Презентация, доклад по математике 6 класс Сложение и вычитание смешанных чисел

Содержание

Цели урока

Слайд 1Тема урока: «СЛОЖЕНИЕ И ВЫЧИТАНИЕ СМЕШАННЫХ ЧИСЕЛ»
урок № 5
6 класс
Учебник: Виленкин

Н.Я.

Автор: Гориченко Анна Владимировна, учитель МБОУ «Средняя общеобразовательная школа № 46 г. Владивостока»



Тема урока: «СЛОЖЕНИЕ И ВЫЧИТАНИЕ СМЕШАННЫХ ЧИСЕЛ»урок № 56 классУчебник: Виленкин Н.Я.Автор:  Гориченко Анна Владимировна, учитель

Слайд 2Цели урока

Цели урока

Слайд 3Планируемые результаты

Планируемые результаты

Слайд 4Этапы урока:
Организационный момент
Актуализация знаний
Закрепление материала
Физкультминутка
Контроль усвоения учебного материала
Итог урока
Домашнее задание

Этапы урока:Организационный моментАктуализация знанийЗакрепление материалаФизкультминуткаКонтроль усвоения учебного материалаИтог урокаДомашнее задание

Слайд 51 этап - организационный
Результаты: готовность учащихся к учебной деятельности.

1 этап - организационныйРезультаты: готовность учащихся к учебной деятельности.

Слайд 62 этап – актуализация знаний
Результаты: понимать смысл поставленной задачи, выстраивать аргументацию,

делать выводы.
2 этап – актуализация знанийРезультаты: понимать смысл поставленной задачи, выстраивать аргументацию, делать выводы.

Слайд 7Устный счёт
 
= 18
 

Устный счёт  = 18 

Слайд 83 этап – закрепление материала
Результаты: умение ясно, точно, грамотно излагать свои

мысли, умение действовать в соответствии с предложенным алгоритмом, логическое обоснование.
3 этап – закрепление материала Результаты: умение ясно, точно, грамотно излагать свои мысли, умение действовать в соответствии

Слайд 9задание
 

задание 

Слайд 10Решите уравнение
 

Решите уравнение 

Слайд 11Найдите корень уравнения
 

Найдите корень уравнения 

Слайд 12 Физминутка
Результаты: Сбережение здоровья.

Физминутка Результаты: Сбережение здоровья.

Слайд 13Решить задачу № 394 (стр. 63)
 

Решить задачу № 394 (стр. 63)  

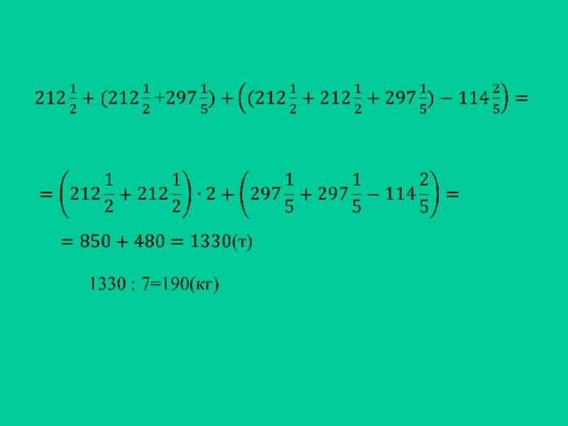
Слайд 14Решение:
 

Решение:   

Слайд 164 этап – контроль усвоения учебного материала
Результаты: применять изученные понятия для

решения задач практического характера и уравнений.
4 этап – контроль усвоения учебного материала Результаты: применять изученные понятия для решения задач практического характера и

Слайд 175 этап – итог урока
Результаты: понимать смысл поставленной задачи, способность к

рассуждениям.
5 этап – итог урока  Результаты: понимать смысл поставленной задачи, способность к рассуждениям.

Слайд 186 этап – домашнее задание
Результаты: применять изученные свойства при решении заданий,

креативность мышления, находчивость.
6 этап – домашнее задание  Результаты: применять изученные свойства при решении заданий, креативность мышления, находчивость.

Слайд 19Самостоятельная работа по вариантам

Самостоятельная работа по вариантам

Что такое shareslide.ru?

Это сайт презентаций, где можно хранить и обмениваться своими презентациями, докладами, проектами, шаблонами в формате PowerPoint с другими пользователями. Мы помогаем школьникам, студентам, учителям, преподавателям хранить и обмениваться учебными материалами.


Для правообладателей

Яндекс.Метрика

Обратная связь

Email: Нажмите что бы посмотреть