графиком ровно три общие точки

1) Область определения
функции:

Ответ: -1,5 < k < 0

2) Упростим правую часть
формулы:

8

Постройте график функции       и определите, при каких    значениях k прямая y=kx

Слайд 11Постройте график функции
у = │х – 2│ + │х² -

9│    
и определите, при каких значениях а прямая y = а
имеет с графиком
три общие точки

Ответ: а = 5, а = 11,25

1) Найдем область определения
функции:

2) Преобразуем правую часть
формулы:

9

Постройте график функции у = │х – 2│ + │х² - 9│      и определите,

Слайд 12Памятка:
Найдем область определения функции
Упростим или преобразуем правую часть формулы, если

это возможно
Построим график функции
Ответим на вопрос задачи, используя построенный график
Памятка: Найдем область определения функцииУпростим или преобразуем правую часть формулы, если это возможноПостроим график функции Ответим на

Слайд 15-3,5
3,5
0
-
+
-
+

-3,5 3,50-+-+

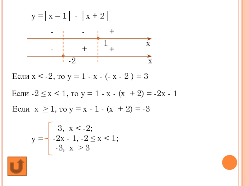
Слайд 16у =│х – 1│ - │х + 2│
1
-2
х
х
-
+
+
-
-
+
Если х

-2, то у = 1 - х - (- х - 2 ) = 3

Если -2 ≤ х < 1, то у = 1 - х - (х + 2) = -2х - 1

Если х ≥ 1, то у = х - 1 - (х + 2) = -3

у =│х – 1│ - │х + 2│ 1-2хх-++--+Если х < -2, то у = 1 -

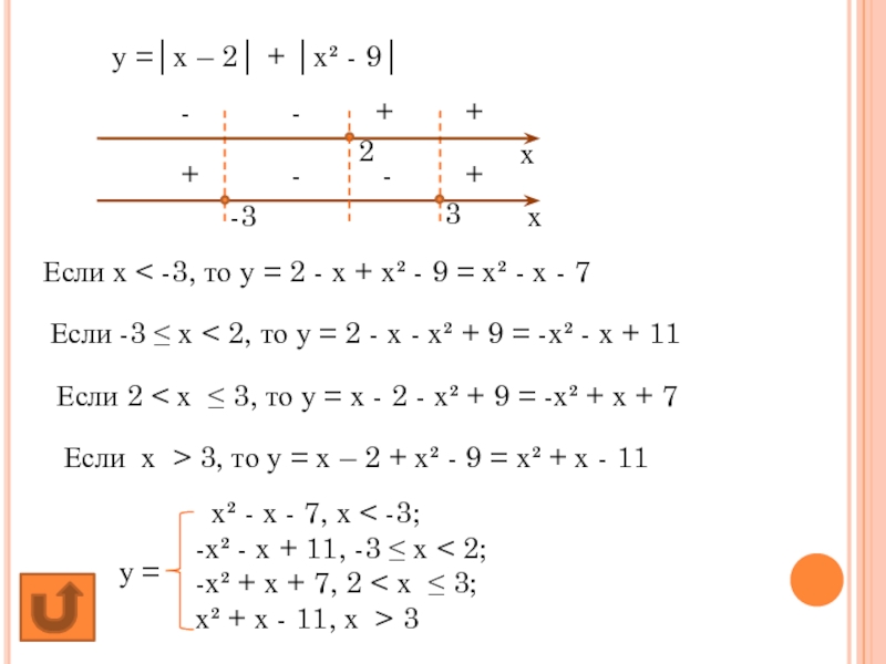
Слайд 17у =│х – 2│ + │х² - 9│
2
3
-3
х
х
-
+
-
+
+
-
+
-
Если х

-3, то у = 2 - х + х² - 9 = х² - х - 7

Если -3 ≤ х < 2, то у = 2 - х - х² + 9 = -х² - х + 11

Если 2 < х ≤ 3, то у = х - 2 - х² + 9 = -х² + х + 7

Если х > 3, то у = х – 2 + х² - 9 = х² + х - 11

у =│х – 2│ + │х² - 9│ 23-3хх-+-++-+-Если х < -3, то у = 2 -

Слайд 18источники
Задание 1 № 153 https://oge.sdamgia.ru/test?theme=87
Задание 2

№357531 https://oge.sdamgia.ru/test?pid=357531
Задание 3 № 75 https://oge.sdamgia.ru/test?theme=88
Задание 4 № 311565 https://oge.sdamgia.ru/test?theme=88
Задание 5 № 23 Тренировочный вариант №136 ОГЭ-9 http://alexlarin.net/gia/trvar136_oge.html
Задание 6 № 49 https://oge.sdamgia.ru/test?theme=23
Задание 7 № 338314 https://oge.sdamgia.ru/test?theme=88
Задание 8 № 23 Тренировочный вариант №133 ОГЭ-9 http://alexlarin.net/gia/trvar133_oge.html
Задание 9 № 23 Тренировочный вариант №113 ОГЭ-9 http://alexlarin.net/gia/trvar113_oge.html





источникиЗадание 1    № 153 https://oge.sdamgia.ru/test?theme=87Задание 2    №357531 https://oge.sdamgia.ru/test?pid=357531Задание 3

Что такое shareslide.ru?

Это сайт презентаций, где можно хранить и обмениваться своими презентациями, докладами, проектами, шаблонами в формате PowerPoint с другими пользователями. Мы помогаем школьникам, студентам, учителям, преподавателям хранить и обмениваться учебными материалами.


Для правообладателей

Яндекс.Метрика

Обратная связь

Email: Нажмите что бы посмотреть