Презентация, доклад к уроку алгебры9. Тема :Простейшие вероятностные задачи

Классическое определение вероятностиВероятностью события А при проведении некоторого испытания называют отношение числа тех исходов, в результате которого наступает событие А, к общему числу всех (равновозможных между собой) исходов этого испытания.

Слайд 1Простейшие вероятностные задачи

Простейшие вероятностные задачи

Слайд 3Классическое определение вероятности
Вероятностью события А при проведении
некоторого испытания называют отношение

числа
тех исходов, в результате которого наступает событие А,
к общему числу всех (равновозможных между собой)
исходов этого испытания.
Классическое определение вероятностиВероятностью события А при проведении некоторого испытания называют отношение числа тех исходов, в результате которого

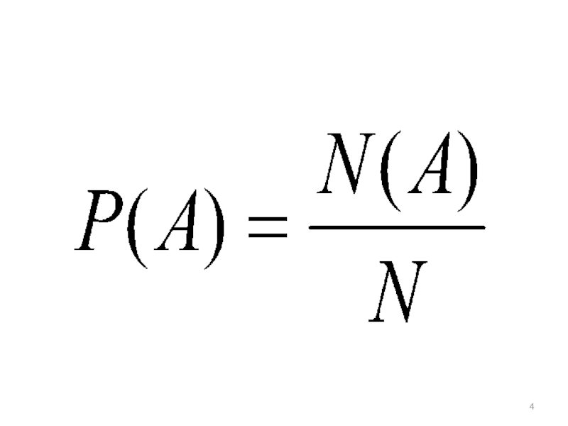
Слайд 5Алгоритм нахождения вероятности случайного события
Для нахождения вероятности случайного события А при

проведении некоторого испытания следует найти:
число N всех возможных исходов данного испытания;
количество N(A) тех исходов, в которых наступает событие A;
Частное N(A)/N; оно и будет равно вероятности события А.
Алгоритм нахождения вероятности случайного событияДля нахождения вероятности случайного события А при проведении некоторого испытания следует найти:число N

Слайд 6Пример 1
Найти вероятность того, что при одном бросании игрального кубика выпадет:
5

очков;
четное число очков;
число очков больше 4;
число очков, не кратное 3.
Пример 1Найти вероятность того, что при одном бросании игрального кубика выпадет:5 очков;четное число очков;число очков больше 4;число

Слайд 7События
События
Событие В называют противоположным, если оно наступает в том и только

в том случае, когда не наступает интересующее нас событие.
Вероятность P(A) события A и вероятность P(В) противоположного ему события Ᾱ связаны соотношением: P(A)+ P(В) =1





.
СобытияСобытияСобытие В называют противоположным, если оно наступает в том и только в том случае, когда  не

Слайд 8Ученику предложили написать на доске любое двузначное число. Найти вероятность того,

что это число:
не является квадратом целого числа;


Ученику предложили написать на доске любое двузначное число. Найти вероятность того, что это число:не является квадратом целого

Слайд 9События А и В называются несовместимыми ,если они не могут происходить

одновременно.
Вероятность того ,что наступит событие или А ,или В равна
Р(А)+Р(В).Такое событие называют суммой событий АиВ,и Р(А+В)=Р(А)+Р(В)




События А и В называются несовместимыми ,если они не могут происходить одновременно.Вероятность того ,что наступит событие или

Слайд 10Физкультминутка

Физкультминутка

Слайд 11 Перед началом первого тура чемпионата по теннису разбивают на игровые

пары случайным образом с помощью жребия. Всего в чемпионате участвует 46 теннисистов, среди которых 19 участников из России, в том числе Ярослав Исаков. Найдите вероятность того, что в первом туре Ярослав Исаков будет играть с каким – либо теннисистом из России.
Перед началом первого тура чемпионата по теннису разбивают на игровые пары случайным образом с помощью жребия.

Что такое shareslide.ru?

Это сайт презентаций, где можно хранить и обмениваться своими презентациями, докладами, проектами, шаблонами в формате PowerPoint с другими пользователями. Мы помогаем школьникам, студентам, учителям, преподавателям хранить и обмениваться учебными материалами.


Для правообладателей

Яндекс.Метрика

Обратная связь

Email: Нажмите что бы посмотреть