Презентация, доклад и конспект к уроку: Квадратные уравнения,8 класс

Цель урока:Ввести понятия квадратного уравнения, неполного квадратного уравнения, вывести формулу корней квадратного уравнения;Сформировать умение решать неполные квадратные уравнения и квадратные уравнения по формуле;Развивать познавательный интерес учащихся.

Слайд 1Квадратные уравнения
8 класс

Квадратные уравнения8 класс

Слайд 2Цель урока:
Ввести понятия квадратного уравнения, неполного квадратного уравнения, вывести формулу корней

квадратного уравнения;
Сформировать умение решать неполные квадратные уравнения и квадратные уравнения по формуле;
Развивать познавательный интерес учащихся.

Цель урока:Ввести понятия квадратного уравнения, неполного квадратного уравнения, вывести формулу корней квадратного уравнения;Сформировать умение решать неполные квадратные

Слайд 3Неполные квадратные
уравнения
ах2+вх+с=0
х (ах + в)=0,
х=0 или ах+в=0
ах2+с=0,
ах2=-с

х2=0,
х=0
с=о
в=0
в=0, с=о

Неполные квадратные уравненияах2+вх+с=0х (ах + в)=0,х=0 или ах+в=0ах2+с=0,ах2=-сх2=0,х=0с=ов=0в=0, с=о

Слайд 4Примеры решения уравнений уравнение
Пример №1

Пример №2

х2-3х =0;
х(х-3)=0;
х1=0 или х-3=0;
х2=3.

Пример №3

Примеры решения уравнений уравнениеПример №1

Слайд 5Решите уравнение
4х2+9х=0
4х2-9=0
4х2=0

Решите уравнение  4х2+9х=0   4х2-9=0  4х2=0

Слайд 6Уравнение вида
ах2+вх+с=0
D=в2-4ас
D > 0,
Уравнение имеет два корня
D

корней

D=0,
Уравнение имеет один корень

Уравнение вида ах2+вх+с=0 D=в2-4ас D > 0,Уравнение имеет два корняD

Слайд 7Пример №1
Примеры решения уравнений


10х2-х -2 =0
D = b2 – 4ac,
D

= (-1)2 – 4•10• (-2) = 1 + 80 = 81,
D > 0, уравнение имеет два корня,

= ,

Пример №1Примеры решения уравнений 10х2-х -2 =0D = b2 – 4ac,D = (-1)2 – 4•10• (-2) =

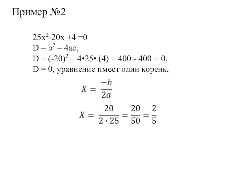
Слайд 8Пример №2
25х2-20х +4 =0
D = b2 – 4ac,
D = (-20)2 –

4•25• (4) = 400 - 400 = 0,
D = 0, уравнение имеет один корень,
Пример №225х2-20х +4 =0D = b2 – 4ac,D = (-20)2 – 4•25• (4) = 400 - 400

Слайд 9Пример №3
3х2-2х +12 =0
D = b2 – 4ac,
D = (-2)2 –

4•3• 12 = 4 - 144 = -140,
D < 0, уравнение не имеет корней.
Пример №33х2-2х +12 =0D = b2 – 4ac,D = (-2)2 – 4•3• 12 = 4 - 144

Слайд 10Решите уравнение:
1) 12х2+7х+1=0,
2) Х2-12х+36=0,
3) 7х2-25х+23=0.

Решите уравнение:1)  12х2+7х+1=0,  2)  Х2-12х+36=0,  3) 7х2-25х+23=0.

Слайд 11Решите задачу:
Найдите катеты прямоугольного треугольника,
если известно, что их сумма 31

см, а площадь
данного треугольника равна 120 см2.



S = 120

А

В

С

АС+ВС = 31

Решите задачу:Найдите катеты прямоугольного треугольника, если известно, что их сумма 31 см, а площадь данного треугольника равна

Слайд 12Решите самостоятельно уравнение:
I вариант
х2 - 4х+3=0,
7х2+8х+1 =0.

II вариант
х2 +5х+6=0,
7х2+6х-1=0.

Решите самостоятельно уравнение:I вариантх2 - 4х+3=0,7х2+8х+1 =0.II вариантх2 +5х+6=0,7х2+6х-1=0.

Слайд 13Ответы:
I вариант
х1=1; х2=3,
х1= -1; х2= -


IIвариант
х1= -3; х2= -2,
х1= -1;

х2=

Ответы:I вариантх1=1; х2=3,х1= -1; х2= - IIвариантх1= -3; х2= -2,х1= -1; х2=

Что такое shareslide.ru?

Это сайт презентаций, где можно хранить и обмениваться своими презентациями, докладами, проектами, шаблонами в формате PowerPoint с другими пользователями. Мы помогаем школьникам, студентам, учителям, преподавателям хранить и обмениваться учебными материалами.


Для правообладателей

Яндекс.Метрика

Обратная связь

Email: Нажмите что бы посмотреть