Презентация, доклад по математике на тему

Содержание

Амансың ба Алтын күн! Амансың ба Көк аспан" Амансың ба Достарым! Сендерді көрсем қуанам! Амандасу рәсімі:

Слайд 1Ақпанның 12-сі
Қысқаша көбейту формулалары.

Ақпанның 12-сіҚысқаша көбейту формулалары.

Слайд 2Амансың ба Алтын күн! Амансың ба Көк аспан" Амансың ба Достарым!

Сендерді көрсем қуанам!

Амандасу рәсімі:

Амансың ба Алтын күн! Амансың ба Көк аспан

Слайд 3:

Сабақтың мақсаты:
* Оқушылардың қысқаша көбейту формулаларын бүтін өрнектерді түрлендіруде, көпмүшелерді

көбейтуде және көбейткіштерге жіктеуде қолдана білу бейімділіктерін қалыптастыру;
* Оқушылардың математикалық тілдерін, ойлау қабілетерін, теориялық білімдерін практикада қолдана білу дағдысын қалыптастыру;
* Оқушыларды шапшаңдыққа, ізденімпаздыққа, тиянақтылыққа, ұжымдық ауызбіршілікке тәрбиелеу
:Сабақтың мақсаты: 	* Оқушылардың қысқаша көбейту формулаларын бүтін өрнектерді түрлендіруде, көпмүшелерді көбейтуде және көбейткіштерге жіктеуде қолдана білу

Слайд 4




Қысқаша көбейту формулалары

Қысқаша көбейту формулалары

Слайд 5




Қысқаша көбейту формулалары
Екі өрнектің кубтарының айырмасы
Екі өрнектің кубтарының қосындысы
Екі

өрнектің қосындысының кубы

Екі өрнектің айырмасының кубы


Қысқаша көбейту формулалары Екі өрнектің кубтарының айырмасы Екі өрнектің кубтарының қосындысыЕкі өрнектің қосындысының кубыЕкі өрнектің айырмасының кубы

Слайд 6





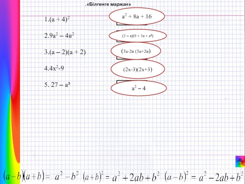
1.(а + 4)2

2.9а2 – 4в2

3.(а – 2)(а +

2)

4.4х2-9

5. 27 – а³

б

і

л

і

м

а2 – 4

(3 – a)(9 + 3a + a²)

(2х-3)(2х+3)

(3а-2в (3а+2в)

а2 + 8а + 16

.«Білгенге маржан»

1.(а + 4)2 2.9а2 – 4в2 3.(а – 2)(а + 2) 4.4х2-9 5. 27 – а³біліма2

Слайд 7.
.«Бірлік болмай, тірлік болмас» (топтық тапсырма)
1.Жұлдызшаның орнына тиісті бірмүшені қойыңдар:
( *

+ 2с)2 = а2 – 4ас + 4с2
(3у + *)2 = 9у2 + 6х3у + х6
(а - *)(а + *) = а2 – 9х2у2
(9 + 10р4)(9 – 10р4) = 81 - *
( * - 9с)2 = 36а4 – 108а2с + 81с2
..«Бірлік болмай, тірлік болмас» (топтық тапсырма)1.Жұлдызшаның орнына тиісті бірмүшені қойыңдар:( * + 2с)2 = а2 – 4ас

Слайд 8




2.Көбейткіштерге жікте
а. а6+у9
ә.(х+1)2-1
б.(х+у)2-(х-у)2
 
в.Өрнекті ықшамда

2.Көбейткіштерге жіктеа. а6+у9ә.(х+1)2-1б.(х+у)2-(х-у)2 в.Өрнекті ықшамда

Слайд 9.
Логикалық тапсырма :
Алманың жартысы неге ұқсас?
2,5 таяқтың неше ұшы бар?


Құлақ не үшін керек?
.Логикалық тапсырма :Алманың жартысы неге ұқсас? 2,5 таяқтың неше ұшы бар? Құлақ не үшін керек?

Слайд 10






3.Іздеген жетер мұратқа... Дәлелде
3273+1733 өрнегінің мәні 500 ге бөлінетінін дәлелде
7313-6313

өрнегінің мәні 100 ге бөлінетінін дәлелде
3.Іздеген жетер мұратқа... Дәлелде3273+1733 өрнегінің мәні 500 ге бөлінетінін дәлелде7313-6313 өрнегінің мәні 100 ге бөлінетінін дәлелде

Слайд 11.
5.«Білікті бірді жығады, білімді мыңды жығады» Графикалық диктант
1) (2а +

1)2 = 4а2 + 4а + 1
2) (2х – у)(2х + у) = 2х2 – у2
3) 16с2 – 25а2 = (4с + 5а)(4с – 5а)
4) (у2 – х3)2 = у4 + 2х3у2 – х6
5) (у2 – х3)2 = у4 - 2х3у2 + х6
6) (3х + 2у)(2у – 3х) = 4у2 – 9х2
7) (5а + 3в)2 = 25а2 + 9в2
8) (4р – 5с)(4р + 5с) = 8р2 – 10с2
9) (3х5+4у2)3=27х15+108x10y2+144х5у4+64у6
10) 64a6-125b9=(4a2-5b3)(16a4+20a2b3+25b6)
Жұптасып тексеру иә ^ ; жоқ
.5.«Білікті бірді жығады, білімді мыңды жығады» Графикалық диктант 1) (2а + 1)2 = 4а2 + 4а +

Слайд 12.
Дұрыс жауаптар кілті: ^_ ^ _ ^ ^ _ _ ^^
Бағалау:

9-10 - дұрыс жауап – «5»
7 – 8 дұрыс жауап – «4»
5 – 6 дұрыс жауап – «3»
0 – 4 дұрыс жауап – «2»
.Дұрыс жауаптар кілті: ^_ ^ _ ^ ^ _ _ ^^Бағалау: 9-10 - дұрыс жауап  –

Слайд 13Үйге тапсырма: §3 а) №452
б) Оза шығаратын оқушыларға тапсырма№455

Үйге тапсырма: §3  а) №452б) Оза шығаратын оқушыларға тапсырма№455

Слайд 14.
Математикада адамды шаттандыратын бір қасиет бар


Дегендей барлығымызға сондай қасиет болсын
Хаусдорф Ф



.Математикада адамды шаттандыратын бір қасиет барДегендей барлығымызға сондай қасиет болсын   Хаусдорф Ф

Что такое shareslide.ru?

Это сайт презентаций, где можно хранить и обмениваться своими презентациями, докладами, проектами, шаблонами в формате PowerPoint с другими пользователями. Мы помогаем школьникам, студентам, учителям, преподавателям хранить и обмениваться учебными материалами.


Для правообладателей

Яндекс.Метрика

Обратная связь

Email: Нажмите что бы посмотреть