Презентация, доклад по математике 6 класса по теме Умножение и деление дробей

Как выполнить умножение и деление положительных дробей?

Слайд 1


Слайд 2Как выполнить умножение и деление положительных дробей?

Как выполнить умножение и деление положительных дробей?

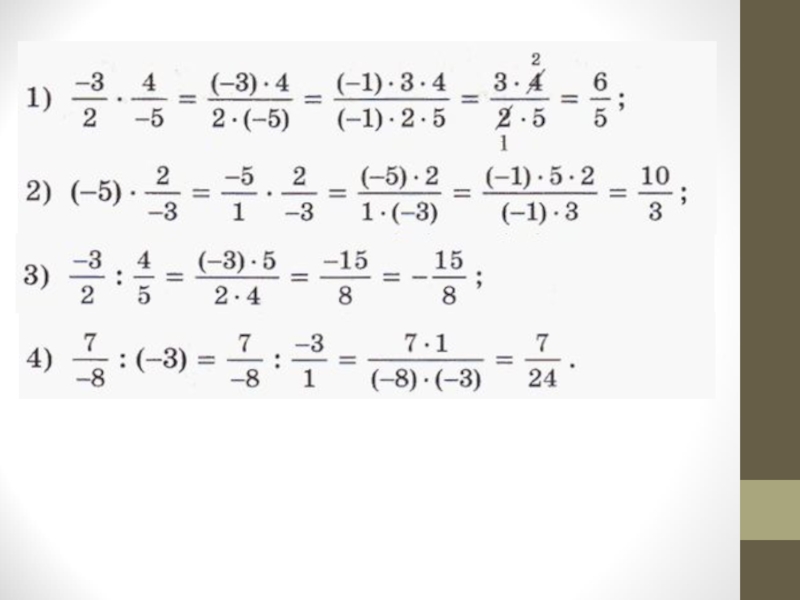
Слайд 3Как выполнить умножение и деление дробей любого знака?

Как выполнить умножение и деление дробей любого знака?

Слайд 8Приведите примеры взаимно обратных чисел.
Найдите определение взаимно обратных чисел в учебнике.

Приведите примеры взаимно обратных чисел.Найдите определение взаимно обратных чисел в учебнике.

Слайд 9Чему равно произведение взаимно обратных чисел?

Чему равно произведение взаимно обратных чисел?

Слайд 10Как разделить дроби?

Как разделить дроби?

Слайд 11Физкультминутка
Быстро встали, улыбнулись
Выше-выше потянулись
Ну-ка плечи распрямите
Подышите, опустите.
Вправо,

влево повернитесь
Рук коленями коснитесь
Сели, встали, сели, встали
И на месте побежали.
ФизкультминуткаБыстро встали, улыбнулись Выше-выше потянулись Ну-ка плечи распрямите Подышите, опустите. Вправо, влево повернитесь Рук коленями коснитесь Сели,

Что такое shareslide.ru?

Это сайт презентаций, где можно хранить и обмениваться своими презентациями, докладами, проектами, шаблонами в формате PowerPoint с другими пользователями. Мы помогаем школьникам, студентам, учителям, преподавателям хранить и обмениваться учебными материалами.


Для правообладателей

Яндекс.Метрика

Обратная связь

Email: Нажмите что бы посмотреть