Презентация, доклад по математическому анализу на тему Теорема Коши. Интегральная формула Коши

План Теорема КошиНеопределенный интегралИнтегральная формула Коши Бесконечная дифференцируемость аналитической функции

Слайд 1Теорема Коши. Интегральная формула Коши доцент Р.М.Тургунбаев

Теорема Коши. Интегральная формула Коши доцент Р.М.Тургунбаев

Слайд 2План
Теорема Коши
Неопределенный интеграл
Интегральная формула Коши
Бесконечная дифференцируемость аналитической функции

План Теорема КошиНеопределенный интегралИнтегральная формула Коши Бесконечная дифференцируемость аналитической функции

Слайд 3Теорема Коши
EE
D’
Г
D

Теорема КошиEED’ГD

Слайд 7Г
z
z0
Г
Г
1
2
Г

Гzz0ГГ12Г

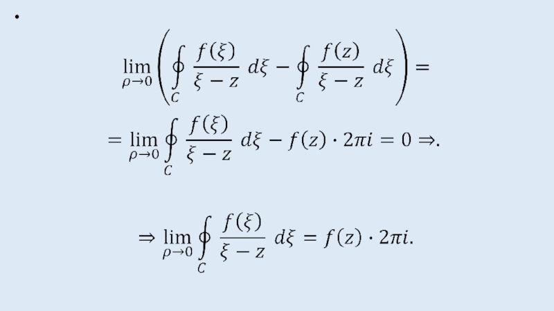
Слайд 10Интегральная формула Коши

Интегральная формула Коши

Слайд 17Бесконечная дифференцируемость аналитической функции

Бесконечная дифференцируемость аналитической функции

Слайд 18Самостоятельная работа
Последовательности и ряды ФКП.
Степенные ряды
Теорема Абеля.
Радиус и область сходимости

степенного ряда
Формула Коши-Адамара
Аналитичность суммы степенного ряда

Конспектировать
Самостоятельная работаПоследовательности и ряды ФКП. Степенные рядыТеорема Абеля.Радиус и область сходимости степенного рядаФормула Коши-АдамараАналитичность суммы степенного рядаКонспектировать

Что такое shareslide.ru?

Это сайт презентаций, где можно хранить и обмениваться своими презентациями, докладами, проектами, шаблонами в формате PowerPoint с другими пользователями. Мы помогаем школьникам, студентам, учителям, преподавателям хранить и обмениваться учебными материалами.


Для правообладателей

Яндекс.Метрика

Обратная связь

Email: Нажмите что бы посмотреть