Презентация, доклад по алгебре на тему Умножение и деление алгебраических дробей

Повторить правила умножения, деления и возведения в степень числовых дробей;Изучить алгоритм умножения и деления алгебраических дробей;Научиться выполнять действия умножения и деления алгебраических дробейЦели:.

Слайд 1ТЕМА УРОКА: «УМНОЖЕНИЕ И ДЕЛЕНИЕ АЛГЕБРАИЧЕСКИХ ДРОБЕЙ»

ТЕМА УРОКА:  «УМНОЖЕНИЕ И ДЕЛЕНИЕ  АЛГЕБРАИЧЕСКИХ ДРОБЕЙ»

Слайд 2Повторить правила умножения, деления и возведения в степень числовых дробей;
Изучить алгоритм

умножения и деления алгебраических дробей;
Научиться выполнять действия умножения и деления алгебраических дробей

Цели:


.

Повторить правила умножения, деления и возведения в степень числовых дробей;Изучить алгоритм умножения и деления алгебраических дробей;Научиться выполнять

Слайд 31) Разложить на множители:




Устная работа:





1) Разложить на множители:

Слайд 4







Сократить дробь:
2.
3.

1.

Сократить дробь:2.3.1.

Слайд 5Вспомним!

Вспомним!

Слайд 6Вычислить:
Взаимно обратные числа.
Найти дробь, обратную:







Вычислить:  Взаимно обратные числа.   Найти дробь, обратную:

Слайд 7
Разделить дроби:




Разделить дроби:

Слайд 8Над алгебраическими дробями можно осуществлять преобразования аналогичные тем, которые указали
для

обыкновенной дроби.

Изучение новой темы

Прежде, чем выполнять умножение и деление
алгебраических дробей, полезно их числители
и знаменатели разложить на множители – это
облегчит сокращение той алгебраической дроби,
которая получится в результате умножения
или деления.

Внимание!

Над алгебраическими дробями можно осуществлять преобразования аналогичные тем, которые указали для обыкновенной дроби.Изучение новой темыПрежде, чем выполнять

Слайд 9
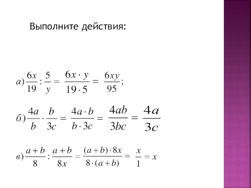
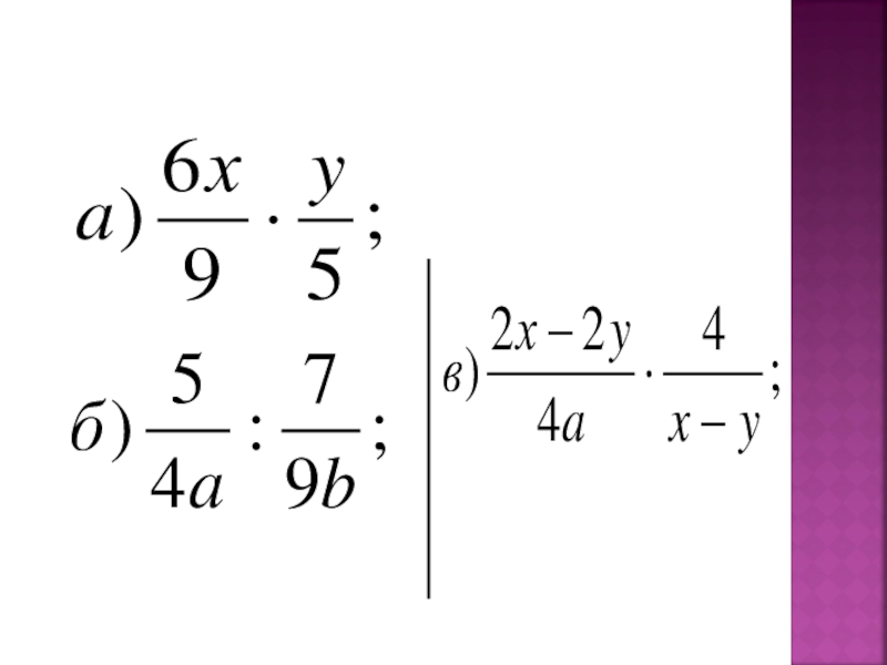
Выполните действия:






Выполните действия:

Слайд 11 ПРОВЕРЬТЕ, ПОЖАЛУЙСТА:


а)



б)



в)


ПРОВЕРЬТЕ, ПОЖАЛУЙСТА: а)б)в)

Слайд 12VΙ. ИТОГ УРОКА. САМОСТОЯТЕЛЬНАЯ РАБОТА

В – 1 В – 2 Выполнить умножение или деление:









VΙ. ИТОГ УРОКА.      САМОСТОЯТЕЛЬНАЯ РАБОТА   В – 1

Что такое shareslide.ru?

Это сайт презентаций, где можно хранить и обмениваться своими презентациями, докладами, проектами, шаблонами в формате PowerPoint с другими пользователями. Мы помогаем школьникам, студентам, учителям, преподавателям хранить и обмениваться учебными материалами.


Для правообладателей

Яндекс.Метрика

Обратная связь

Email: Нажмите что бы посмотреть