Презентация, доклад по математическому анализу на тему Интеграл от функции комплексного переменного

План1. Определение интеграла.2. Основные свойства интеграла.3. Вычисление интеграла.4. Заключение.

Слайд 1Интеграл от функции комплексного переменного
Доцент Р.М.Тургунбаев

Интеграл от функции комплексного переменногоДоцент Р.М.Тургунбаев

Слайд 2План
1. Определение интеграла.
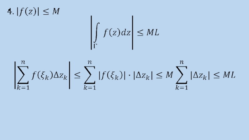
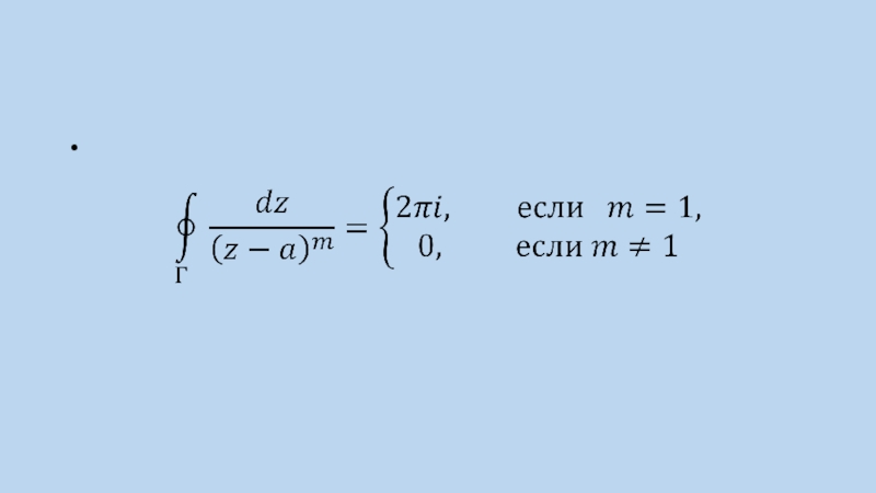
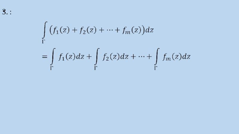
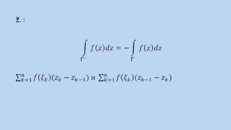
2. Основные свойства интеграла.
3. Вычисление интеграла.
4. Заключение.

План1. Определение интеграла.2. Основные свойства интеграла.3. Вычисление интеграла.4. Заключение.

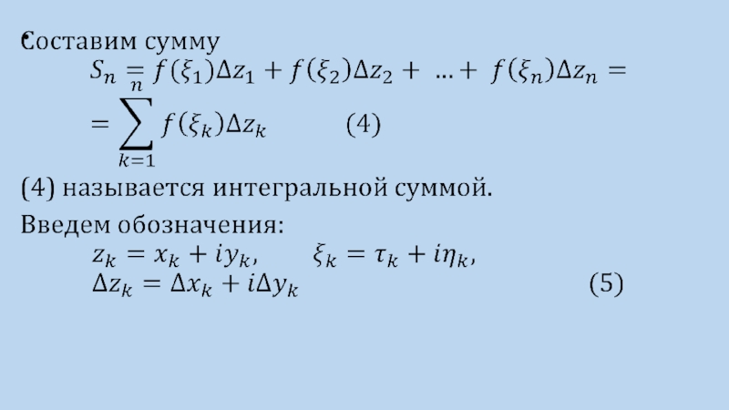
Слайд 31. Определение интеграла

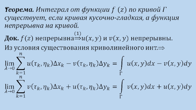
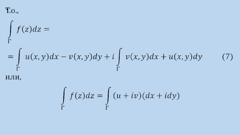
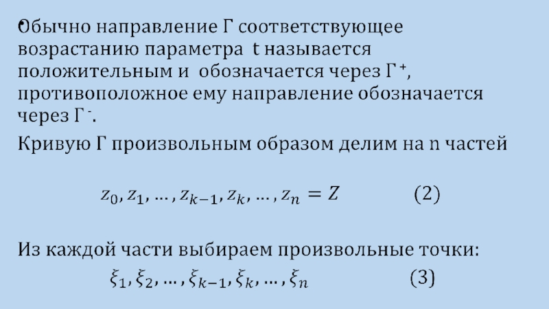
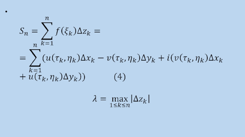
1. Определение интеграла

Слайд 4Г
Е
Z()
Z()
Zk-1
z0 =
z1
Zn-1
z2
zk
k
1
y
x
(z)
k
k
O

ГЕZ()Z()Zk-1z0 =z1Zn-1z2zkk1yx(z)kkO

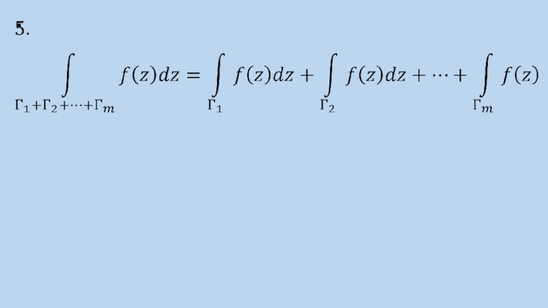
Слайд 142. Основные свойства интеграла

2. Основные свойства интеграла

Что такое shareslide.ru?

Это сайт презентаций, где можно хранить и обмениваться своими презентациями, докладами, проектами, шаблонами в формате PowerPoint с другими пользователями. Мы помогаем школьникам, студентам, учителям, преподавателям хранить и обмениваться учебными материалами.


Для правообладателей

Яндекс.Метрика

Обратная связь

Email: Нажмите что бы посмотреть