Презентация, доклад по математике ЕГЭ по математике

Содержание

B 1  В пачке 500 ли­стов бу­ма­ги фор­ма­та А4. За не­де­лю в офисе рас­хо­ду­ет­ся 1200 ли­стов. Какое наи­мень­шее ко­ли­че­ство пачек бу­ма­ги нужно ку­пить в офис на 4 не­де­ли? Ре­ше­ние.За 4 не­де­ли в офисе рас­хо­ду­ет­ся 1200*4 = 4800 ли­стов бу­ма­ги. Раз­де­лим 4800

Слайд 1 ЕГЭ ПО МАТЕМАТИКЕ
Учитель: М.

А. Терентьева
МБОУ СОШ № 18

11 класс

ЕГЭ ПО МАТЕМАТИКЕ Учитель: М. А. ТерентьеваМБОУ СОШ № 1811

Слайд 2B 1  В пачке 500 ли­стов бу­ма­ги фор­ма­та А4. За не­де­лю в офисе

рас­хо­ду­ет­ся 1200 ли­стов. Какое наи­мень­шее ко­ли­че­ство пачек бу­ма­ги нужно ку­пить в офис на 4 не­де­ли?
 
Ре­ше­ние.
За 4 не­де­ли в офисе рас­хо­ду­ет­ся 1200*4 = 4800 ли­стов бу­ма­ги. Раз­де­лим 4800 на 500:


  
 

Ответ: 10.

Зна­чит, нужно ку­пить не мень­ше 10 пачек.

B 1  В пачке 500 ли­стов бу­ма­ги фор­ма­та А4. За не­де­лю в офисе рас­хо­ду­ет­ся 1200 ли­стов. Какое наи­мень­шее ко­ли­че­ство

Слайд 3 B 2  Пачка сли­воч­но­го масла стоит 60 руб­лей. Пен­си­о­не­рам ма­га­зин де­ла­ет скид­ку

5%. Сколь­ко руб­лей за­пла­тит пен­си­о­нер за пачку масла?
 


Ре­ше­ние.
Скид­ка на пачку сли­воч­но­го масла со­став­ля­ет 60 
0,05 = 3 рубля. Зна­чит, пен­си­о­нер за пачку масла
за­пла­тит 60 − 3 = 57 руб­лей.
Ответ: 57.

B 2  Пачка сли­воч­но­го масла стоит 60 руб­лей. Пен­си­о­не­рам ма­га­зин де­ла­ет скид­ку 5%. Сколь­ко руб­лей за­пла­тит пен­си­о­нер за

Слайд 4B 3 На гра­фи­ке по­ка­зан про­цесс разо­гре­ва дви­га­те­ля лег­ко­во­го ав­то­мо­би­ля. На оси абс­цисс

от­кла­ды­ва­ет­ся время в ми­ну­тах, про­шед­шее от за­пус­ка дви­га­те­ля, на оси ор­ди­нат — тем­пе­ра­ту­ра дви­га­те­ля в гра­ду­сах Цель­сия. Опре­де­ли­те по гра­фи­ку, сколь­ко минут дви­га­тель на­гре­вал­ся от тем­пе­ра­ту­ры 60 °C до тем­пе­ра­ту­ры 90 °C.
 

 

Ре­ше­ние.
Из гра­фи­ка видно, что дви­га­тель на­гре­вал­ся от тем­пе­ра­ту­ры 60 °C до тем­пе­ра­ту­ры 90 °C с 5-й по 8-ю ми­ну­ту, таким об­ра­зом, он на­гре­вал­ся 3 ми­ну­ты.
  Ответ: 3.

B 3 На гра­фи­ке по­ка­зан про­цесс разо­гре­ва дви­га­те­ля лег­ко­во­го ав­то­мо­би­ля. На оси абс­цисс от­кла­ды­ва­ет­ся время в ми­ну­тах, про­шед­шее от

Слайд 5B 4 Ке­ра­ми­че­ская плит­ка одной и той же тор­го­вой марки вы­пус­ка­ет­ся трёх раз­ных

раз­ме­ров. Плит­ки упа­ко­ва­ны в пачки. Поль­зу­ясь дан­ны­ми таб­ли­цы, опре­де­ли­те, в каком слу­чае цена од­но­го квад­рат­но­го метра плит­ки будет наи­мень­шей.
 
 

 
 
В ответ за­пи­ши­те най­ден­ную наи­мень­шую цену квад­рат­но­го метра в руб­лях.
 

B 4 Ке­ра­ми­че­ская плит­ка одной и той же тор­го­вой марки вы­пус­ка­ет­ся трёх раз­ных раз­ме­ров. Плит­ки упа­ко­ва­ны в пачки. Поль­зу­ясь

Слайд 6Ре­ше­ние.
Рас­смот­рим все ва­ри­ан­ты.
Цена одной плит­ки 20х20 равна 604 : 25 = 24,16 руб., ее пло­щадь

равна 400 кв. см, по­это­му цена од­но­го кв. см. равна 24,16 : 400 = 0,0604 руб.
Цена одной плит­ки 20х30 равна 595,2 : 16 = 37,2 руб., ее пло­щадь равна 600 кв. см, по­это­му цена од­но­го кв. см. равна 37,2 : 600 = 0,062 руб.
Цена одной плит­ки 30х30 равна 594 : 11 = 54 руб., ее пло­щадь равна 900 кв. см, по­это­му цена од­но­го кв. см. равна 54 : 900 = 0,06 руб.
Сле­до­ва­тель­но, наи­мень­шую цену имеет плит­ка раз­ме­ром 30х30. По­сколь­ку 1 кв. м. = 10 000 кв. см, цена од­но­го квад­рат­но­го метра этой плит­ки равна 0,06 · 10 000 = 600 руб.
 
Ответ: 600.
Ре­ше­ние.Рас­смот­рим все ва­ри­ан­ты.Цена одной плит­ки 20х20 равна 604 : 25 = 24,16 руб., ее пло­щадь равна 400 кв. см, по­это­му цена

Слайд 7B 5 Най­ди­те пло­щадь сек­то­ра круга ра­ди­у­са 1, длина дуги ко­то­ро­го равна 2.



Ре­ше­ние.
Пло­щадь

сек­то­ра круга с дугой n° равна про­из­ве­де­нию пло­ща­ди окруж­но­сти с ра­ди­у­сом R на от­но­ше­ние угла сек­то­ра n° к углу пол­ной окруж­но­сти, т.е. 360°, сле­до­ва­тель­но,
 


.
Длина дуги сек­то­ра опре­де­ля­ет­ся фор­му­лой:
 


,тогда

.
Под­став­ляя по­лу­чен­ное вы­ра­же­ние в фор­му­лу для пло­ща­ди сек­то­ра круга, по­лу­ча­ем:
 


.
Ответ: 1.

B 5 Най­ди­те пло­щадь сек­то­ра круга ра­ди­у­са 1, длина дуги ко­то­ро­го равна 2.Ре­ше­ние.Пло­щадь сек­то­ра круга с дугой n° равна

Слайд 8B 6  Перед на­ча­лом во­лей­боль­но­го матча ка­пи­та­ны ко­манд тянут чест­ный жре­бий, чтобы опре­де­лить,

какая из ко­манд начнёт игру с мячом. Ко­ман­да «Ста­тор» по оче­ре­ди иг­ра­ет с ко­ман­да­ми «Ротор», «Мотор» и «Стар­тер». Най­ди­те ве­ро­ят­ность того, что «Ста­тор» будет на­чи­нать толь­ко первую и по­след­нюю игры.

Ре­ше­ние.
Тре­бу­ет­ся найти ве­ро­ят­ность про­из­ве­де­ния трех со­бы­тий: «Ста­тор» на­чи­на­ет первую игру, не на­чи­на­ет вто­рую игру, на­чи­на­ет тре­тью игру. Ве­ро­ят­ность про­из­ве­де­ния не­за­ви­си­мых со­бы­тий равна про­из­ве­де­нию ве­ро­ят­но­стей этих со­бы­тий. Ве­ро­ят­ность каж­до­го из них равна 0,5, от­ку­да на­хо­дим: 0,5·0,5·0,5 = 0,125.
 
Ответ: 0,125.
B 6  Перед на­ча­лом во­лей­боль­но­го матча ка­пи­та­ны ко­манд тянут чест­ный жре­бий, чтобы опре­де­лить, какая из ко­манд начнёт игру с

Слайд 9B 7 Най­ди­те ко­рень урав­не­ния 
.

Ре­ше­ние. Воз­ве­дем в квад­рат:

.
Ответ: 35.

B 7 Най­ди­те ко­рень урав­не­ния .Ре­ше­ние. Воз­ве­дем в квад­рат:.Ответ: 35.

Слайд 10B 8 В тре­уголь­ни­ке 
 
,тан­генс внеш­не­го угла при вер­ши­не А
 равен 
.
Най­ди­те 
.
Ре­ше­ние.
 


.
Ответ: 8.

B 8 В тре­уголь­ни­ке  ,тан­генс внеш­не­го угла при вер­ши­не А равен . Най­ди­те .Ре­ше­ние. .Ответ: 8.

Слайд 11B 9  Ма­те­ри­аль­ная точка дви­жет­ся пря­мо­ли­ней­но по за­ко­ну 
 (где x — рас­сто­я­ние от точки

от­сче­та в мет­рах, t — время в се­кун­дах, из­ме­рен­ное с на­ча­ла дви­же­ния). В какой мо­мент вре­ме­ни (в се­кун­дах) ее ско­рость была равна 2 м/с?

 Ре­ше­ние.
Най­дем закон из­ме­не­ния ско­ро­сти: 

 м/с. Чтобы найти, в какой мо­мент вре­ме­ни  ско­рость была равна 2 м/с, решим урав­не­ние:

  


 
 
Ответ: 7.

B 9  Ма­те­ри­аль­ная точка дви­жет­ся пря­мо­ли­ней­но по за­ко­ну  (где x — рас­сто­я­ние от точки от­сче­та в мет­рах, t — время в

Слайд 12
B 10   Пло­щадь бо­ко­вой по­верх­но­сти ци­лин­дра равна 14 П, а диа­метр

ос­но­ва­ния равен 2. Най­ди­те вы­со­ту ци­лин­дра.

Ре­ше­ние.
вы­со­та ци­лин­дра равна
 

 


Ответ: 7.

B 10   Пло­щадь бо­ко­вой по­верх­но­сти ци­лин­дра равна 14 П, а диа­метр ос­но­ва­ния равен 2. Най­ди­те вы­со­ту ци­лин­дра.Ре­ше­ние.вы­со­та

Слайд 13B 11  Най­ди­те зна­че­ние вы­ра­же­ния 

 при n>0

.

Ре­ше­ние. Вы­пол­ним пре­об­ра­зо­ва­ния:

.
Ответ: 6.

B 11  Най­ди­те зна­че­ние вы­ра­же­ния  при n>0.          Ре­ше­ние.  Вы­пол­ним пре­об­ра­зо­ва­ния:.Ответ:

Слайд 14B 12 
Ско­рость ав­то­мо­би­ля, раз­го­ня­ю­ще­го­ся с места стар­та по пря­мо­ли­ней­но­му от­рез­ку пути дли­ной 

l км с по­сто­ян­ным уско­ре­ни­ем  а км/ч2, вы­чис­ля­ет­ся по формуле 

Опре­де­ли­те, с какой наи­мень­шей ско­ро­стью будет дви­гать­ся ав­то­мо­биль на рас­сто­я­нии 1 ки­ло­мет­ра от стар­та, если по кон­струк­тив­ным осо­бен­но­стям ав­то­мо­би­ля при­об­ре­та­е­мое им уско­ре­ние не мень­ше 5000 км/ч2. Ответ вы­ра­зи­те в км/ч.

B 12 Ско­рость ав­то­мо­би­ля, раз­го­ня­ю­ще­го­ся с места стар­та по пря­мо­ли­ней­но­му от­рез­ку пути дли­ной  l км с по­сто­ян­ным уско­ре­ни­ем  а км/ч2,

Слайд 15РЕ­ШЕ­НИЕ.
Най­дем, при какой ско­ро­сти ав­то­мо­биль при­об­ре­та­ет уско­ре­ние 5000 км/ч2. За­да­ча сво­дит­ся

к ре­ше­нию урав­не­ния   

при за­дан­ном зна­че­нии расстояния    км:
 


Если ско­рость будет пре­вос­хо­дить най­ден­ную, то уско­ре­ние ав­то­мо­би­ля более 5000 км/ч2, по­это­му ми­ни­маль­ная не­об­хо­ди­мая ско­рость равна 100 км/ч. Ответ: 100.





РЕ­ШЕ­НИЕ. Най­дем, при какой ско­ро­сти ав­то­мо­биль при­об­ре­та­ет уско­ре­ние 5000 км/ч2. За­да­ча сво­дит­ся к ре­ше­нию урав­не­ния   при за­дан­ном

Слайд 16B 13 КОНУС ПО­ЛУ­ЧА­ЕТ­СЯ ПРИ ВРА­ЩЕ­НИИ РАВ­НО­БЕД­РЕН­НО­ГО ПРЯ­МО­УГОЛЬ­НО­ГО ТРЕ­УГОЛЬ­НИ­КА АВС  ВО­КРУГ КА­ТЕ­ТА, РАВ­НО­ГО

6. НАЙ­ДИ­ТЕ ЕГО ОБЪЕМ, ДЕ­ЛЕН­НЫЙ НА НА ∏ .
B 13 КОНУС ПО­ЛУ­ЧА­ЕТ­СЯ ПРИ ВРА­ЩЕ­НИИ РАВ­НО­БЕД­РЕН­НО­ГО ПРЯ­МО­УГОЛЬ­НО­ГО ТРЕ­УГОЛЬ­НИ­КА АВС  ВО­КРУГ КА­ТЕ­ТА, РАВ­НО­ГО 6. НАЙ­ДИ­ТЕ ЕГО ОБЪЕМ, ДЕ­ЛЕН­НЫЙ НА НА ∏

Слайд 18B 14 
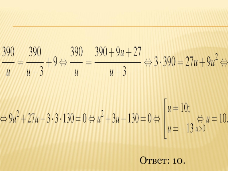
При­ста­ни   и   рас­по­ло­же­ны на озере, рас­сто­я­ние между ними 390 км. Баржа

от­пра­ви­лась с по­сто­ян­ной ско­ро­стью из  А  в В . На сле­ду­ю­щий день после при­бы­тия она от­пра­ви­лась об­рат­но со ско­ро­стью на 3 км/ч боль­ше преж­ней, сде­лав по пути оста­нов­ку на 9 часов. В ре­зуль­та­те она за­тра­ти­ла на об­рат­ный путь столь­ко же вре­ме­ни, сколь­ко на путь из А  в  В . Най­ди­те ско­рость баржи на пути из А  в  В . Ответ дайте в км/ч.

B 14 При­ста­ни   и   рас­по­ло­же­ны на озере, рас­сто­я­ние между ними 390 км. Баржа от­пра­ви­лась с по­сто­ян­ной ско­ро­стью из  А

Слайд 19РЕ­ШЕ­НИЕ.
Пусть  и  км/ч – ско­рость баржи на пути из  А  в

В  , тогда ско­рость баржи на пути из  В в  А (и+3) км/ч. На об­рат­ном пути баржа сде­ла­ла оста­нов­ку на 9 часов, и в ре­зуль­та­те она за­тра­ти­ла на об­рат­ный путь столь­ко же вре­ме­ни, сколь­ко и на пря­мой, от­сю­да имеем:

РЕ­ШЕ­НИЕ. Пусть  и  км/ч – ско­рость баржи на пути из  А  в В  , тогда ско­рость баржи

Слайд 20
Ответ: 10.

Ответ: 10.

Слайд 21B 15 
 Най­ди­те наи­мень­шее зна­че­ние функ­ции   



на от­рез­ке 

B 15  Най­ди­те наи­мень­шее зна­че­ние функ­ции   

Слайд 22РЕ­ШЕ­НИЕ.
Най­дем про­из­вод­ную за­дан­ной функ­ции:

Най­дем нули про­из­вод­ной на за­дан­ном от­рез­ке:





РЕ­ШЕ­НИЕ. Най­дем про­из­вод­ную за­дан­ной функ­ции:Най­дем нули про­из­вод­ной на за­дан­ном от­рез­ке:

Слайд 23
Опре­де­лим знаки про­из­вод­ной функ­ции на за­дан­ном от­рез­ке и изоб­ра­зим на ри­сун­ке

по­ве­де­ние функ­ции:



Опре­де­лим знаки про­из­вод­ной функ­ции на за­дан­ном от­рез­ке и изоб­ра­зим на ри­сун­ке по­ве­де­ние функ­ции:

Слайд 24
В точке    за­дан­ная функ­ция имеет

ми­ни­мум, яв­ля­ю­щий­ся ее наи­мень­шим зна­че­ни­ем на за­дан­ном от­рез­ке. Най­дем это наи­мень­шее зна­че­ние:

Ответ: −2.

В точке         за­дан­ная функ­ция имеет ми­ни­мум, яв­ля­ю­щий­ся ее наи­мень­шим зна­че­ни­ем на

Слайд 25 СПАСИБО ЗА ВНИМАНИЕ

СПАСИБО ЗА ВНИМАНИЕ

Что такое shareslide.ru?

Это сайт презентаций, где можно хранить и обмениваться своими презентациями, докладами, проектами, шаблонами в формате PowerPoint с другими пользователями. Мы помогаем школьникам, студентам, учителям, преподавателям хранить и обмениваться учебными материалами.


Для правообладателей

Яндекс.Метрика

Обратная связь

Email: Нажмите что бы посмотреть