Презентация, доклад к открытому уроку по теме: Применение формул сокращенного умножения

Содержание

«У математиков существует свой язык- это формулы» 1850-1891 г.С.В. Ковалевская

Слайд 1Формулы сокращенного умножения

Формулы сокращенного умножения

Слайд 2«У математиков существует свой язык- это формулы»
1850-1891 г.
С.В. Ковалевская

«У математиков существует свой язык- это формулы» 1850-1891 г.С.В. Ковалевская

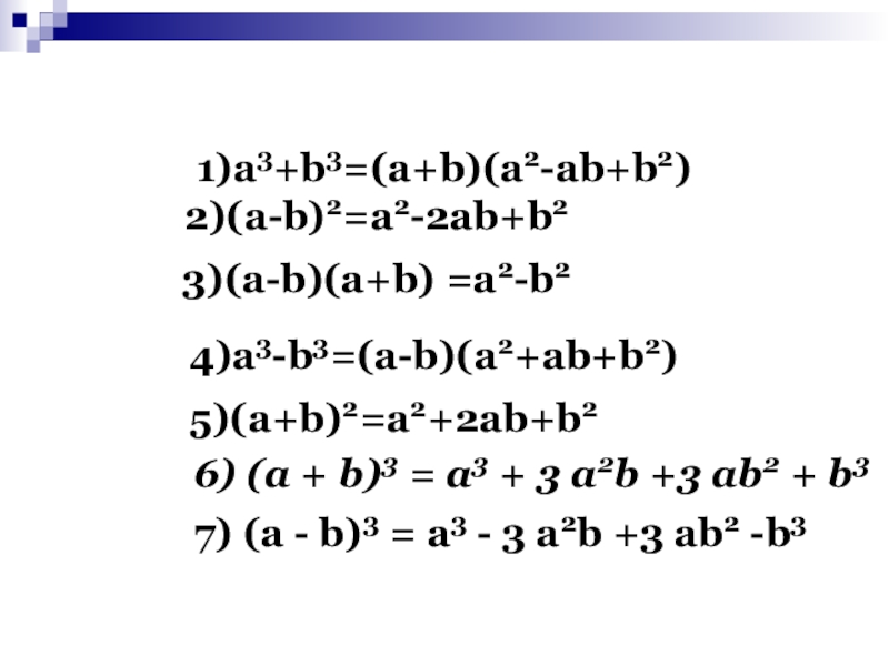
Слайд 3 2)(a-b)2=a2-2ab+b2
3)(a-b)(a+b) =a2-b2
4)a3-b3=(a-b)(a2+ab+b2)
5)(a+b)2=a2+2ab+b2
1)а3+b3=(a+b)(a2-ab+b2)
7) (а - b)3 = а3 - 3

а2b +3 аb2 -b3

6) (а + b)3 = а3 + 3 а2b +3 аb2 + b3

2)(a-b)2=a2-2ab+b23)(a-b)(a+b) =a2-b24)a3-b3=(a-b)(a2+ab+b2)5)(a+b)2=a2+2ab+b21)а3+b3=(a+b)(a2-ab+b2)7) (а - b)3 = а3 - 3 а2b +3 аb2 -b36) (а +

Слайд 4ответ
213156347

ответ213156347

Слайд 5Устно
Представить в виде квадрата одночлена
4а2 =
9x2 =
25a2 =
0,04x4

=
a2b2 =

1
9

1
3

(2a)2
(3x)2
(5a)2
(0,2x2)2
( ab)2

УстноПредставить в виде квадрата одночлена4а2 = 9x2 = 25a2 = 0,04x4 =  a2b2 =1913(2a)2(3x)2 (5a)2

Слайд 6Найди ошибку
1)(3x +y)2=9x2-6ax+y2
2)(4y–3x)2=16y2–24xy +6x2
3) (2x

+1)2= 2x2 + 4x +1
4) (2m+n)2= 4m2 + 2mn +n2




Найди ошибку1)(3x +y)2=9x2-6ax+y2     2)(4y–3x)2=16y2–24xy +6x2 3) (2x +1)2= 2x2 + 4x +1

Слайд 7x2+ * +2xy
(x + * )2=
( * - k)2=

4d2+k2- *

(x + * )(x - * )=

x2-144

( * +4y)( * -4y)=

c4- *

( * - b)(9+3b+b2)=

* -b3

(x + * )(x- * )=

x2-25

(a- * )(a2+4+2a)=

a3- *

y

y2

2d

4dk

12

12

3

27

5

5

c2

c2

16y2

2

8

Замени звездочки…

x2+ * +2xy(x + * )2=(  *  - k)2= 4d2+k2- *(x +  *

Слайд 8Установить соответствие и дополнить

1)(4y+3)2=
2)(2y-7)2=
3)(1-3y)(1+3y)=
4)(2x-y)(2x+y)=
5)(y2+2x3)2=
6)(2y-3x2)2=
7)(1+2x)(1-2x+4x2)=
8)(4y-1)(16y2+4y+1)=

1)4y2-28y+49
2)4y2-12x2y+9x4
3)…
4)16y2+24y+9
5)1-9y2
6)1+8x3
7)…
8)4x2-y2

Установить соответствие и дополнить1)(4y+3)2=2)(2y-7)2=3)(1-3y)(1+3y)=4)(2x-y)(2x+y)=5)(y2+2x3)2=6)(2y-3x2)2=7)(1+2x)(1-2x+4x2)=8)(4y-1)(16y2+4y+1)=1)4y2-28y+492)4y2-12x2y+9x43)…4)16y2+24y+95)1-9y26)1+8x37)…8)4x2-y2

Слайд 9
3 балла – уровень А
4 балла –уровень В
5 балла –

уровень С

Работа по карточкам

3 балла – уровень А4 балла –уровень В5 балла – уровень СРабота по карточкам

Слайд 10« Кто хочет ограничиться настоящим без знания прошлого, тот никогда его

не поймёт» Г. Лейбниц

а

c

а

b

c

b

а

« Кто хочет ограничиться настоящим без знания прошлого, тот никогда его не поймёт»

Слайд 11Блез Паскаль (1623-1662)
Отец Блеза запретил заниматься ему математикой, боясь, что юный гений

может перенапрячь свой мозг. Запрещение заниматься математикой только разожгло любопытство мальчика. В 12 лет юный Блез сделал первое открытие – обнаружил, что сумма углов треугольника такая же, как сумма двух углов стола. В 16 лет он изложил не менее 400 предложений о конических сечениях в «Трактате о конических сечениях». В возрасте 18 лет он изобрёл и сделал первую в истории вычислительную машину.
Блез Паскаль (1623-1662)Отец Блеза запретил заниматься ему математикой, боясь, что юный гений может перенапрячь свой мозг. Запрещение

Слайд 12ЕНТ
Преобразуйте в многочлен выражение


Решение:

ЕНТПреобразуйте в многочлен выражение Решение:

Слайд 131.При упрощении выражений.
2.При разложении выражений на множители.
3.При решении уравнений.
4.При доказательстве

тождеств.
5.На формулах сокращенного умножения основаны некоторые математические фокусы и загадки, позволяющие производить вычисления в уме.

Где применяются формулы сокращенного умножения?

1.При упрощении выражений.2.При разложении выражений на множители. 3.При решении уравнений.4.При доказательстве тождеств. 5.На формулах сокращенного умножения основаны

Слайд 14

Вычислить:



Решение:
Используя формулу квадрата разности двух выражений, получим
=

= 1002 - 2 · 100 · 2 + 22 = 10000 – 400 + 4 = 9604

Упростить выражение:
Решение
Воспользуемся формулами квадрата суммы и квадрата разности двух выражений
=



Вычислить:  Решение:Используя формулу квадрата разности двух выражений, получим =

Слайд 15Возведение в квадрат натуральных чисел, оканчивающихся на 5
Найдите 45², 75², 95².


Любое натуральное число, оканчивающееся цифрой 5, можно записать в виде 10а + 5.
Например, 25 = 2·10 + 5.
Доказательство:
(10а + 5)² = 100a² + 100a + 25 =
= 100a(a +1) + 25 =
= a (a +1) ·100 + 25.
Возведение в квадрат натуральных чисел, оканчивающихся на 5Найдите 45², 75², 95². Любое натуральное число, оканчивающееся цифрой 5,

Слайд 16Домашнее задание
Из сборника тестов ЕНТ 2011 года выбрать 3 задания на

применение формул сокращенного умножения.
Домашнее заданиеИз сборника тестов ЕНТ 2011 года выбрать 3 задания на применение формул сокращенного умножения.

Слайд 17Итог урока Выбор за вами

Кто строил храм?

Итог урока Выбор за вами Кто строил храм?

Что такое shareslide.ru?

Это сайт презентаций, где можно хранить и обмениваться своими презентациями, докладами, проектами, шаблонами в формате PowerPoint с другими пользователями. Мы помогаем школьникам, студентам, учителям, преподавателям хранить и обмениваться учебными материалами.


Для правообладателей

Яндекс.Метрика

Обратная связь

Email: Нажмите что бы посмотреть