Презентация, доклад по математике 1 курс СПО,НПО на тему Тригонометрические уравнения

Верно ли, что:

Слайд 1ТРИГОНОМЕТРИЧЕСКИЕ
УРАВНЕНИЯ

ТРИГОНОМЕТРИЧЕСКИЕУРАВНЕНИЯ

Слайд 2Верно ли, что:

Верно ли, что:

Слайд 3Имеют ли смысл выражения:

Имеют ли смысл выражения:

Слайд 4Решить уравнение:



Решить уравнение:

Слайд 5Пример 1. Решить уравнение

2 sin2x + sinx - 1 = 0.

Решение.
Введём новую переменную t = sinx. Тогда данное уравнение примет вид 2t2 + t - 1 = 0.

Решим его: D = 1 + 8 = 9,

Cледовательно,
sinx = 1/2 или sinx = -1.

Пример 1. Решить уравнение         2 sin2x + sinx -

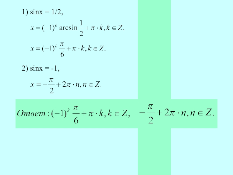
Слайд 61) sinx = 1/2,

2) sinx = -1,


1) sinx = 1/2,  2) sinx = -1,

Слайд 7Решение.
Заменяя sin2x на 1-сos2x, получим квадратное уравнение относительно сosx.
6 (

1-cos2x ) + 5 cosx - 2 = 0,
-6 cos2x + 5cosx + 4 = 0,
6 cos2x - 5cosx - 4 = 0.

Пусть cos x = t, тогда 6t2 - 5t - 4 = 0,
t1= - 1/2, t2 = 4/3.

Решение.Заменяя sin2x на 1-сos2x, получим квадратное уравнение относительно сosx. 6 ( 1-cos2x ) + 5 cosx -

Слайд 8
Cледовательно, сos x = - 1/2 или cos x = 4/3.

Уравнение

cos x = 4/3 не имеет решений, так как 4/3 > 1.

Решая уравнение сos x = -1/2, находим:

Cледовательно, сos x = - 1/2 или cos x = 4/3.Уравнение cos x = 4/3 не имеет

Слайд 9Пример 3. Решить уравнение

tgx + 2ctgx = 3.

то уравнение можно записать в виде:


Обозначим tgx через t. Получим уравнение


которое приводится к квадратному t2 - 3t + 2 = 0,



Пример 3. Решить уравнение         tgx + 2ctgx = 3.

Слайд 10t2 - 3t + 2 = 0.
По теореме, обратной теореме Виета,


t1 = 2, t2=1.




t2 - 3t + 2 = 0.По теореме, обратной теореме Виета, t1 = 2,   t2=1.

Слайд 11Пример 4. sin2 4x = 1/4

cos 2x

=1/2

Решение.

Х= ±π/6 + πn; n Є Ζ

Пример 4.    sin2 4x = 1/4 cos 2x =1/2Решение.Х= ±π/6 + πn; n Є

Слайд 12Пример 5. 3 sin x +4 cos x =0;
Решение.
Поделим обе части

уравнения на cos x ≠ 0.

3 tg x + 4 =0 ;

tg x = -4/3 ;

Пример 5. 3 sin x +4 cos x =0;Решение.Поделим обе части уравнения на cos x ≠ 0.3

Что такое shareslide.ru?

Это сайт презентаций, где можно хранить и обмениваться своими презентациями, докладами, проектами, шаблонами в формате PowerPoint с другими пользователями. Мы помогаем школьникам, студентам, учителям, преподавателям хранить и обмениваться учебными материалами.


Для правообладателей

Яндекс.Метрика

Обратная связь

Email: Нажмите что бы посмотреть