Презентация, доклад исследовательской работы по математике Потребительская корзина жителей села Ильино-Заборское

Содержание

Актуальность Проблема выбора - это одна из главных проблем, которая стоит перед человеком. Ежедневно наши родители сталкиваются с проблемой выбора продуктов питания, с тем, чтобы купить недорогие и качественные продукты, правильно определившись с

Слайд 1МБОУ «Ильино-Заборская основная школа»   Окружная конференция исследовательских работ обучающихся «Ступень в будущее»    ИССЛЕДОВАТЕЛЬСКАЯ РАБОТА по

математике «Потребительская корзина жителей села Ильино-Заборское»

Выполнили обучающиеся 5 класса
Казанбаев Юрий и Смирнов Олег
 
Научный руководитель: Кукушкина Т.Н.
учитель математики

МБОУ «Ильино-Заборская основная школа»   Окружная конференция исследовательских работ обучающихся «Ступень в будущее»    ИССЛЕДОВАТЕЛЬСКАЯ РАБОТА по

Слайд 2Актуальность
Проблема выбора - это одна из

главных проблем, которая стоит перед человеком. Ежедневно наши родители сталкиваются с проблемой выбора продуктов питания, с тем, чтобы купить недорогие и качественные продукты, правильно определившись с местом приобретения товаров.
В повседневной жизни
нам трудно обойтись
без товаров первой
необходимости.

Актуальность    Проблема выбора - это одна из главных проблем, которая стоит перед человеком. Ежедневно

Слайд 3 Гипотеза: стоимость продуктовой части потребительской корзины сельских жителей выше, чем жителей

города Семенов.

Задачи:

1) рассмотреть понятие «потребительская корзина»;
2) определить стоимость необходимых продуктов питания в месяц на человека;
3) исследовать продуктовую часть потребительской корзины в селе Ильино-Заборское и в городе Семенов;
4) рассчитать стоимость продуктов питания по составу и статусу семьи;
5) обобщить данные в исследовательской работе и создать презентацию.




Цель: изучение понятия «Потребительская корзина», ее состава, исследование рынка продуктов питания села Ильино-Заборское и города Семенов, определение минимальной стоимости продуктов питания для жителей села


Гипотеза: стоимость продуктовой части потребительской корзины сельских жителей выше, чем жителей города Семенов. Задачи:1)  рассмотреть

Слайд 4 Нормативно-правовые акты
Потребительская корзина - набор товаров и

услуг, необходимых для удовлетворения первоочередных потребностей человека.
Федеральный закон от 24.10.1997 (ред. от 29.07.2018) №134-ФЗ
«О прожиточном минимуме в Российской Федерации»


Федеральный закон от 03.12.2012 г. №227-ФЗ (ред. от 28.12.2017)
«О потребительской корзине в целом по Российской Федерации»

Нормативно-правовые акты   Потребительская корзина - набор товаров и услуг, необходимых для удовлетворения первоочередных потребностей

Слайд 5

Стоимость продуктов питания

Стоимость продуктов питания

Слайд 6Объем потребления продуктов питания в месяц

Объем потребления продуктов питания в месяц

Слайд 7Стоимость продуктов питания по группам населения

Стоимость продуктов питания по группам населения

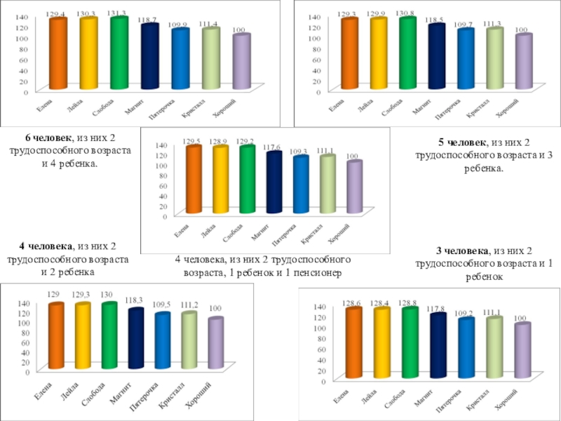
Слайд 8Затраты на приобретение продуктов питания по составу и статусу семей 5

класса

1.

2.

3.

4.

5.

Затраты на приобретение продуктов питания по составу и статусу семей 5 класса1.2.3.4.5.

Слайд 9









6 человек, из них 2 трудоспособного возраста и 4 ребенка.
5 человек,

из них 2 трудоспособного возраста и 3 ребенка.

4 человека, из них 2 трудоспособного возраста и 2 ребенка

3 человека, из них 2 трудоспособного возраста и 1 ребенок

4 человека, из них 2 трудоспособного возраста, 1 ребенок и 1 пенсионер

6 человек, из них 2 трудоспособного возраста и 4 ребенка.5 человек, из них 2 трудоспособного возраста и

Слайд 10


Потребительская корзина

Какие группы благ включаются в потребительскую корзину семьи ?

Непродовольственные товары

Продукты

питания


услуги

Потребительская корзинаКакие группы благ включаются в потребительскую корзину семьи ?Непродовольственные товарыПродукты питанияуслуги

Слайд 11Сравнительный анализ потребительской корзины
1.
2.

Сравнительный анализ потребительской корзины1.2.

Слайд 12Заключение
продуктовая часть потребительской корзины сельских жителей выше, чем жителей города Семенов,

даже, если жители села будут ездить за продуктами в город Семенов, включив затраты на бензин, то и в этом случае стоимость потребительской корзины все же будет ниже, чем по закупкам в селе.

Заключениепродуктовая часть потребительской корзины сельских жителей выше, чем жителей города Семенов, даже, если жители села будут ездить

Слайд 13Спасибо за внимание!

Спасибо за внимание!

Что такое shareslide.ru?

Это сайт презентаций, где можно хранить и обмениваться своими презентациями, докладами, проектами, шаблонами в формате PowerPoint с другими пользователями. Мы помогаем школьникам, студентам, учителям, преподавателям хранить и обмениваться учебными материалами.


Для правообладателей

Яндекс.Метрика

Обратная связь

Email: Нажмите что бы посмотреть