Презентация, доклад по математике на тему Бином Ньютона

Содержание

Повторение теоретического материала Дайте определение числу возможных сочетаний из n элементов по m элементов. Назовите основные свойства числа сочетаний.Решите задачу: Сколько различных двузначных чисел можно составить из данных 5 цифр:1,2,3,4,5.(Решение: Данные цифры - это множество,

Слайд 1
Треугольник Паскаля
Бином Ньютона
Государственное бюджетное профессиональное образовательное учреждение Краснодарского края
«Курганинский аграрно-технологический

техникум»

Из опыта работы преподавателя физики и математики
Ю.А. Спесивцевой

Треугольник ПаскаляБином НьютонаГосударственное бюджетное профессиональное образовательное учреждение Краснодарского края «Курганинский аграрно-технологический техникум»Из опыта работы преподавателя физики и

Слайд 2Повторение теоретического материала
Дайте определение числу возможных сочетаний из n элементов

по m элементов.
Назовите основные свойства числа сочетаний.
Решите задачу: Сколько различных двузначных чисел можно составить из данных 5 цифр:1,2,3,4,5.
(Решение: Данные цифры - это множество, состоящее из 5 элементов. Составить двузначные числа - это значит найти все подмножества из двух элементов, то есть сочетания из 5 по 2. Их число посчитаем по формуле С = = = =10.)


Повторение теоретического материала  Дайте определение числу возможных сочетаний из n элементов по m элементов. Назовите основные

Слайд 3Повторение теоретического материала
4.Прочитайте выражения: (х +2у)2, (а- b)3, (c - d)2,

(а+1)3, (с+3а)4, (х -2)5.
5.Что общего в заданных выражениях?
6. Представьте каждую степень двучлена в виде многочлена. Какими формулами воспользуетесь?
7.Все случаи представляли собой степень двучлена, почему же в одних случаях пример решался легко и быстро, а в других сложно и долго?
8. В каждом примере приходилось приводить подобные слагаемые, их количество было различным, как вы думаете, от чего зависело количество подобных слагаемых?
Повторение теоретического материала4.Прочитайте выражения: (х +2у)2, (а- b)3, (c - d)2, (а+1)3, (с+3а)4, (х -2)5.5.Что общего в

Слайд 4Треугольник Паскаля.
На прошлом уроке мы с вами изучали перестановки и

размещения, сегодня мы остановимся на одном из самых замечательных применением формулы перестановок.
Числа имеют очень красивую и знаменитую запись, которая имеет большое значение.
Такая запись называется треугольником Паскаля:

Треугольник Паскаля.	 На прошлом уроке мы с вами изучали перестановки и размещения, сегодня мы остановимся на одном

Слайд 5
ПАСКАЛЬ -французский математик, физик, религиозный философ и писатель. Работы по

арифметике, теории чисел, алгебре, геометрии, теории вероятностей. В 1641г. сконструировал суммирующую машину.

1623-1662 г.г.

Блез Паскаль

ПАСКАЛЬ -французский математик, физик, религиозный философ и писатель. Работы по арифметике, теории чисел, алгебре, геометрии, теории

Слайд 6Треугольник Паскаля.
Правило записи треугольника легко запомнить:
Каждое число в треугольнике паскаля

равно сумме двух чисел, стоящих над ними в предыдущей строке.
Давайте распишем несколько строк:
Математически свойство подсчета числа сочетаний без повторений можно записать еще вот так:

Треугольник Паскаля.	Правило записи треугольника легко запомнить: 	Каждое число в треугольнике паскаля равно сумме двух чисел, стоящих над

Слайд 8Бином Ньютона.

Как оказалось треугольник Паскаля находит свое применение и

в другой математической задаче. Давайте вспомним несколько правил возведения в квадрат суммы.
Самое первое правило, которое мы с вами выучили это квадрат суммы:

Довольно таки легко найти выражение и для следующей степени, используя правила перемножения многочленов:


Проделаем эту же операцию и для четвертой степени:
Бином Ньютона. 	 Как оказалось треугольник Паскаля находит свое применение и в другой математической задаче. Давайте вспомним

Слайд 9Бином Ньютона.
Выпишем для наглядности все наши формулы:






Давайте проведем небольшой анализ

полученных формул.
Первое на что стоит обратить внимание, показатель степени в левой части равен сумме показателей степеней в правой части, для любого слагаемого. Для четвертой степени, очевидно слева показатель равен четырем. В правой части показатель степени, при первом слагаемом, для а равен 4, для b равен 0, в сумме 4. Для второго слагаемого сумма показателей равна 3+1=4, для следующего 2+2=4, и так до самого конца сумма показателей равна 4.
Ребята, посмотрите внимательно на коэффициенты в правой части, ни чего не напоминает? Правильно, коэффициенты образуют треугольник Паскаля.
Бином Ньютона.	 Выпишем для наглядности все наши формулы:		Давайте проведем небольшой анализ полученных формул.	Первое на что стоит обратить

Слайд 10В теории многочленов часто двучлены называют биномами.

В теории многочленов часто двучлены называют биномами.

Слайд 11Бином Ньютона.


Полученная нами формула:



Называется Бином Ньютона.
Коэффициенты, стоящие перед слагаемыми –

Биномиальные коэффициенты.
Бином Ньютона.		Полученная нами формула:			Называется Бином Ньютона. 	Коэффициенты, стоящие перед слагаемыми – 	Биномиальные коэффициенты.

Слайд 12Биномиальная формула Ньютона

Биномиальная формула Ньютона

Слайд 13
НЬЮТОН - английский математик, механик, астроном и физик,

создатель классической механики. Разработал дифференциальное и интегральное исчисления. Открыл дисперсию света, исследовал интерференцию и дифракцию, развивал корпускулярную теорию света. Построил зеркальный телескоп. Сформулировал основные законы классической механики. Открыл закон всемирного тяготения, создал теорию движения небесных тел, создав основы небесной механики.

1643-1727 г.г.

Исаак Ньютон

НЬЮТОН - английский математик, механик, астроном и физик, создатель классической механики. Разработал дифференциальное и

Слайд 14
Число слагаемых на 1 больше степени бинома.
Коэффициенты находятся по треугольнику

Паскаля.
Коэффициенты симметричны.
Если в скобке знак минус, то знаки + и – чередуются.
Сумма степеней каждого слагаемого равна степени бинома.


Свойства бинома Ньютона

Число слагаемых на 1 больше степени бинома.Коэффициенты находятся по треугольнику Паскаля.Коэффициенты симметричны.Если в скобке знак минус,

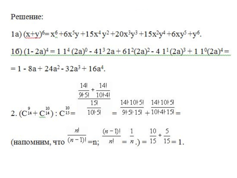
Слайд 15Бином Ньютона.
Пример. Раскрыть скобки: а) б)

Решение. Применим

нашу формулу:
а)

Вычислим все коэффициенты:


В итоге получаем:


б)
Бином Ньютона.	Пример. Раскрыть скобки: а) 	    б)	Решение. Применим нашу формулу:а) 		Вычислим все коэффициенты:	В итоге

Слайд 18Домашнее задание

Домашнее задание

Слайд 19Рефлексия
• Сегодня на уроке я узнал(а) …
• Мне оказались непонятны следующие моменты …
• Мне

понравилось на уроке …
• Я понял(а), что надо еще раз посмотреть тему …

Рефлексия •	Сегодня на уроке я узнал(а) …•	Мне оказались непонятны следующие моменты …•	Мне понравилось на уроке …•	Я понял(а),

Слайд 20Заключение

Наш урок мне хочется закончить словами известного мудреца.
Когда-то давно жил

выдающийся арабский поэт – математик Омар Хайям:
...Мне мудрость не чужда была земная,
Разгадки тайн ища, не ведал сна я
За 70 перевалило мне,
Что ж я узнал! –
Что ничего не знаю.
Как вы думаете, что он этим хотел сказать?


Заключение Наш урок мне хочется закончить словами известного мудреца.Когда-то давно жил выдающийся арабский поэт – математик Омар

Слайд 21Спасибо за урок !

Спасибо за урок !

Что такое shareslide.ru?

Это сайт презентаций, где можно хранить и обмениваться своими презентациями, докладами, проектами, шаблонами в формате PowerPoint с другими пользователями. Мы помогаем школьникам, студентам, учителям, преподавателям хранить и обмениваться учебными материалами.


Для правообладателей

Яндекс.Метрика

Обратная связь

Email: Нажмите что бы посмотреть