Презентация, доклад к уроку Производная функции

Допишите правую часть равенства:

Слайд 1Правила дифференцирования: производные суммы, разности, произведения и частного. Производные основных элементарных

функций
Правила дифференцирования: производные суммы, разности, произведения и частного. Производные основных элементарных функций

Слайд 2Допишите правую часть равенства:



Допишите правую часть равенства:

Слайд 3Найдите соответствие между функцией и ее производной:

Найдите соответствие между функцией и ее производной:

Слайд 6Задание 1. Найдите корни уравнения

1.

2.

Задание 1. Найдите корни уравнения 1. 2.

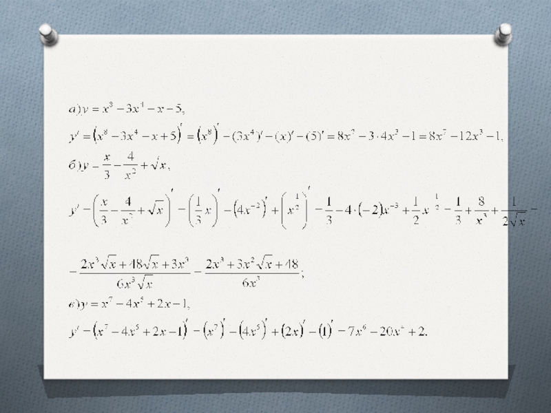
Слайд 8Задание 2. Найти производную функций
1.



2.

3.

4.

Задание 2.  Найти производную функций1.

Слайд 9Задание 2. Найти производную функций
1.



2.

3.

4.

Задание 2.  Найти производную функций1.

Слайд 10Задание 3. Найти пары
x
x
x
y
y
y
x
x
x
y
y
y
1
2
3
4
5
6

Задание 3. Найти пары xxxyyyxxxyyy123456

Слайд 11Задание 4. Найдите ошибку:









Задание 4. Найдите ошибку:

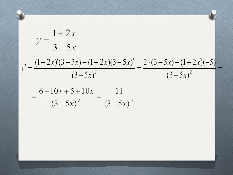
Слайд 12Задание 5. Найти производную.

Задание 5. Найти производную.

Слайд 14Задание 6. Решите уравнение ,

если

; g(x) =

Задание 6. Решите уравнение        , если

Слайд 15Задание 7. Найдите значение производной функции

в точке .
Задание 7. Найдите значение производной функции

Слайд 16Самостоятельная работа

Самостоятельная работа

Слайд 17Дополнительно
Дана функция f(х) = х3 +5х2 +4х + 2

Решить уравнение:

f `(х) = f(1)
ДополнительноДана функция f(х) = х3 +5х2 +4х + 2 Решить уравнение: f `(х) = f(1)

Слайд 18Домашнее задание:
Учебник «Алгебра и начала математического анализа

10-11» Ш.А. Алимова
№№ 869 (1-4), 870 (3,4), 873
Домашнее задание:  Учебник «Алгебра и начала математического анализа  10-11» Ш.А. Алимова   №№ 869

Что такое shareslide.ru?

Это сайт презентаций, где можно хранить и обмениваться своими презентациями, докладами, проектами, шаблонами в формате PowerPoint с другими пользователями. Мы помогаем школьникам, студентам, учителям, преподавателям хранить и обмениваться учебными материалами.


Для правообладателей

Яндекс.Метрика

Обратная связь

Email: Нажмите что бы посмотреть