Презентация, доклад к уроку Корень кубический

Вычислите

Слайд 1Вычислите

Вычислите

Слайд 2Вычислите

Вычислите

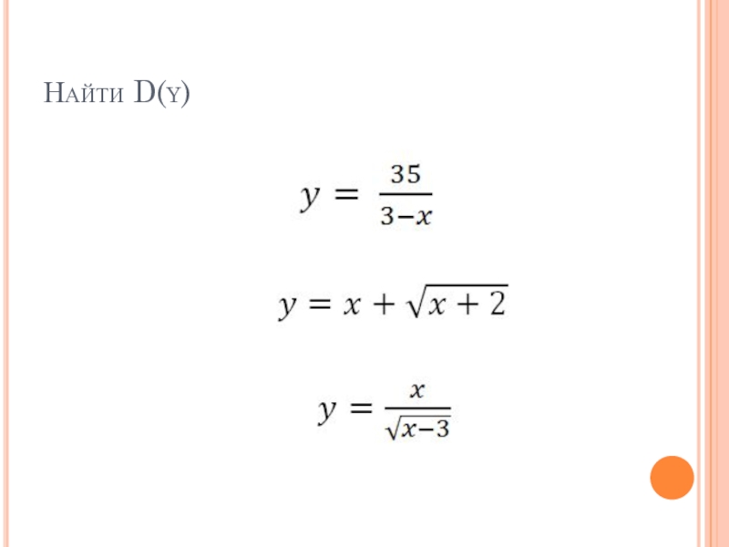
Слайд 3Найти D(y)

Найти D(y)

Слайд 5Г
2)У= √(Х – 3
1)У= (Х+2)2 – 3
3)У = 3/Х
4) У= Х3

Г2)У= √(Х – 31)У= (Х+2)2 – 33)У = 3/Х4) У= Х3

Слайд 6Г
1)У= (Х+2)2 – 3 2)У= √(Х – 3

3)У = 3/Х 4) У= Х3
Г1)У= (Х+2)2 – 3   2)У= √(Х – 3    3)У = 3/Х

Слайд 7Область определения D(y)
Область значений Е(у)
Промежутки возрастания и убывания
Ограниченность
Наибольшее и наименьшее значение

функции
Четность
Непрерывность
Выпуклость
Область определения D(y)Область значений Е(у)Промежутки возрастания и убыванияОграниченностьНаибольшее и наименьшее значение функцииЧетностьНепрерывностьВыпуклость

Слайд 8ФУНКЦИЯ У= 3√Х

ФУНКЦИЯ У= 3√Х

Слайд 9Решить уравнение

Решить уравнение

Слайд 10Решить уравнение

Решить уравнение

Слайд 11Построить график функции

Построить график функции

Слайд 13Построить график функции и прочитать его

Построить график функции и прочитать его

Слайд 141)D(y)=(-∞;+∞). 2) Е(у)= (-1;+∞). 3) Убывает на (-∞;-1), возрастает на (-1;+∞). 4) Неограниченна

сверху, ограничена снизу. 5) Наибольшего значения нет. Наименьшее значение равно минус один. 6) Функция не является ни четной, ни нечетной.. 7) Функция непрерывна на всей числовой прямой
8) Выпукла вверх на [0: +∞)
Выпукла вниз на (-∞; 0]


1)D(y)=(-∞;+∞). 2) Е(у)= (-1;+∞).  3) Убывает на (-∞;-1), возрастает на (-1;+∞). 4) Неограниченна сверху, ограничена снизу.

Слайд 15Домашнее задание: №14.6, 14.14

Домашнее задание: №14.6, 14.14

Что такое shareslide.ru?

Это сайт презентаций, где можно хранить и обмениваться своими презентациями, докладами, проектами, шаблонами в формате PowerPoint с другими пользователями. Мы помогаем школьникам, студентам, учителям, преподавателям хранить и обмениваться учебными материалами.


Для правообладателей

Яндекс.Метрика

Обратная связь

Email: Нажмите что бы посмотреть